留言板

尊敬的读者、作者、审稿人, 关于本刊的投稿、审稿、编辑和出版的任何问题, 您可以本页添加留言。我们将尽快给您答复。谢谢您的支持!

姓名
邮箱
手机号码
标题
留言内容
验证码

重力卫星高精度测距系统观测量的降速率滤波算法

刘玄 杨珊珊 臧荣春

刘玄, 杨珊珊, 臧荣春. 重力卫星高精度测距系统观测量的降速率滤波算法[J]. 空间科学学报, 2023, 43(1): 156-163. doi: 10.11728/cjss2023.01.220321030
引用本文: 刘玄, 杨珊珊, 臧荣春. 重力卫星高精度测距系统观测量的降速率滤波算法[J]. 空间科学学报, 2023, 43(1): 156-163. doi: 10.11728/cjss2023.01.220321030
LIU Xuan, YANG Shanshan, ZANG Rongchun. Research on the Down-rate Filtering Method for Observations of Precision Ranging System of Gravity Satellite (in Chinese). Chinese Journal of Space Science, 2023, 43(1): 156-163 doi: 10.11728/cjss2023.01.220321030
Citation: LIU Xuan, YANG Shanshan, ZANG Rongchun. Research on the Down-rate Filtering Method for Observations of Precision Ranging System of Gravity Satellite (in Chinese). Chinese Journal of Space Science, 2023, 43(1): 156-163 doi: 10.11728/cjss2023.01.220321030

重力卫星高精度测距系统观测量的降速率滤波算法

doi: 10.11728/cjss2023.01.220321030 cstr: 32142.14.cjss2023.01.220321030
基金项目: 航天创新基金项目资助(21GFH-HT01-36)
详细信息
    作者简介:
  • 中图分类号: V556

Research on the Down-rate Filtering Method for Observations of Precision Ranging System of Gravity Satellite

  • 摘要: 在卫星时频传递、矢量测量技术领域,有效观测数据的高精度滤波处理十分重要,其基本要求是在保留有效观测信息的同时能够降低噪声干扰,实现原始信息的高效、高精度传递。以中国地球重力场测量卫星高精度测距系统的工程研制为背景,为实现高频噪声抑制、保留低频重力场信息,基于对FIR滤波器结构的优化和窗函数的改进,提出了一种对10 Hz采样率的原始测距数据降速率、降噪滤波的算法。相比其他类似算法,所提方法同时具备降速滤波和差分运算两种功能,噪声抑制抑制度优于44%,且频率截止特性陡峭,第一旁瓣抑制度达到–94 dB。该算法在提高测距精度、充分保留重力场信息的同时,实现了地面数据后处理流程的简化,为微波测量系统、激光测量系统的数据处理提供了一种优选方案。

     

  • 图  1  FIR滤波器的基本结构

    Figure  1.  Basic structure of FIR filter

    图  2  CEDF-7传递函数频率响应的时域曲线

    Figure  2.  CEDF-7 transfer function time domain curve

    图  3  卷积7次的CEDF测距滤波器频域响应(a)及时域特性(b)

    Figure  3.  Frequency domain response (a) and time domain characteristics (b) of the CEDF ranging filter with 7 convolutions

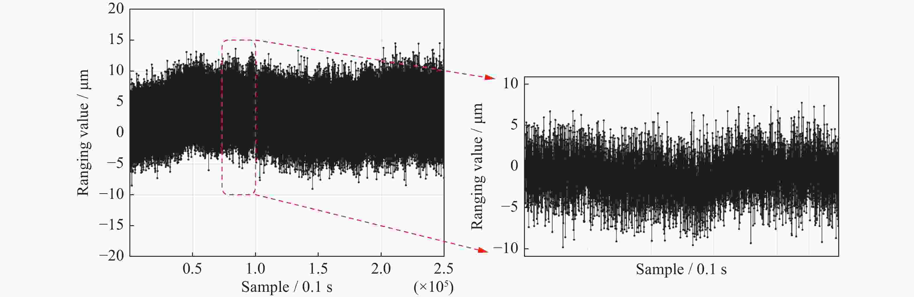
    图  4  KBR系统静态测试距离曲线(局部曲线呈现白噪声、闪烁噪声和随机游走噪声三种特征)

    Figure  4.  Static range curve of KBR system (local curve presents three characteristics: white noise, flicker noise and random walk noise)

    图  5  滤波器降噪性能时域对比(静态数据)

    Figure  5.  Time-domain comparison of filter noise reduction performance (using static data)

    图  6  滤波器降噪性能频域比对

    Figure  6.  Frequency domain comparison of filter noise reduction performance

    图  7  滤波器降噪性能时域比对(动态数据)

    Figure  7.  Time-domain comparison of filter noise reduction performance (using dynamic data)

    图  8  卷积7次的CEDF速度滤波器和加速度滤波器时域特性

    Figure  8.  Time-domain characteristics of CEDF velocity filter and acceleration filter with 7th convolution

    图  9  CEDF滤波器提取距离、速度和加速度的观测量实例

    Figure  9.  Example of CEDF filter to extract range, velocity and acceleration observations

    表  1  载荷数据生成参数

    Table  1.   Parameter configuration of payload test

    卫星号星间距离/
    km
    载噪比/
    (dB·Hz)
    测试时长/
    h
    原数据速率/
    Hz
    KBR-A22080710
    KBR-B22080710
    下载: 导出CSV

    表  2  参与对比的滤波器参数

    Table  2.   Filter parameters involved in the comparison

    滤波器名称阶数/抽取因子截止带宽/Hz第一旁瓣幅度衰减量/dB噪声抑制度/(%)
    CIC滤波器 50(抽取因子) 0.1 –80 25.4
    基于FIR半带滤波器 32阶 0.1 –85 33.0
    基于FIR降速抽取滤波器 50(抽取因子) 0.1 –91 43.0
    CEDF滤波器 7阶 0.1 –94 44.4
     参考图34,噪声抑制度为 $\left[ {1 - { { { {({\rm{RMS} })}_{0.2\; {\rm{Hz} } } } } \mathord{\left/ {\vphantom { { { {({\rm{RMS} })}_{0.2\; {\rm{Hz} } } } } { { {({\rm{RMS} })}_{10\; {\rm{Hz} } } } } } } \right. } { { {({\rm{RMS} })}_{10\; {\rm{Hz} } } } } } } \right] \times 100\% 。$
    下载: 导出CSV

    表  3  星间运动参数

    Table  3.   Inter-satellite motion parameters

    运动工况步进/mm幅度/mm速度/(mm·s–1加速度/(mm·s–2
    单向阶梯运动0.10.90.010.001
    双向往返运动550.10.01
    下载: 导出CSV
  • [1] 许厚泽, 周旭华, 彭碧波. 卫星重力测量[J]. 地理空间信息, 2005, 3(1): 1-3 doi: 10.3969/j.issn.1672-4623.2005.01.001

    XU Houze, ZHOU Xuhua, PENG Bibo. Satellite gravity measurement[J]. Geospatial Information, 2005, 3(1): 1-3 doi: 10.3969/j.issn.1672-4623.2005.01.001
    [2] 田园园, 刘丙太, 李大全, 等. 积分清零与积分梳状滤波器在抽取滤波中的应用研究[J]. 测控技术, 2015, 34(2): 140-143 doi: 10.3969/j.issn.1000-8829.2015.02.038

    TIAN Yuanyuan, LIU Bingtai, LI Daquan, et al. Study and comparison on integrate and dump filters and cascaded integrator-comb filters applied in decimation[J]. Measurement & Control Technology, 2015, 34(2): 140-143 doi: 10.3969/j.issn.1000-8829.2015.02.038
    [3] 罗强, 刘景元. 高速数传中改进的CIC滤波器的仿真与实现[J]. 通信技术, 2020, 53(8): 1869-1872

    LUO Qiang, LIU Jingyuan. Simulation and implementation of modified CIC filter in high-speed data transmission[J]. Communications Technology, 2020, 53(8): 1869-1872
    [4] 陈绍荣, 张振宇, 朱行涛, 等. 一种实现截止频率变换的数字滤波器[J]. 通信技术, 2020, 53(6): 1345-1351

    CHEN Shaorong, ZHANG Zhenyu, ZHU Xingtao, et al. Digital filter for implementing cut-off frequency conversion[J]. Communications Technology, 2020, 53(6): 1345-1351
    [5] 张建伟, 展雪梅. FIR数字滤波器的设计与实现[J]. 无线电工程, 2010, 40(6): 54-56

    ZHANG Jianwei, ZHAN Xuemei. Design and implementation of FIR digital filter[J]. Radio Engineering, 2010, 40(6): 54-56
    [6] 袁晓, 张红雨, 虞厥邦. 分数导数与数字微分器设计[J]. 电子学报, 2004, 32(10): 1658-1665

    YUAN Xiao, ZHANG Hongyu, YU Juebang. Fractional-order derivative and design of fractional Digital differentiators[J]. Acta Electronica Sinica, 2004, 32(10): 1658-1665
    [7] 钟燕清, 阎跃鹏, 孟真, 等. 二维非递归的低成本FIR滤波器设计方法[J]. 哈尔滨工业大学学报, 2021, 53(6): 171-176,191

    ZHONG Yanqing, YAN Yuepen, MENG Zhen, et al. Two-dimensional non-recursive design method of low-cost FIR filter[J]. Journal of Harbin Institute of Technology, 2021, 53(6): 171-176,191
    [8] 吴庭涛, 郑伟, 尹文杰, 等. 地球卫星重力场模型及其应用研究进展[J]. 科学技术与工程, 2020, 20(25): 10117-10132

    WU Tingtao, ZHENG Wei, YIN Wenjie, et al. Review of earth’s gravity field model and application from satellite[J]. Science Technology and Engineering, 2020, 20(25): 10117-10132
    [9] KIM J, TAPLEY B D. Simulation of dual one-way ranging measurements[J]. Journal of Spacecraft and Rockets, 2003, 40(3): 419-425 doi: 10.2514/2.3962
    [10] 王正涛. 卫星跟踪卫星测量确定地球重力场的理论与方法[D]. 武汉: 武汉大学, 2005

    WANG Zhengtao. Theory and methodology of earth gravity field recovery by satellite-to-satellite tracking data[D]. Wuhan: Wuhan University, 2005
    [11] 康开轩, 李辉, 吴云龙, 等. 重力卫星精密星间测距系统滤波器技术指标论证[J]. 地球物理学报, 2012, 55(10): 3240-3247

    KANG Kaixuan, LI Hui, WU Yunlong, et al. Demonstration on the design of filter indexes of inter-satellite high accuracy ranging system for gravity satellite[J]. Chinese Journal of Geophysics, 2012, 55(10): 3240-3247
    [12] 杨益新, 孙超. 一种改进的FIR数字滤波器自适应设计方法[J]. 西北工业大学学报, 2002, 20(4): 554-558 doi: 10.3969/j.issn.1000-2758.2002.04.010

    YANG Yixin, SUN Chao. On adaptively obtaining optimum cost functions in designing FIR (finite impulse response) digital filters[J]. Journal of Northwestern Polytechnical University, 2002, 20(4): 554-558 doi: 10.3969/j.issn.1000-2758.2002.04.010
    [13] 郭敏, 高俊浩. 基于窗函数法设计FIR滤波器技术研究[J]. 数字通信世界, 2020(9): 6-8,35 doi: 10.3969/J.ISSN.1672-7274.2020.09.002

    GUO Min, GAO Junhao. Research on FIR filter technology based on window function method[J]. Digital Communication World, 2020(9): 6-8,35 doi: 10.3969/J.ISSN.1672-7274.2020.09.002
    [14] LIU X, WANG D F, ZHONG X W, et al. Research on the inversion method of USO frequency stability joining GNSS and inter-satellite distance measurement[M]//SUN J D, LIU J N, FAN S W, et al. China Satellite Navigation Conference (CSNC) 2016 Proceedings: Volume III. Singapore: Springer, 2016: 3-13
    [15] LIU X, ZHONG X W, XUE D L, et al. Research progress of inter-satellite precision measurement and time-frequency synchronization technology based on USO[M]//YANG C F, XIE J. China Satellite Navigation Conference (CSNC 2021) Proceedings. Singapore: Springer, 2021: 118-127
    [16] 任堰牛, 青小渠. FIR半带滤波器的简化结构及其仿真研究[J]. 兵工自动化, 2013, 32(3): 53-56 doi: 10.7690/bgzdh.2013.03.015

    REN Yanniu, QING Xiaoqu. Simplified structure and simulation research of FIR half-band filter[J]. Ordnance Industry Automation, 2013, 32(3): 53-56 doi: 10.7690/bgzdh.2013.03.015
    [17] 李家会, 周金治. 抽取滤波器的实现结构研究[J]. 信息与电子工程, 2006, 4(4): 296-300

    LI Jiahui, ZHOU Jinzhi. Implementing structure of decimation filter[J]. Information and Electronic Engineering, 2006, 4(4): 296-300
  • 加载中
图(9) / 表(3)
计量
  • 文章访问数:  804
  • HTML全文浏览量:  367
  • PDF下载量:  21
  • 被引次数: 

    0(来源:Crossref)

    0(来源:其他)

出版历程
  • 收稿日期:  2022-03-18
  • 录用日期:  2022-05-30
  • 修回日期:  2022-11-13
  • 网络出版日期:  2023-02-13

目录

    /

    返回文章
    返回