留言板

尊敬的读者、作者、审稿人, 关于本刊的投稿、审稿、编辑和出版的任何问题, 您可以本页添加留言。我们将尽快给您答复。谢谢您的支持!

姓名
邮箱
手机号码
标题
留言内容
验证码

基于冷空观测单元的综合孔径微波辐射计幅度定标方法

仝星 牛立杰 韩东浩 刘浩

仝星, 牛立杰, 韩东浩, 刘浩. 基于冷空观测单元的综合孔径微波辐射计幅度定标方法[J]. 空间科学学报, 2024, 44(5): 832-845. doi: 10.11728/cjss2024.05.2023-0131
引用本文: 仝星, 牛立杰, 韩东浩, 刘浩. 基于冷空观测单元的综合孔径微波辐射计幅度定标方法[J]. 空间科学学报, 2024, 44(5): 832-845. doi: 10.11728/cjss2024.05.2023-0131
TONG Xing, NIU Lijie, HAN Donghao, LIU Hao. Amplitude Calibration Method for Synthetic Aperture Radiometer Based on Cold-sky Observation Unit (in Chinese). Chinese Journal of Space Science, 2024, 44(5): 832-845 doi: 10.11728/cjss2024.05.2023-0131
Citation: TONG Xing, NIU Lijie, HAN Donghao, LIU Hao. Amplitude Calibration Method for Synthetic Aperture Radiometer Based on Cold-sky Observation Unit (in Chinese). Chinese Journal of Space Science, 2024, 44(5): 832-845 doi: 10.11728/cjss2024.05.2023-0131

基于冷空观测单元的综合孔径微波辐射计幅度定标方法

doi: 10.11728/cjss2024.05.2023-0131 cstr: 32142.14.cjss2024.05.2023-0131
基金项目: 国家自然科学基金项目资助(42206185)
详细信息
    作者简介:
    • 仝星 男, 1998年出生于河南省南阳市, 现为中国科学院国家空间科学中心硕士研究生, 主要研究方向为综合孔径微波辐射计的定标等. E-mail: tongxing20@mails.ucas.ac.cn
    通讯作者:
    • 刘浩 男, 1978年出生于江西九江, 研究员, 主要研究方向为干涉式被动微波、毫米波/太赫兹成像技术及其在定量遥感、目标探测与环境感知等方面的应用. E-mail: liuhao@mirslab.cn
  • 中图分类号: TP73

Amplitude Calibration Method for Synthetic Aperture Radiometer Based on Cold-sky Observation Unit

  • 摘要: 微波辐射计通过定标获取目标准确的亮温, 是数据定量化应用的必要手段. 综合孔径微波辐射计由多个辐射计单元组成, 定标需求从单一接收机扩展至所有接收单元. 噪声注入是包括综合孔径微波辐射计在内的固定波束指向辐射计所常用的定标方法. 作为定标参考的噪声二极管在轨会受到温度影响发生短期波动, 并受器件老化影响发生长期漂移, 从而导致系统定标精度恶化. 针对上述问题, 提出一种基于冷空观测单元的综合孔径辐射计幅度定标方法. 通过设计专门的冷空观测辐射计通道, 对综合孔径辐射计的公共噪声源进行实时标定, 减小其噪声温度不确定性对综合孔径辐射计系统所有观测通道幅度定标的影响. 结合中国海洋盐度探测卫星主被动探测仪中K波段一维综合孔径辐射计的实际系统方案, 建立了辐射计系统模型及定标模型, 开展了数值仿真及样机定标实验验证. 仿真及实验结果验证了方法的有效性.

     

  • 图  1  基于冷空观测单元定标系统的结构

    Figure  1.  System structure block diagram based on cold-sky observation unit calibration

    图  2  海洋盐度探测卫星在轨运行

    Figure  2.  In-orbit diagram of the ocean salinity satellite

    图  3  数据处理流程

    Figure  3.  Data processing flow chart

    图  4  辐射计接收机的工作周期

    Figure  4.  Radiometer receiver operating cycle diagram

    图  5  非线性差异对目标亮温的影响

    Figure  5.  Influence of different nonlinear on the target brightness temperature

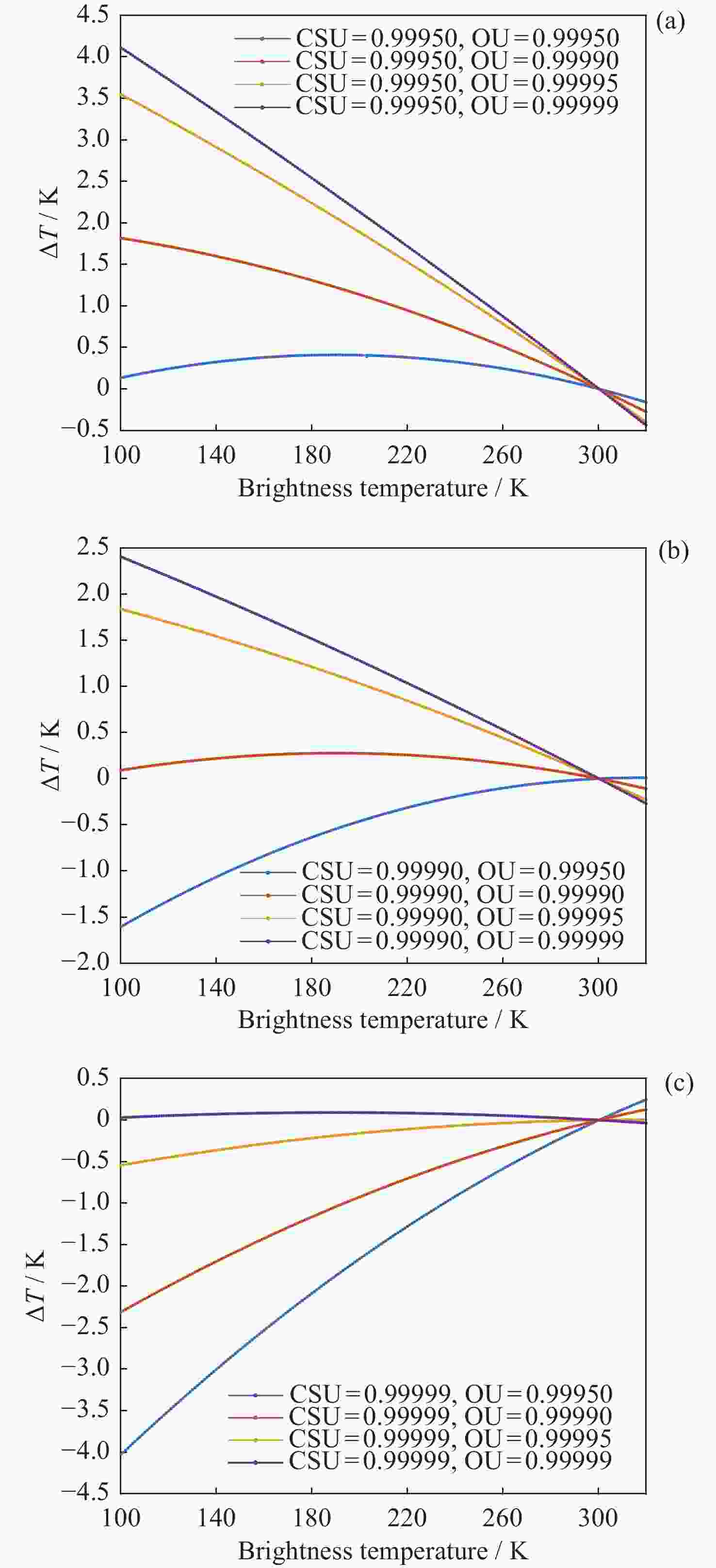
    图  6  公共噪声修正系数定标误差对幅度定标的影响

    Figure  6.  Influence of common noise correction factor calibration error on amplitude calibration

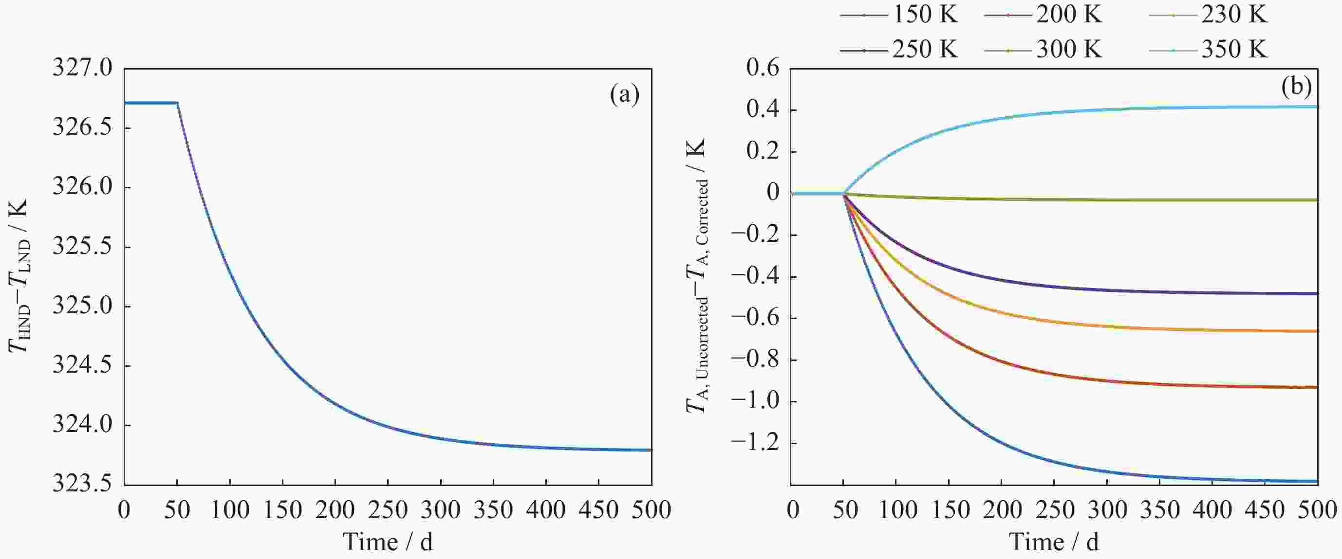
    图  7  公共噪声变化曲线(a)与目标亮温误差(b)

    Figure  7.  Common noise variation curve (a) and target brightness temperature error (b)

    图  8  公共噪声修正系数定标实验

    Figure  8.  Schematic diagram of common noise correction coefficient calibration experiment

    图  9  高亮温场景(黑体墙)定标实验

    Figure  9.  Schematic diagram of calibration experiment for high brightness temperature scene (Blackbody wall)

    图  10  高亮温场景定标实验过程中天线及接收机物理温度变化

    Figure  10.  Physical temperature change of antenna and receiver during calibration experiment of high brightness temperature scene

    图  11  冷空定标单元实时定标所获取的公共噪声源噪声温度变化. (a)高公共噪声, (b)低公共噪声, (c)公共噪声温度差

    Figure  11.  Noise temperature change of common noise source obtained by real-time calibration of cold-sky calibration unit. (a) High common noise, (b) low common noise, (c) difference of high and low

    图  12  高亮温场景定标实验结果. (a)观测单元接收机增益, (b)目标亮温结果, (c)背景温度与亮温对比, (d)公共噪声修正的效果

    Figure  12.  Calibration experiment result of high brightness temperature scene. (a) Observation unit receiver gain, (b) result of target brightness temperature, (c) contrast between background temperature and brightness temperature, (d) effect of common noise correction

    图  13  低亮温场景(黑体墙背景下的液氮定标源)定标实验

    Figure  13.  Schematic diagram of calibration experiment for low brightness temperature scene (Liquid nitrogen calibration source under blackbody wall background)

    图  14  低温目标观测实验场景图. (a)低温目标与天线的位置关系(侧视图), (b)低温目标与天线的位置关系(俯视图)

    Figure  14.  Cold target observation experiment scene. (a)Positional relationship between the cold target and the antenna (side view), (b) position relationship between cold target and antenna (top view)

    图  15  低亮温场景定标实验过程中辐射计天线及接收机物理温度变化

    Figure  15.  Physical temperature change of antenna and receiver during calibration experiment of low brightness temperature scene

    图  16  低亮温场景定标实验结果. (a)目标亮温, (b)背景温度与亮温对比, (c)公共噪声修正的效果

    Figure  16.  Calibration experiment result of low brightness temperature scene. (a) Target brightness temperature, (b) contrast between background temperature and brightness temperature, (c) the effect of corrected common

    表  1  公共噪声网络修正系数定标误差仿真参数

    Table  1.   Common noise network correction coefficient calibration error simulation parameters

    参数 数值
    公共噪声至冷空观测单元
    路径损耗/dB
    16.502
    公共噪声至综合孔径单元
    路径损耗/dB
    18.52
    公共噪声温度差/K 330~380
    定标参数误差/(%) ±4
    目标亮温/K 100~320
    接收机非线性 0.9999
    下载: 导出CSV

    表  2  公共噪声漂移仿真设置参数

    Table  2.   Common noise drift simulation set parameters

    参数数值
    公共噪声路径损耗/dB16.502
    公共噪声漂移/(%)1
    高公共噪声温度/K674
    低公共噪声温度/K350
    目标亮温/K100~320
    接收机非线性0.9999
    下载: 导出CSV
  • [1] SIEDLER G, GOULD J, CHURCH J A. Ocean Circulation and Climate: Observing and Modelling the Global Ocean[M]. Amsterdam: Elsevier, 2001
    [2] LUKAS R, LINDSTROM E. The mixed layer of the western equatorial Pacific Ocean[J]. Journal of Geophysical Research: Oceans, 1991, 96(S1): 3343-3357
    [3] BALAGURU K, CHANG P, SARAVANAN R, et al. Ocean barrier layers’ effect on tropical cyclone intensification[J]. Proceedings of the National Academy of Sciences of the United States of America, 2012, 109(36): 14343-14347
    [4] BINGHAM F M, HOWDEN S D, KOBLINSKY C J. Sea surface salinity measurements in the historical database[J]. Journal of Geophysical Research: Oceans, 2002, 107(C12): 8019
    [5] REUL N, GRODSKY S A, ARIAS M, et al. Sea surface salinity estimates from spaceborne L-band radiometers: an overview of the first decade of observation (2010–2019)[J]. Remote Sensing of Environment, 2020, 242: 111769 doi: 10.1016/j.rse.2020.111769
    [6] AKINS A, BROWN S, LEE T, et al. Simulation framework and case studies for the design of sea surface salinity remote sensing missions[J]. IEEE Journal of Selected Topics in Applied Earth Observations and Remote Sensing, 2023, 16: 1321-1334 doi: 10.1109/JSTARS.2023.3234407
    [7] ZHANG L J, YIN X B, WANG Z Z, et al. Preliminary analysis of the potential and limitations of MICAP for the retrieval of sea surface salinity[J]. IEEE Journal of Selected Topics in Applied Earth Observations and Remote Sensing, 2018, 11(9): 2979-2990 doi: 10.1109/JSTARS.2018.2849408
    [8] LIU H, ZHU D, NIU L J, et al. MICAP (Microwave ima-ger combined active and passive): A new instrument for Chinese ocean salinity satellite[C]//2015 IEEE International Geoscience and Remote Sensing Symposium (IGARSS). Milan: IEEE, 2015: 184-187
    [9] 牛立杰, 刘浩, 武林, 等. 面向星载海洋盐度探测应用的L波段综合孔径辐射计原理样机研制与试验研究[J]. 电子与信息学报, 2017, 39(8): 1841-1847

    NIU Lijie, LIU Hao, WU Lin, et al. Development and experimental study on L-band synthetic aperture radiometer prototype for ocean salinity measurement[J]. Journal of Electronics & Information Technology, 2017, 39(8): 1841-1847
    [10] FIXSEN D J, CHENG E S, GALES J M, et al. The cosmic microwave background spectrum from the full COBE* FIRAS data set[J]. The Astrophysical Journal, 1996, 473(2): 576-587 doi: 10.1086/178173
    [11] BROWN S, RUF C, KEIHM S, et al. Preliminary validation and performance of the JASON microwave radiometer[C]//IGARSS 2003. 2003 IEEE International Geoscience and Remote Sensing Symposium. Proceedings (IEEE Cat. No. 03CH37477). Toulouse: IEEE, 2003: 1077-1079
    [12] BROWN S, DESAI S, KEIHM S, et al. JMR noise diode stability and recalibration methodology after three years on-orbit[C]//2006 IEEE MicroRad. San Juan: IEEE, 2006: 7-12
    [13] BROWN S T, DESAI S, LU W W, et al. On the long-term stability of microwave radiometers using noise diodes for calibration[J]. IEEE Transactions on Geoscience and Remote Sensing, 2007, 45(7): 1908-1920 doi: 10.1109/TGRS.2006.888098
    [14] SCHARROO R, LILLIBRIDGE J L, SMITH W H F, et al. Cross-calibration and long-term monitoring of the micro-wave radiometers of ERS, TOPEX, GFO, Jason, and Envisat[J]. Marine Geodesy, 2004, 27(1/2): 279-297
    [15] PIEPMEIER J R, HONG L, PELLERANO F A. Aquarius L-band microwave radiometer: 3 years of radiometric performance and systematic effects[J]. IEEE Journal of Selected Topics in Applied Earth Observations and Remote Sensing, 2015, 8(12): 5416-5423 doi: 10.1109/JSTARS.2015.2435493
    [16] DINNAT E P, LE VINE D M, PIEPMEIER J R, et al. Aquarius L-band radiometers calibration using cold sky observations[J]. IEEE Journal of Selected Topics in Applied Earth Observations and Remote Sensing, 2015, 8(12): 5433-5449 doi: 10.1109/JSTARS.2015.2496362
    [17] PIEPMEIER J R, FOCARDI P, HORGAN K A, et al. SMAP L-band microwave radiometer: Instrument design and first year on orbit[J]. IEEE Transactions on Geoscience and Remote Sensing, 2017, 55(4): 1954-1966 doi: 10.1109/TGRS.2016.2631978
    [18] PENG J Z, MISRA S, PIEPMEIER J R, et al. Soil Moisture Active/Passive (SMAP) L-band microwave radiometer post-launch calibration upgrade[J]. IEEE Journal of Selected Topics in Applied Earth Observations and Remote Sensing, 2019, 12(6): 1647-1657 doi: 10.1109/JSTARS.2019.2902492
    [19] RUF C S, KEIHM S J, JANSSEN M A. TOPEX/Poseidon Microwave Radiometer (TMR). I. Instrument description and antenna temperature calibration[J]. IEEE Transactions on Geoscience and Remote Sensing, 1995, 33(1): 125-137 doi: 10.1109/36.368215
    [20] ZHANG D H, WANG Z Z, WANG H J, et al. ACMR system description and performance[C]//2014 IEEE Geoscience and Remote Sensing Symposium. Quebec City: IEEE, 2014: 5179-5182
    [21] BROWN M A, TORRES F, CORBELLA I, et al. SMOS calibration[J]. IEEE Transactions on Geoscience and Remote Sensing, 2008, 46(3): 646-658 doi: 10.1109/TGRS.2007.914810
    [22] KAINULAINEN J, COLLIANDER A, CLOSA J, et al. Radiometric performance of the SMOS reference radiometers—assessment after one year of operation[J]. IEEE Transactions on Geoscience and Remote Sensing, 2012, 50(5): 1367-1383 doi: 10.1109/TGRS.2011.2177273
    [23] MARTÍN-NEIRA M, OLIVA R, CORBELLA I, et al. SMOS instrument performance and calibration after six years in orbit[J]. Remote Sensing of Environment, 2016, 180: 19-39 doi: 10.1016/j.rse.2016.02.036
    [24] 牛立杰, 刘浩, 吴季. 高灵敏度、高稳定度微波辐射计技术研究与实验验证[J]. 电子与信息学报, 2017, 39(8): 2028-2032

    NIU Lijie, LIU Hao, WU Ji. Research and experimental verification on high sensitivity and high stability micro-wave radiometer[J]. Journal of Electronics & Information Technology, 2017, 39(8): 2028-2032
    [25] CAMPS A. Noise wave analysis of Dicke and noise injection radiometers: complete S parameter analysis and effect of temperature gradients[J]. Radio Science, 2010, 45(5): RS5004
    [26] GONZÁLEZ-HARO C, TORRES F, DUFFO N, et al. Li-nearity characterization of detectors for interferometric radiometers[C]//2009 IEEE International Geoscience and Remote Sensing Symposium. Cape Town: IEEE, 2009: IV-657-IV-660
    [27] COTO J A, JONES L. Nonlinear radiometer counts to antenna temperature inverse transfer function for a Dicke radiometer with noise injection[C]//2019 Southeast Conference. Huntsville: IEEE, 2019: 1-5
  • 加载中
图(16) / 表(2)
计量
  • 文章访问数:  957
  • HTML全文浏览量:  342
  • PDF下载量:  40
  • 被引次数: 

    0(来源:Crossref)

    0(来源:其他)

出版历程
  • 收稿日期:  2023-11-14
  • 修回日期:  2024-02-12
  • 网络出版日期:  2024-05-11

目录

    /

    返回文章
    返回