留言板

尊敬的读者、作者、审稿人, 关于本刊的投稿、审稿、编辑和出版的任何问题, 您可以本页添加留言。我们将尽快给您答复。谢谢您的支持!

姓名
邮箱
手机号码
标题
留言内容
验证码

一种返回电子式的月表电场探测技术

金菲凡 刘超 张贤国 张爱兵 王文静

金菲凡, 刘超, 张贤国, 张爱兵, 王文静. 一种返回电子式的月表电场探测技术[J]. 空间科学学报, 2024, 44(6): 1106-1119. doi: 10.11728/cjss2024.06.2024-0010
引用本文: 金菲凡, 刘超, 张贤国, 张爱兵, 王文静. 一种返回电子式的月表电场探测技术[J]. 空间科学学报, 2024, 44(6): 1106-1119. doi: 10.11728/cjss2024.06.2024-0010
JIN Feifan, LIU Chao, ZHANG Xianguo, ZHANG Aibing, WANG Wenjing. Return-type Electron-based Lunar Surface Electric Field Detection Technology (in Chinese). Chinese Journal of Space Science, 2024, 44(6): 1106-1119 doi: 10.11728/cjss2024.06.2024-0010
Citation: JIN Feifan, LIU Chao, ZHANG Xianguo, ZHANG Aibing, WANG Wenjing. Return-type Electron-based Lunar Surface Electric Field Detection Technology (in Chinese). Chinese Journal of Space Science, 2024, 44(6): 1106-1119 doi: 10.11728/cjss2024.06.2024-0010

一种返回电子式的月表电场探测技术

doi: 10.11728/cjss2024.06.2024-0010 cstr: 32142.14.cjss.2024-0010
基金项目: 深空探测全国重点实验室项目资助 (NKLDSE2023A010)
详细信息
    作者简介:
    • 金菲凡 女, 1999年8月出生于上海市, 现于中国科学院大学(中国科学院国家空间科学中心)攻读硕士学位, 主要研究方向为月球电场环境探测技术. E-mail: jffmtxjf@163.com
    • 刘超 男, 1981年3月出生于河南省周口市, 现为中国科学院国家空间科学中心正高级工程师, 博士生导师, 主要从事空间环境及等离子体就位探测技术的研究. E-mail: liuch@nssc.ac.cn
  • 中图分类号: V447

Return-type Electron-based Lunar Surface Electric Field Detection Technology

  • 摘要: 提出了一种原位探测月表电场的新技术及相应计算方法, 以满足探测南极月面电场环境特性的需求. 根据仿真结果, 月表电场精细测量需要低能散、高电流的平行电子束发射能力, 设计的低能层流电子枪在10–8~10–5 A的发射电流下, 能散<0.4 eV, 且随发射电流减弱而降低; 通过控制发射电流、调整阳极孔径, 可对电流进行调控; 采用pierce电子枪的阴阳极结构和静电透镜对电子束的平行度进行进一步控制, 仿真显示10–7 A电子束的扩散效果较弱, 各方面性能符合探测需求. 此外, 构建通过电子束返回时间测量垂直电场的探测方式, 模拟验证月表光照区向上发射电子束时相应的电场计算结果可反映背景电场, 返回电子式月表电场探测技术达到了执行月表电场测量所需的要求.

     

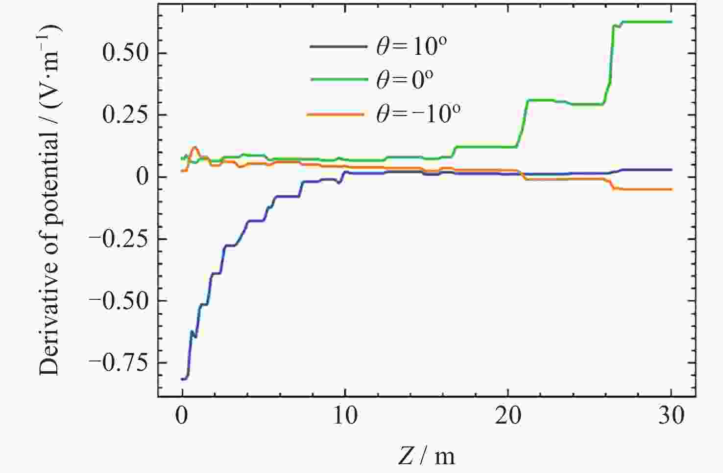
  • 图  1  电场中电位、电子束能量与返回位置的关系

    Figure  1.  Relationship between electric potential, energy of electron beam, and return position in the electric field

    图  2  不同初始能量的电子在电场中的返回时间信号

    Figure  2.  Return time signals for electrons with different initial energies in the electric field

    图  3  系统构成

    Figure  3.  System configuration

    图  4  电子枪主体结构剖面

    Figure  4.  Cross-section of the electron gun main structure

    图  5  电子枪金属内部结构及对应电压设置

    Figure  5.  Internal metal structure of the electron gun and corresponding voltage settings

    图  6  稳压阳极设为0 V (a) 脉冲模式下阳极调整为–100 V 电子(b) 的出射情况

    Figure  6.  Emission of electrons under regulated voltage with anode set to 0 V (a) pulse mode with anode set to –100 V (b)

    图  7  电压脉冲波形和电流采样波形

    Figure  7.  Voltage pulse waveform and sampled current waveform

    图  8  信号采集模块总体设计

    Figure  8.  Overall design for the signal acquisition module

    图  9  电子枪表面施加50 V电位差时电子枪与月面的耦合鞘层电位分布

    Figure  9.  Potential distribution of the coupling sheath layer between the electron gun and lunar surface when a 50 V potential difference is applied to the electron gun surface

    图  10  平整月表的高度空间电位分布

    Figure  10.  Spatial distribution of electric potential on a flat lunar surface

    图  11  SPIS模拟的平整月表垂直电场结果

    Figure  11.  Vertical electric field of a flat lunar surface simulated by SPIS

    图  12  类pierce结构理想情况下电子束的轨迹(从下至上分别为阴极、预聚焦极、阳极)

    Figure  12.  Trajectory of the electron beam in an idealized pierce-like structure (The components from bottom to top are the cathode, the pre-focusing electrode, and the anode respectively)

    图  13  不同电流影响下空间电荷相互作用引起的能散

    Figure  13.  Energy spread caused by space charge interaction under different currents

    图  14  1 mm阳极孔径下不同电流的空间电荷效应

    Figure  14.  Space charge effects under different currents with a 1 mm anode aperture

    图  15  1000 K激发温度时不同孔径的电流通过情况

    Figure  15.  Current for different apertures at an excitation temperature of 1000 K

    图  16  电子枪轴上电位分布以及电位梯度

    Figure  16.  Potential and potential gradient along the electron gun axis

    图  17  理想情况下在2000 mm处汇聚的100 eV电子束受10–7A电流空间效应影响的模拟扩散结果

    Figure  17.  Simulated diffusion results of a 100 eV electron beam converged at 2000 mm in theoretical conditions under the influence of 10–7A current space charge effects

    图  18  着陆器周围的电位分布及电场估计值. (a)水平方向, (b)垂直方向

    Figure  18.  Potential distribution and estimated electric field values in the horizontal (a) and vertical directions (b) around the lander

    图  19  电子束运动轨迹 (绿色曲线为水平发射, 黑色曲线初始偏角为4°)

    Figure  19.  Trajectory of electron beam (Green curves represent horizontal emission, black curves represent the initial angle of 4°)

    图  20  安装高度为0.3 m (a)和安装高度为1.6 m (b)情况下空间电位分布以及电子束返回情况

    Figure  20.  Potential distribution and electron beam return situation at an installation height of 0.3 m (a) and 1.6 m (b)

    图  21  日侧和阴影区电子束发射方向及返回情况

    Figure  21.  Electron beam emission direction and return situation in the sunlit and shadowed regions

    图  22  电子束受到的库仑力和洛伦兹力的比值

    Figure  22.  Ratio of Coulomb force to Lorentz force acting on the electron beam

    图  23  施加不同电压差时空间各点电位与施加104 V时的差值

    Figure  23.  Potential difference at various points in space compared to a 104 V bias when applying different voltage bias

    图  24  不同情况下Z=1.56 m处的空间电位 以及电子通过时间

    Figure  24.  Spatial potential and flight time of electrons at Z=1.56 m under different conditions

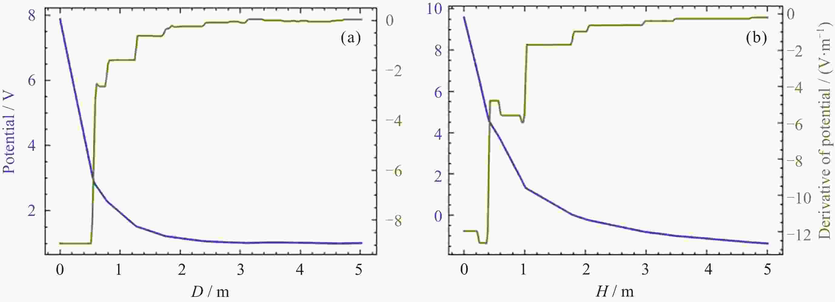
    图  25  计算得到的空间中每伏的间距$ D $与背景场中对应值$ {D}_{r} $及两者的拟合关系

    Figure  25.  Calculated spacing $ D $ per volt and corresponding value $ {D}_{r} $ in the background field, as well as the fitting relationship between $D $ and ${D}_{r} $

    表  1  性能参数

    Table  1.   Performance parameters

    Potential range/
    V
    Electric field range/
    (V⋅m–1)
    Electric field resolution/
    (V⋅m–1)
    (–100, +100) (0.5, 5) ≤0.5
    下载: 导出CSV
  • [1] STUBBS T J, HALEKAS J S, FARRELL W M, et al. Lunar surface charging: a global perspective using lunar prospector data[M]//KRUEGER H, GRAPS A. Workshop on Dust in Planetary Systems. Kauai, Hawaii: ADS, 2007: 181-184
    [2] HALEKAS J S, MITCHELL D L, LIN R P, et al. Evidence for negative charging of the lunar surface in shadow[J]. Geophysical Research Letters, 2002, 29(10): 1435
    [3] HALEKAS J S, ANGELOPOULOS V, SIBECK D G, et al. First results from ARTEMIS, a new two-spacecraft lunar mission: counter-streaming plasma populations in the lunar wake[J]. Space Science Reviews, 2011, 165(1/2/3/4): 93-107
    [4] KATO M, HARADA Y, XU S S, et al. Modeling photoelectron and auger electron emission from the sunlit lunar surface: a comparison with ARTEMIS observations[J]. Journal of Geophysical Research: Space Physics, 2023, 128(10): e2023JA031707 doi: 10.1029/2023JA031707
    [5] 刘沐明, 冯永勇. 太阳风离子在月面的反射过程及对月面电场的影响[J]. 吉林大学学报(理学版), 2018, 56(6): 1513-1520

    LIU Muming, FENG Yongyong. Reflection of solar wind ions on lunar surface and its influence on lunar surface electric field[J]. Journal of Jilin University (Science Edition), 2018, 56(6): 1513-1520
    [6] 谢良海, 张爱兵, 李磊, 等. 嫦娥四号能量中性原子观测揭示太阳风与月面相互作用新特征[J]. 空间科学学报, 2022, 42(1): 11-24 doi: 10.11728/cjss2022.01.20220113

    XIE Lianghai, ZHANG Aibing, LI Lei, et al. Chang’E-4 energetic neutral atom observation reveals new features about the solar wind-moon interaction[J]. Chinese Journal of Space Science, 2022, 42(1): 11-24 doi: 10.11728/cjss2022.01.20220113
    [7] FENNER M A, FREEMAN J W JR, HILLS H K. The electric potential of the lunar surface[J]. Proceedings of the Fourth Lunar Science Conference, 1973, 3: 2877-2887
    [8] DE B R, CRISWELL D R. Intense localized photoelectric charging in the lunar sunset terminator region, 1. Development of potentials and fields[J]. Journal of Geophysical Research (1896-1977), 1977, 82(7): 999-1004
    [9] LI L, ZHANG Y T, ZHOU B, et al. Lunar surface potential and electric field[J]. Research in Astronomy and Astrophysics, 2019, 19(6): 77 doi: 10.1088/1674-4527/19/6/77
    [10] LUND D, HE X M, HAN D R. Kinetic particle simulations of plasma charging at lunar craters under severe conditions[J]. Journal of Spacecraft and Rockets, 2023, 60(4): 1176-1187 doi: 10.2514/1.A35622
    [11] 甘红, 李雄耀, 魏广飞. 嫦娥四号着陆区织女陨坑电场环境数值模拟[J]. 空间科学学报, 2020, 40(2): 250-263 doi: 10.11728/cjss2020.02.250

    GAN Hong, LI Xiongyao, WEI Guangfei. Electric fields distribution of Zhinyu crater in Chang’E-4 landing area[J]. Chinese Journal of Space Science, 2020, 40(2): 250-263 doi: 10.11728/cjss2020.02.250
    [12] JARVINEN R, ALHO M, KALLIO E, et al. On vertical electric fields at lunar magnetic anomalies[J]. Geophysical Research Letters, 2014, 41(7): 2243-2249 doi: 10.1002/2014GL059788
    [13] XU S S, POPPE A R, HALEKAS J S, et al. Mapping the lunar wake potential structure with ARTEMIS data[J]. Journal of Geophysical Research: Space Physics, 2019, 124(5): 3360-3377 doi: 10.1029/2019JA026536
    [14] YU D Y, SUN Z Z, ZHANG H. Future prospects of lunar lander technology[M]//YU D Y, SUN Z Z, ZHANG H. Technology of Lunar Soft Lander. Singapore: Springer, 2021: 551-555
    [15] PASCHMANN G, MELZNER F, FRENZEL R, et al. The electron drift instrument for cluster[J]. Space Science Reviews, 1997, 79(1): 233-269
    [16] 余后满, 饶炜, 张益源, 等. “嫦娥七号”探测器任务综述[J]. 深空探测学报(中英文), 2023, 10(6): 567-576

    YU Houman, RAO Wei, ZHANG Yiyuan, et al. Mission analysis and spacecraft design of Chang’E-7[J]. Journal of Deep Space Exploration, 2023, 10(6): 567-576
    [17] 吴伟, 刘超, 张贤国, 等. 一种低能量远焦距电子枪技术[J]. 空间科学学报, 2023, 43(1): 144-155 doi: 10.11728/cjss2023.01.220208013

    WU Wei, LIU Chao, ZHANG Xianguo, et al. Research on a low energy Tele-focus electron gun[J]. Chinese Journal of Space Science, 2023, 43(1): 144-155 doi: 10.11728/cjss2023.01.220208013
    [18] KUYATT C E. Electrostatic lenses[J]. Review of Scientific Instruments, 1978, 49(4): 551 doi: 10.1063/1.1135432
    [19] JACKSON T L, FARRELL W M, ZIMMERMAN M I. Rover wheel charging on the lunar surface[J]. Advances in Space Research, 2015, 55(6): 1710-1720 doi: 10.1016/j.asr.2014.12.027
    [20] 程彬杰, 刘学东, 唐天同, 等. 电子束中Boersch效应的实验研究[J]. 真空科学与技术, 1998, 18(5): 364-368

    CHENG Binjie, LIU Xuedong, TANG Tiantong, et al. Experimental studies of the Boersch effect of electron beams[J]. Vacuum Science and Technology (China), 1998, 18(5): 364-368
    [21] SHIMIZU R, ONODA H, HASHIMOTO H, et al. Oxygen-enhanced thermionic emission pattern of hemispherical single-crystal LaB6[J]. Journal of Applied Physics, 1984, 55(5): 1379-1387 doi: 10.1063/1.333228
    [22] DYAL P, PARKIN C W, DAILY W D. Magnetism and the interior of the Moon[J]. Reviews of Geophysics, 1974, 12(4): 568-591 doi: 10.1029/RG012i004p00568
  • 加载中
图(25) / 表(1)
计量
  • 文章访问数:  771
  • HTML全文浏览量:  300
  • PDF下载量:  48
  • 被引次数: 

    0(来源:Crossref)

    0(来源:其他)

出版历程
  • 收稿日期:  2024-01-18
  • 修回日期:  2024-03-16
  • 网络出版日期:  2024-05-11

目录

    /

    返回文章
    返回