留言板

尊敬的读者、作者、审稿人, 关于本刊的投稿、审稿、编辑和出版的任何问题, 您可以本页添加留言。我们将尽快给您答复。谢谢您的支持!

姓名
邮箱
手机号码
标题
留言内容
验证码

改进YOLOv5的闪电哨声波轻量化自动检测模型

路超 泽仁志玛 杨德贺 孙晓英 吕访贤 冉子霖 申旭辉

路超, 泽仁志玛, 杨德贺, 孙晓英, 吕访贤, 冉子霖, 申旭辉. 改进YOLOv5的闪电哨声波轻量化自动检测模型[J]. 空间科学学报, 2024, 44(3): 458-473. doi: 10.11728/cjss2024.03.2023-0067
引用本文: 路超, 泽仁志玛, 杨德贺, 孙晓英, 吕访贤, 冉子霖, 申旭辉. 改进YOLOv5的闪电哨声波轻量化自动检测模型[J]. 空间科学学报, 2024, 44(3): 458-473. doi: 10.11728/cjss2024.03.2023-0067
LU Chao, ZEREN Zhima, YANG Dehe, SUN Xiaoying, LÜ Fangxian, RAN Zilin, SHEN Xuhui. Lightweight Automatic Detection Model for Lightning Whistle Waves Based on Improved YOLOv5 (in Chinese). Chinese Journal of Space Science, 2024, 44(3): 458-473 doi: 10.11728/cjss2024.03.2023-0067
Citation: LU Chao, ZEREN Zhima, YANG Dehe, SUN Xiaoying, LÜ Fangxian, RAN Zilin, SHEN Xuhui. Lightweight Automatic Detection Model for Lightning Whistle Waves Based on Improved YOLOv5 (in Chinese). Chinese Journal of Space Science, 2024, 44(3): 458-473 doi: 10.11728/cjss2024.03.2023-0067

改进YOLOv5的闪电哨声波轻量化自动检测模型

doi: 10.11728/cjss2024.03.2023-0067 cstr: 32142.14.cjss2024.03.2023-0067
基金项目: 国家自然科学基金面上项目资助 (41874174)
详细信息
    作者简介:
    • 路超 男, 2000年2月出生, 现在中国科学院大学攻读硕士学位, 专业为计算机技术. E-mail: 1104193785@qq.com
    通讯作者:
    • 泽仁志玛 女, 1976年出生, 现为应急管理部国家灾研院研究员, 主要从事电磁卫星数据处理及科学应用相关工作. E-mail: zerenzhima@qq.com
  • 中图分类号: P352

Lightweight Automatic Detection Model for Lightning Whistle Waves Based on Improved YOLOv5

  • 摘要: 提出一种改进YOLOv5(You-Only-Look-Once version 5)检测模型YOLOv5-Upgraded. 为了更快定位真实边框, 该模型将损失函数CIoU (Complete IoU)替换为SIoU(Scylla IoU); 同时为了避免网络训练过程中梯度消失、梯度爆炸以及神经元坏死等现象, 将激活函数SiLU(Sigmoid-weighted Linear Unit)替换为具有更好梯度流的Mish; 在主干网络中插入注意力 (Coordinate Attention, CA)机制, 帮助模型更精准地识别闪电哨声波, 大大降低了漏检率. 基于张衡一号感应磁力仪(Search Coil Magnetometer, SCM)数据, 以2.4 s时间窗口截取数据, 经带通滤波、短时傅里叶变换得到1126张时频图数据集, 再经图像增强操作扩充至7882张, 其中7091张作为训练集, 791张作为测试集. 实验结果表明, 基于改进YOLOv5的模型平均精度均值为99.09%, 召回率为96.20%, 与YOLOv5s相比, 分别提升了2.75%和5.07%, 与基于时频图的YOLOv3模型相比, 平均精度均值和召回率则分别提高了5.89%和9.62%. 基于智能语音的LSTM (Long Short Term Memory Networks)闪电哨声波识别模型大小为82.89 MB, YOLOv5-Upgraded仅为13.78 MB, 约节省83.38%的内存资源. 研究表明改进后的轻量化模型大大降低了闪电哨声波的漏检现象, 在测试集中取得了较好结果, 并且其轻量化特征易于部署到卫星设备, 极大地提高了星载识别的可能性.

     

  • 图  1  张衡一号卫星感应式磁力计记录的闪电哨声波事件 (PSD为功率普密度)

    Figure  1.  Whistler wave event recorded by SCM onboard CSES satellite (Power Spectral Density, PSD)

    图  2  VLF波形以及对应的时频结果

    Figure  2.  VLF wave and corresponding time-frequency diagram

    图  3  训练模型输入的原始特征示例

    Figure  3.  Examples of origin dataset for the trainning model

    图  4  增强后的数据集示例

    Figure  4.  Example of enhanced dataset

    图  5  数据集制作流程

    Figure  5.  Process of original dataset production

    图  6  YOLOv5网络结构示例

    Figure  6.  Example of the network structure of YOLOv5

    图  7  Mish函数图及其导函数

    Figure  7.  Mish function and its derivative function

    图  8  模型结构中CBS模块改为CBM模块

    Figure  8.  Change the CBS module to CBM module in the model structure

    图  9  预测边框和真实边框的IoU

    Figure  9.  IoU of real bounding and predicted bounding

    图  10  相同IoU对比

    Figure  10.  Comparison of the same IoU

    图  11  将角度成本贡献计算到损失函数中的方案

    Figure  11.  Scheme for calculation of angle cost contribution into the loss function

    图  12  坐标注意力模块

    Figure  12.  Coordinate Attention (CA) model

    图  13  基于YOLOv5的轻量化自动检测模型(红色箭头标出改进后模块)

    Figure  13.  YOLOv5-Upgraded lightweight automatic detection model diagram based on YOLOv5 (The improved module is shown by a red arrow)

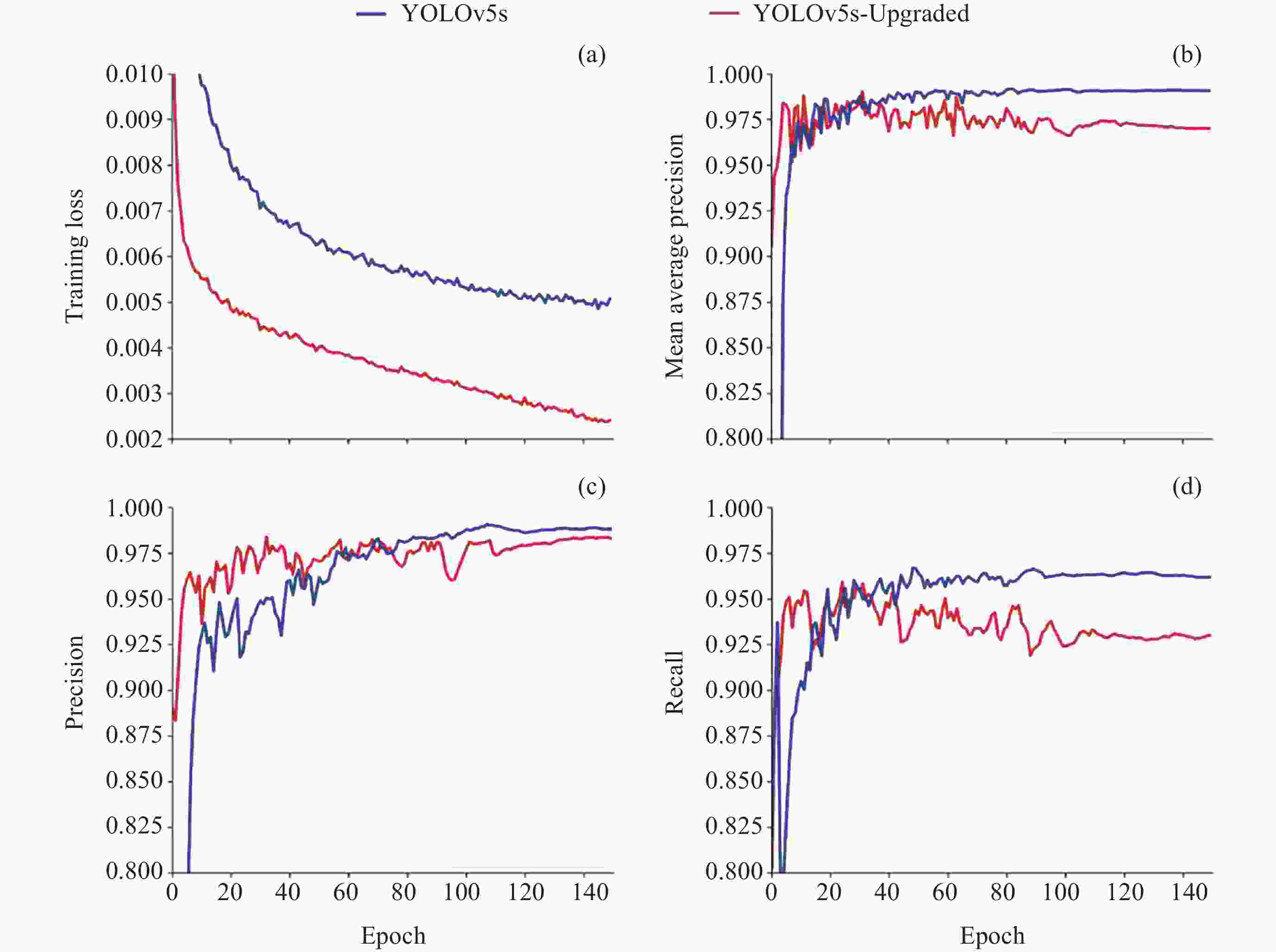
    图  14  模型训练结果

    Figure  14.  Network training results

    图  15  不同注意力机制的mAP对比实验

    Figure  15.  mAP comparison experiment of different attention mecanisms

    图  16  不同改进模型的结果

    Figure  16.  Results of different improved models

    图  17  YOLOv5s识别结果示例

    Figure  17.  Examples of YOLOv5s identification results

    图  18  YOLOv5-upgraded识别结果示例

    Figure  18.  Examples of YOLOv5-upgraded identification results

    图  19  三种模型在轨道上的对比

    Figure  19.  Comparison of three models on orbit

    表  1  数据集划分详情

    Table  1.   Dataset division details

    数据集训练集测试集合计
    原始数据10131131126
    图像亮化20262262252
    图像暗化20262262252
    增加高斯噪声10131131126
    增加椒盐噪声10131131126
    合计70917917882
    下载: 导出CSV

    表  2  模型训练的超参数设置

    Table  2.   Hyperparameter setting of model training

    参数名 参数值
    Weight decay (权重衰减) 0.0001
    Momentum (动量) 0.900
    Batch size (批量大小) 16
    Training epoch (训练轮次) 150
    Learning rate (学习率) 0.001
    下载: 导出CSV

    表  3  符号定义

    Table  3.   Symbol defination

    预测类别 描述
    TP 正确预测, 被模型预测为正类的正样本
    FN 错误预测, 被模型预测为负类的正样本
    FP 错误预测, 被模型预测为正类的负样本
    TN 正确预测, 被模型预测为负类的负样本
    下载: 导出CSV

    表  4  五种目标检测网络性能比较

    Table  4.   Performance comparison of five object detection networks

    模型平均精度召回率/(%)Size/(MB)FPS
    YOLOv3
    YOLOv5s
    93.20
    96.34
    86.58
    91.07
    117.77
    13.77
    80
    105
    YOLOv5m96.6993.2140.08103
    YOLOv5 l
    YOLOv5-Upgraded
    95.38
    99.09
    89.15
    96.20
    88.36
    13.78
    7
    112
    下载: 导出CSV

    表  5  消融实验结果

    Table  5.   Ablation experimental results

    模型 Mish SIoU CA 平均精度(0.5)/(%) 召回率
    /(%)
    YOLOv5s × × × 96.34 90.83
    YOLOv5s-Mish × × 99.20 93.37
    YOLOv5s-SIoU × × 98.41 94.06
    YOLOv5s-CA × × 97.53 94.70
    YOLOv5-Upgraded 99.09 96.20
    下载: 导出CSV
  • [1] SANTOLÍK O, PARROT M, INAN U S, et al. Propagation of unducted whistlers from their source lightning: A case study[J]. Journal of Geophysical Research: Space Physics, 2009, 114(A3): A03212
    [2] 袁静, 王桥, 张学民, 等. 基于电磁卫星的闪电哨声波智能检测算法的研究进展[J]. 地球物理学报, 2021, 64(5): 1471-1495

    YUAN Jing, WANG Qiao, ZHANG Xuemin, et al. Advances in the automatic detection algorithms for lightning whistlers recorded by electromagnetic satellite data[J]. Chinese Journal of Geophysics, 2021, 64(5): 1471-1495
    [3] BAYUPATI I P A, KASAHARA Y, GOTO Y. Study of dispersion of lightning whistlers observed by akebono satellite in the Earth’s plasmasphere[J]. IEICE Transactions on Communications, 2012, E95.B(11): 3472-3479 doi: 10.1587/transcom.E95.B.3472
    [4] PARROT M, BENOIST D, BERTHELIER J J, et al. The magnetic field experiment IMSC and its data processing onboard DEMETER: Scientific objectives, description and first results[J]. Planetary and Space Science, 2006, 54(5): 441-455 doi: 10.1016/j.pss.2005.10.015
    [5] 泽仁志玛, 刘大鹏, 孙晓英, 等. 张衡一号电磁卫星在轨情况及主要的科学成果[J]. 地球与行星物理论评(中英文), 2023, 54(4): 455-465

    ZEREN Zhima, LIU Dapeng, SUN Xiaoying, et al. Current status and scientific progress of the Zhangheng-1 satellite mission[J]. Reviews of Geophysics and Planetary Physics, 2023, 54(4): 455-465
    [6] CAO J B, ZENG L, ZHAN F, et al. The electromagnetic wave experiment for CSES mission: Search coil magnetometer[J]. Science China Technological Sciences, 2018, 61(5): 653-658 doi: 10.1007/s11431-018-9241-7
    [7] HUANG J P, LEI J G, LI S X, et al. The Electric Field Detector (EFD) onboard the ZH-1 satellite and first observational results[J]. Earth and Planetary Physics, 2018, 2(6): 469-478 doi: 10.26464/epp2018045
    [8] ZEREN Z M, HUANG J P, SHEN X H, et al. Simultaneous observations of ELF/VLF rising‐tone quasiperiodic waves and energetic electron precipitations in the high‐latitude upper ionosphere[J]. Journal of Geophysical Research: Space Physics, 2020, 125(5): e2019JA027574 doi: 10.1029/2019JA027574
    [9] HU Y P, ZEREN Z M, FU H S, et al. A large‐scale magnetospheric line radiation event in the upper ionosphere recorded by the China‐Seismo‐Electromagnetic satellite[J]. Journal of Geophysical Research: Space Physics, 2023, 128(2): e2022JA030743 doi: 10.1029/2022JA030743
    [10] WANG Y L, ZEREN Z M, WANG X, et al. Statistical characteristics of the local proton cyclotron band emissions observed by the CSES[J]. Journal of Geophysical Research: Space Physics, 2022, 127(11): e2022JA030860 doi: 10.1029/2022JA030860
    [11] FISER J, CHUM J, DIENDORFER G, et al. Whistler intensities above thunderstorms[J]. Annales Geophysicae, 2010, 28(1): 37-46 doi: 10.5194/angeo-28-37-2010
    [12] Oike Y, Kasahara Y, Goto Y. Spatial distribution and temporal variations of occurrence frequency of lightning whistlers observed by VLF/WBA onboard Akebono[J]. Radio Science: 12
    [13] ALI AHMAD U, KASAHARA Y, MATSUDA S, et al. Automatic detection of lightning whistlers observed by the plasma wave experiment onboard the arase satellite using the OpenCV library[J]. Remote Sensing, 2019, 11(15): 1785 doi: 10.3390/rs11151785
    [14] KONAN O J E Y, MISHRA A K, LOTZ S. Machine learning techniques to detect and characterise whistler radio waves[OL]. arXiv preprint arXiv: 2002.01244, 2020
    [15] 袁静, 王桥, 杨德贺, 等. 张衡一号感应磁力仪数据闪电哨声波自动识别[J]. 地球物理学报, 2021, 64(11): 3905-3924 doi: 10.6038/cjg2021O0164

    YUAN Jing, WANG Qiao, YANG Dehe, et al. Automatic recognition algorithm of lightning whistlers observed by the Search Coil Magnetometer onboard the Zhangheng-1 Satellite[J]. Chinese Journal of Geophysics, 2021, 64(11): 3905-3924 doi: 10.6038/cjg2021O0164
    [16] 袁静, 王子杰, 泽仁志玛, 等. 基于智能语音技术的闪电哨声波自动识别[J]. 地球物理学报, 2022, 65(3): 882-897 doi: 10.6038/cjg2022P0365

    YUAN Jing, WANG Zijie, ZEREN Zhima, et al. Automatic recognition algorithm of the lightning whistler waves by using speech processing technology[J]. Chinese Journal of Geophysics, 2022, 65(3): 882-897 doi: 10.6038/cjg2022P0365
    [17] 泽仁志玛, 申旭辉, 曹晋滨, 等. 强震前ELF/VLF磁场的扰动特征统计研究[J]. 地球物理学报, 2012, 55(11): 3699-3708 doi: 10.6038/j.issn.0001-5733.2012.11.017

    ZEREN Zhima, SHEN Xuhui, CAO Jinbin, et al. Statistical analysis of ELF/VLF magnetic field disturbances before major earthquakes[J]. Chinese Journal of Geophysics, 2012, 55(11): 3699-3708 doi: 10.6038/j.issn.0001-5733.2012.11.017
    [18] 胡云鹏, 泽仁志玛, 黄建平, 等. 张衡一号卫星记录的空间电磁波传播特征分析方法及算法实现[J]. 地球物理学报, 2020, 63(5): 1751-1765 doi: 10.6038/cjg2020N0405

    HU Yunpeng, ZEREN Zhima, HUANG Jianping, et al. Algorithms and implementation of wave vector analysis tool for the electromagnetic waves recorded by the CSES satellite[J]. Chinese Journal of Geophysics, 2020, 63(5): 1751-1765 doi: 10.6038/cjg2020N0405
    [19] REDMON J, DIVVALA S, GIRSHICK R, et al. You only look once: unified, real-time object detection[C]//2016 IEEE Conference on Computer Vision and Pattern Recognition (CVPR). Las Vegas: IEEE, 2016
    [20] MISRA D. Mish: A Self Regularized Non-Monotonic Activation Function[M/OL]. arXiv, 2020
    [21] GEVORGYAN Z. SIoU loss: More powerful learning for bounding box regression[OL]. arXiv preprint arXiv: 2205.12740, 2022
    [22] HU J, SHEN L, SUN G. Squeeze-and-excitation networks[C]//2018 IEEE/CVF Conference on Computer Vision and Pattern Recognition. Salt Lake City: IEEE, 2018
    [23] HOU Q B, ZHOU D Q, FENG J S. Coordinate attention for efficient mobile network design[C]//2021 IEEE/CVF Conference on Computer Vision and Pattern Recognition (CVPR). Nashville, TN, USA: IEEE, 2021: 13708-13717
  • 加载中
图(19) / 表(5)
计量
  • 文章访问数:  472
  • HTML全文浏览量:  137
  • PDF下载量:  54
  • 被引次数: 

    0(来源:Crossref)

    0(来源:其他)

出版历程
  • 收稿日期:  2023-06-12
  • 修回日期:  2023-08-26
  • 网络出版日期:  2023-12-04

目录

    /

    返回文章
    返回