留言板

尊敬的读者、作者、审稿人, 关于本刊的投稿、审稿、编辑和出版的任何问题, 您可以本页添加留言。我们将尽快给您答复。谢谢您的支持!

姓名
邮箱
手机号码
标题
留言内容
验证码

微重力下低温液氪贮箱热力学特性

李文 陈叔平 朱鸣 王鑫 董超 刘凯

李文, 陈叔平, 朱鸣, 王鑫, 董超, 刘凯. 微重力下低温液氪贮箱热力学特性[J]. 空间科学学报, 2023, 43(4): 694-702. doi: 10.11728/cjss2023.04.2022-0040
引用本文: 李文, 陈叔平, 朱鸣, 王鑫, 董超, 刘凯. 微重力下低温液氪贮箱热力学特性[J]. 空间科学学报, 2023, 43(4): 694-702. doi: 10.11728/cjss2023.04.2022-0040
LI Wen, CHEN Shuping, ZHU Ming, WANG Xin, DONG Chao, LIU Kai. Thermodynamic Characteristics of Cryogenic Liquid Krypton Tank in Microgravity (in Chinese). Chinese Journal of Space Science, 2023, 43(4): 694-702 doi: 10.11728/cjss2023.04.2022-0040
Citation: LI Wen, CHEN Shuping, ZHU Ming, WANG Xin, DONG Chao, LIU Kai. Thermodynamic Characteristics of Cryogenic Liquid Krypton Tank in Microgravity (in Chinese). Chinese Journal of Space Science, 2023, 43(4): 694-702 doi: 10.11728/cjss2023.04.2022-0040

微重力下低温液氪贮箱热力学特性

doi: 10.11728/cjss2023.04.2022-0040 cstr: 32142.14.cjss2023.04.2022-0040
基金项目: 国家重点研发专项计划项目资助(2020YFB1506205)
详细信息
    作者简介:
  • 中图分类号: V19

Thermodynamic Characteristics of Cryogenic Liquid Krypton Tank in Microgravity

  • 摘要: 在轨滑行阶段液氪贮箱长期处于微重力环境。为研究其内部传热和相变过程对大轨道转移飞行器贮供单元工作性能的影响,建立了微重力液氪贮箱CFD模型,采用VOF法及Lee气液相变理论,研究了重力水平、初始液氪温度、初始充满率对微重力下液氪贮箱热分层及压力变化的影响。结果表明:常重力g0下贮箱的压升率分别为10–4 g0,10–5 g0,10–6 g0的1.84倍、1.98倍、2.04倍,微重力下温度分层程度(2~3 K)远低于常重力(90 K);不同初始液氪温度下贮箱压力随时间呈先降低后升高的变化趋势,且初始液氪温度越低,贮箱压升率越小;微重力下液氪贮箱存在临界初始充满率,当初始充满率Ф>70%时贮箱压升率随初始充满率的升高而增大,当Ф<70%时贮箱压升率随初始充满率的升高而减小。

     

  • 图  1  贮箱整体网格

    Figure  1.  Grides of the tank

    图  2  网格无关性验证

    Figure  2.  Grid independence verification

    图  3  数值模型验证

    Figure  3.  Validation of the numerical model

    图  4  300 s时不同重力水平下速度场分布

    Figure  4.  Contour of velocity distribution under different gravity levels at 300 s

    图  5  不同重力水平下的气枕压力变化

    Figure  5.  Pressure changes inside tank under different gravity levels

    图  6  不同重力水平下气液传质速率变化

    Figure  6.  Variation of gas-liquid mass transfer rate under different gravity levels

    图  7  不同重力水平下不同时刻箱体内部流体温度及相分布

    Figure  7.  Liquid temperature and phase distribution over time under different gravity levels

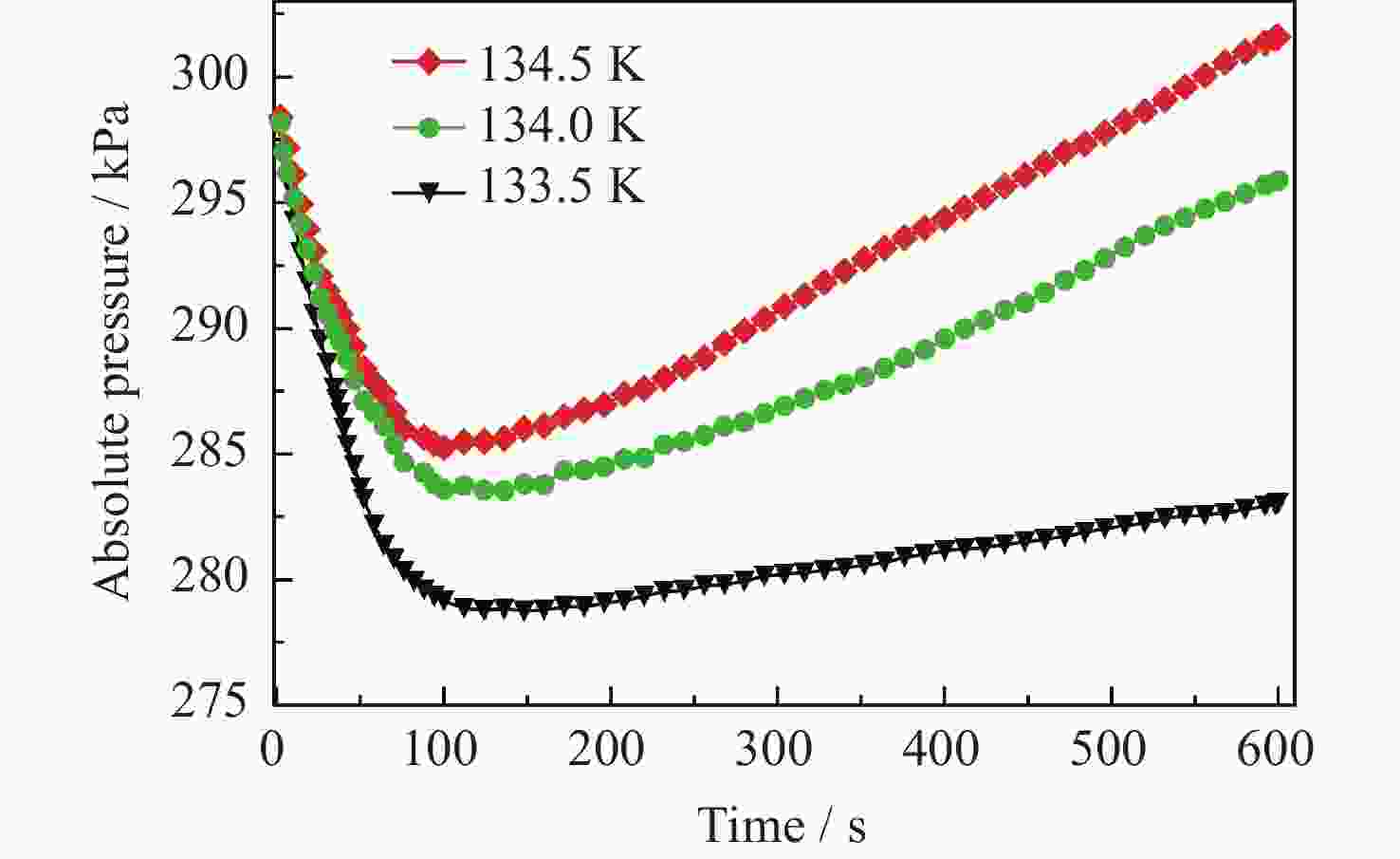
    图  8  微重力下贮箱压力随时间变化

    Figure  8.  Variation of pressure with time under microgravity condition

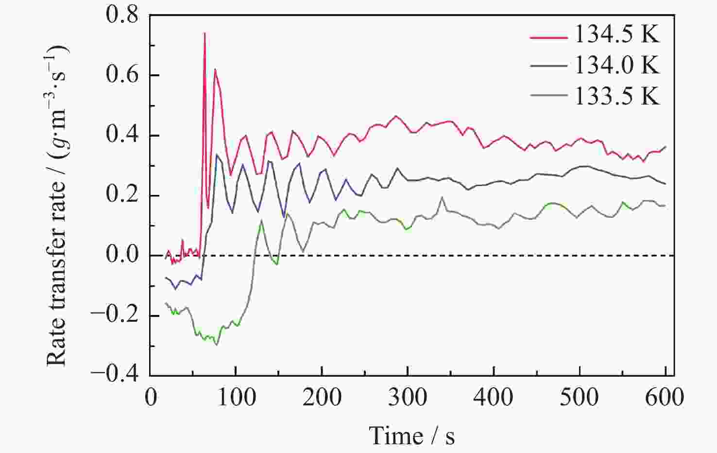
    图  9  微重力下气液传质速率随时间的变化

    Figure  9.  Variation of mass transfer rate with time under microgravity condition

    图  10  微重力下气相质量随时间的变化

    Figure  10.  Variation of ullage mass with time under microgravity condition

    图  11  微重力下贮箱温度随时间的变化

    Figure  11.  Variation of tank temperature with time under microgravity condition

    图  12  不同初始充满率下贮箱压力随时间变化

    Figure  12.  Variation of tank pressure with time under different initial filling rates

    图  13  不同初始充满率下气液传质速率随时间的变化

    Figure  13.  Variation of mass transfer rate with time under different initial filling rates

  • [1] 申连华, 张星, 陈艺, 等. 电推进工质的研究进展及发展趋势[J]. 火箭推进, 2017, 43(6): 7-13,75 doi: 10.3969/j.issn.1672-9374.2017.06.002

    SHEN Lianhua, ZHANG Xing, CHENG Yi, et al. Research progress and development trend of working medium for electric propulsion[J]. Journal of Rocket Propulsion, 2017, 43(6): 7-13,75 doi: 10.3969/j.issn.1672-9374.2017.06.002
    [2] DUCHEMIN O, VALENTIAN D, CORNU N. Cryostorage of propellants for electric propulsion[C]//45 th AIAA/ASME/SAE/ASEE Joint Propulsion Conference & Exhibit. Denver: AIAA, 2009
    [3] 陈既东, 朱建炳, 赵积鹏, 等. 电推进系统液氪低温推进剂贮箱关键技术分析[J]. 真空与低温, 2022, 28(6): 660-667 doi: 10.3969/j.issn.1006-7086.2022.06.005

    CHEN Jidong, ZHU Jianbing, ZHAO Jipeng, et al. Key technology analysis of liquid krypton cryogenic propellant tank in electric propulsion system[J]. Vacuum and Cryogenics, 2022, 28(6): 660-667 doi: 10.3969/j.issn.1006-7086.2022.06.005
    [4] BELMEDANI M, BELGACEM A, REBIAI R. Analysis of natural convection in liquid nitrogen under storage conditions[J]. Journal of Applied Sciences, 2008, 8(14): 2544-2552 doi: 10.3923/jas.2008.2544.2552
    [5] STEWART M. Pressurization of a flight weight, liquid hydrogen tank: evaporation & condensation at the liquid/vapor interface[C]//53 rd AIAA/SAE/ASEE Joint Propulsion Conference. Atlanta: AIAA, 2017
    [6] PANZARELLA C H, KASSEMI M. Self-pressurization of large spherical cryogenic tanks in space[J]. Journal of Spacecraft and Rockets, 2005, 42(2): 299-308 doi: 10.2514/1.4571
    [7] PANZARELLA C, PLACHTA D, KASSEMI M. Pressure control of large cryogenic tanks in microgravity[J]. Cryogenics, 2004, 44(6/8): 475-483
    [8] 杨鹏, 闫春杰, 郑永煜, 等. 微重力环境下低温推进剂贮箱内气泡运动及融合特性研究[J]. 西安交通大学学报, 2022, 56(9): 84-91

    YANG Peng, YAN Chunjie, ZHENG Yongyi, et al. Bubble movement and coalescence characteristics in cryogenic propellant tank in microgravity environment[J]. Journal of Xi’an Jiaotong University, 2022, 56(9): 84-91
    [9] 闫春杰, 郑永煜, 杨祺, 等. 微重力环境下低温推进剂贮箱内气液界面形变特性研究[J]. 真空与低温, 2022, 28(3): 285-290 doi: 10.3969/j.issn.1006-7086.2022.03.006

    YAN Chunjie, ZHENG Yongyi, YANG Qi, et al. Deformation characteristics of gas-liquid interface in cryogenic propellant tank under microgravity environment[J]. Vacuum and Cryogenics, 2022, 28(3): 285-290 doi: 10.3969/j.issn.1006-7086.2022.03.006
    [10] AYDELOTT J C. Effect of Gravity on Self-pressurization of Spherical Liquid-hydrogen Tankage[R]. Washington: NASA, 1967
    [11] DAIGLE M J, SMELYANSKIY V N, BOSCHEE J, et al. Temperature stratification in a cryogenic fuel tank[J]. Journal of Thermophysics and Heat Transfer, 2013, 27(1): 116-126 doi: 10.2514/1.T3933
    [12] 刘展, 孙培杰, 李鹏, 等. 微重力下低温液氧贮箱热分层研究[J]. 低温工程, 2016(1): 25-31,53 doi: 10.3969/j.issn.1000-6516.2016.01.006

    LIU Zhan, SUN Peijie, LI Peng, et al. Research on thermal stratification of cryogenic liquid oxygen tank in microgravity[J]. Cryogenics, 2016(1): 25-31,53 doi: 10.3969/j.issn.1000-6516.2016.01.006
    [13] 王妍卉, 周炳红. 微重力条件下初始液氢温度对低温推进剂贮箱气枕压力的影响[J]. 空间科学学报, 2020, 40(3): 394-400 doi: 10.11728/cjss2020.03.394

    WANG Yanhui, ZHOU Binghong. Effect of initial liquid hydrogen temperature on the pressure changes in the cryogenic propellant tank[J]. Chinese Journal of Space Science, 2020, 40(3): 394-400 doi: 10.11728/cjss2020.03.394
    [14] JIANG Y B, YU Y S, WANG Z, et al. CFD simulation of heat transfer and phase change characteristics of the cryogenic liquid hydrogen tank under microgravity conditions[J]. International Journal of Hydrogen Energy, 2023, 48(19): 7026-7037 doi: 10.1016/j.ijhydene.2022.04.006
    [15] VISHNU S B, KUZHIVELI B T. Effect of micro- and elevated gravity condition on the evolution of stratification and self-pressurization in a cryogenic propellant tank[J]. Sādhanā, 2019, 44(3): 63
    [16] FU J, SUNDEN B, CHEN X Q, et al. Influence of phase change on self-pressurization in cryogenic tanks under microgravity[J]. Applied Thermal Engineering, 2015, 87: 225-233 doi: 10.1016/j.applthermaleng.2015.05.020
    [17] KARTUZOVA O, KASSEMI M. Modeling interfacial turbulent heat transfer during ventless pressurization of a large scale cryogenic storage tank in microgravity[C]//47 th AIAA/ASME/SAE/ASEE Joint Propulsion Conference & Exhibit. San Diego: AIAA, 2015
    [18] 王夕, 王珏, 容易, 等. 微重力下低温贮箱内推进剂相变仿真模型研究[J]. 导弹与航天运载技术, 2018(1): 36-40

    WANG Xi, WANG Yu, RONG Yi, et al. Computational research on phase change model for cryogenic propellant in microgravity[J]. Missiles and Space Vehicles, 2018(1): 36-40
    [19] LIN C S, HASAN M M. Self-pressurization of a spherical liquid hydrogen storage tank in a microgravity environment[C]//30th Aerospace Sciences Meeting and Exhibit. Reno: AIAA, 1992
    [20] SEO M, JEONG S. Analysis of self-pressurization phenomenon of cryogenic fluid storage tank with thermal diffusion model[J]. Cryogenics, 2010, 50(9): 549-555 doi: 10.1016/j.cryogenics.2010.02.021
    [21] BROWN J S. Vapor Condensation on Turbulent Liquid [D]. Cambridge: Massachusetts Institute of Technology, 1991
  • 加载中
图(13)
计量
  • 文章访问数:  895
  • HTML全文浏览量:  296
  • PDF下载量:  50
  • 被引次数: 

    0(来源:Crossref)

    0(来源:其他)

出版历程
  • 收稿日期:  2022-08-09
  • 录用日期:  2023-06-25
  • 修回日期:  2022-11-30
  • 网络出版日期:  2023-06-25

目录

    /

    返回文章
    返回