留言板

尊敬的读者、作者、审稿人, 关于本刊的投稿、审稿、编辑和出版的任何问题, 您可以本页添加留言。我们将尽快给您答复。谢谢您的支持!

姓名
邮箱
手机号码
标题
留言内容
验证码

磁鞘流驱动的弓形波及软X射线成像研究: Hybrid与PIC模拟

欧阳婉欣 杨忠炜 郭孝城 李晖 陆全明 王赤

欧阳婉欣, 杨忠炜, 郭孝城, 李晖, 陆全明, 王赤. 磁鞘流驱动的弓形波及软X射线成像研究: Hybrid与PIC模拟[J]. 空间科学学报, 2024, 44(6): 979-987. doi: 10.11728/cjss2024.06.2024-yg28
引用本文: 欧阳婉欣, 杨忠炜, 郭孝城, 李晖, 陆全明, 王赤. 磁鞘流驱动的弓形波及软X射线成像研究: Hybrid与PIC模拟[J]. 空间科学学报, 2024, 44(6): 979-987. doi: 10.11728/cjss2024.06.2024-yg28
OUYANG Wanxin, YANG Zhongwei, GUO Xiaocheng, LI Hui, LU Quanming, WANG Chi. Magnetosheath Jet-driven Bow Waves and Their Soft X-ray Imaging: Hybrid and PIC Simulations (in Chinese). Chinese Journal of Space Science, 2024, 44(6): 979-987 doi: 10.11728/cjss2024.06.2024-yg28
Citation: OUYANG Wanxin, YANG Zhongwei, GUO Xiaocheng, LI Hui, LU Quanming, WANG Chi. Magnetosheath Jet-driven Bow Waves and Their Soft X-ray Imaging: Hybrid and PIC Simulations (in Chinese). Chinese Journal of Space Science, 2024, 44(6): 979-987 doi: 10.11728/cjss2024.06.2024-yg28

磁鞘流驱动的弓形波及软X射线成像研究: Hybrid与PIC模拟

doi: 10.11728/cjss2024.06.2024-yg28 cstr: 32142.14.cjss.2024-yg28
基金项目: 国家自然科学基金项目(42150105, 42188101, 42274210), 科工局民用航天预先研究项目(D010202, D010301)和科技部重点研发计划项目(2021YFA0718600)共同资助
详细信息
    作者简介:
    • 欧阳婉欣 女, 2002年1月出生于陕西省渭南市, 现为中国科学院国家空间科学中心研究生, 曾开展过地震波方程高精度隐式交错网格有限差分方法研究, 目前主要研究方向为地球与行星的空间天气和基本等离子体物理过程的数值模拟与观测数据分析. E-mail: ouyangwanxin24@mails.ucas.ac.cn
    通讯作者:
    • 杨忠炜 男, 1984年1月出生于浙江省嘉兴市, 中国科学技术大学博士, 现为中国科学院国家空间科学中心研究员、研究生导师、青促会会员, 主要研究方向为太阳风–磁层相互作用的全球混合模拟和SMILE卫星软X射线仿真研究、太阳系/日球层无碰撞激波的全粒子模拟和卫星观测数据分析研究等. E-mail: zwyang@swl.ac.cn
  • 中图分类号: P354

Magnetosheath Jet-driven Bow Waves and Their Soft X-ray Imaging: Hybrid and PIC Simulations

  • 摘要: 最新研究表明, 湍动的地球磁鞘中存在大量高速流(High Speed Jets, HSJs). MMS卫星对其统计后发现, 高速流多数存在于准平行弓激波的下游, 其中部分能挤压鞘区等离子体驱动出弓形波. 本文采用二维混合模拟(Hybrid)方法, 研究了不同激波法向与背景磁力线B0的夹角θBn、背景磁场B0落在模拟平面内外等不同参数设定下的高速流和弓形波(Bow Waves)特性. 通过对比相似参数条件下的全粒子模拟(Particle-in-Cell, PIC)与混合模拟结果, 发现全粒子模拟除能重现混合模拟结果以外, 还能在高速流和弓形波区域呈现出更丰富的多尺度磁岛, 其尺度可从小于1个离子惯性长(di0)到大于10di0不等. 聚焦2025年9月即将发射的中欧SMILE卫星任务, 基于模拟和地冕氢模型对磁鞘软X射线激发强度开展评估, 发现高速流区软X射线强度可比背景高1个量级.

     

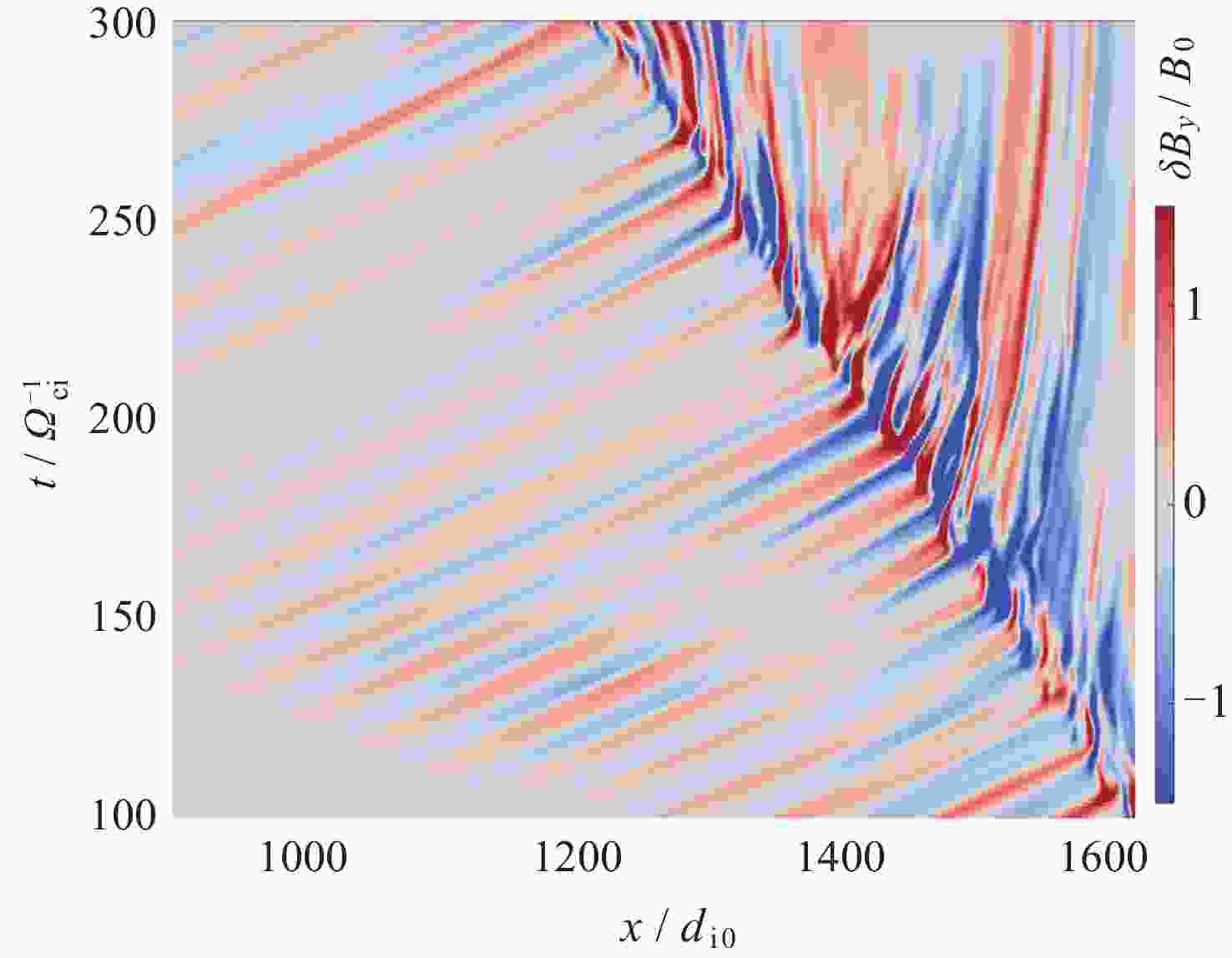
  • 图  1  平行激波的磁场分量δBy时空演化

    Figure  1.  Time-evolution of the magnetic field profile δBy at a parallel shock

    图  2  平行激波下游的高速流和弓形波(t = 300 Ωci–1). 图(e)中横坐标为根据上游等离子体与地球半径等参数转化到日下点的实际尺度

    Figure  2.  High-speed jets and bow wave at downstream of the parallel shock (t = 300 Ωci–1). The horizontal coordinate of panel (e) is converted to the actual scale of the subsolar point based on parameters such as upstream plasma and Earth radius

    图  3  不同θBn条件下B0磁力线落在模拟平面内的磁场B/B0算例

    Figure  3.  B/B0 profiles of the magnetic field line B0 falling in the simulated plane under influence of different θBn

    图  4  不同θBn条件下B0磁力线落在模拟平面内的离子密度Ni/N0算例

    Figure  4.  Ni/N0 profiles of the magnetic field line B0 falling in the simulated plane under influence of different θBn

    图  5  不同θBn条件下B0磁力线落在模拟平面内的离子动压Pd/Pd0算例

    Figure  5.  Pd/Pd0 profiles of the magnetic field line B0 falling in the simulated plane under influence of different θBn

    图  6  不同θBn条件下B0磁力线落在模拟平面外的磁场B/B0算例

    Figure  6.  B/B0 profiles of the magnetic field lineB0 falling outside the simulated plane under influence of different θBn

    图  7  不同θBn条件下B0磁力线落在模拟平面外的离子密度Ni/N0算例

    Figure  7.  Ni/N0 profiles of the magnetic field lineB0 falling outside the simulated plane under influence of different θBn

    图  8  不同θBn条件下B0磁力线落在模拟平面外的离子动压Pd/Pd0算例

    Figure  8.  Pd/Pd0 profiles of the magnetic field lineB0 falling outside the simulated plane under influence of different θBn

    图  9  类似参数条件下高速流和弓形波的PIC模拟. 图(e)中磁力线(黑色箭头实线)可视化了激波下游不同尺度的磁岛, 背景颜色代表物理量电子电流密度的z分量Jez/J0

    Figure  9.  PIC simulation of high speed jets and bow waves with similar parameters. Panel (e) uses magnetic field lines (black solid curves with arrows) to visualize magnetic islands of different scales downstream of the shock. The ambient contour denotes the electron current density Jez/J0

  • [1] BLANDFORD R, EICHLER D. Particle acceleration at astrophysical shocks: a theory of cosmic ray origin[J]. Physics Reports, 1987, 154(1): 1-75 doi: 10.1016/0370-1573(87)90134-7
    [2] RICHARDSON J D, KASPER J C, WANG C, et al. Cool heliosheath plasma and deceleration of the upstream solar wind at the termination shock[J]. Nature, 2008, 454(7200): 63-66 doi: 10.1038/nature07024
    [3] JOHLANDER A, SCHWARTZ S J, VAIVADS A, et al. Rippled quasiperpendicular shock observed by the magnetospheric multiscale spacecraft[J]. Physical Review Letters, 2016, 117(16): 165101 doi: 10.1103/PhysRevLett.117.165101
    [4] YANG Z W, LIU Y D, JOHLANDER A, et al. MMS direct observations of kinetic-scale shock self-reformation[J]. The Astrophysical Journal Letters, 2020, 901(1): L6 doi: 10.3847/2041-8213/abb3ff
    [5] BURCH J L, TORBERT R B, PHAN T D, et al. Electron-scale measurements of magnetic reconnection in space[J]. Science, 2016, 352(6290): aaf2939 doi: 10.1126/science.aaf2939
    [6] GUO X C, WANG C, HU Y Q. Global MHD simulation of the Kelvin‐Helmholtz instability at the magnetopause for northward interplanetary magnetic field[J]. Journal of Geophysical Research: Space Physics, 2010, 115(A10): A10218. doi: 10.1029/2009JA015193
    [7] PLASCHKE F, HIETALA H, VÖRÖS Z. Scale sizes of magnetosheath jets[J]. Journal of Geophysical Research: Space Physics, 2020, 125(9): e2020JA027962 doi: 10.1029/2020JA027962
    [8] CHEN L J, NG J, OMELCHENKO Y, et al. Magnetopause reconnection and indents induced by foreshock turbulence[J]. Geophysical Research Letters, 2021, 48(11): e2021GL093029 doi: 10.1029/2021GL093029
    [9] GUO W L, TANG B B, ZHANG Q H, et al. The magnetopause deformation indicated by fast cold ion motion[J]. Journal of Geophysical Research: Space Physics, 2024, 129(2): e2023JA032121 doi: 10.1029/2023JA032121
    [10] HIETALA H, PHAN T D, ANGELOPOULOS V, et al. In situ observations of a magnetosheath high-speed jet triggering magnetopause reconnection[J]. Geophysical Research Letters, 2018, 45(4): 1732-1740 doi: 10.1002/2017GL076525
    [11] YANG Z W, JARVINEN R, GUO X C, et al. Deformations at Earth’s dayside magnetopause during quasi-radial IMF conditions: global kinetic simulations and Soft X-ray Imaging[J]. Earth and planetary Physics, 2024, 8(1): 59-69 doi: 10.26464/epp2023059
    [12] BURGESS D, LUCEK E A, SCHOLER M, et al. Quasi-parallel shock structure and processes[J]. Space Science Reviews, 2005, 118(1/2/3/4): 205-222 doi: 10.1007/s11214-005-3832-3
    [13] LEMBEGE B, GIACALONE J, SCHOLER, M, et al. Selected problems in collisionless-shock physics[J]. Space Science Reviews, 2004, 110(3): 161-226. DOI: 1023/B:SPAC.0000023372.12232.b7
    [14] LIU T Z, HAO Y F, WILSON III L B, et al. Magnetospheric multiscale observations of Earth’s oblique bow shock reformation by foreshock ultralow-frequency waves[J]. Geophysical Research Letters, 2021, 48(2): e2020GL091184 doi: 10.1029/2020GL091184
    [15] HIETALA H, LAITINEN T V, ANDRÉEOVÁ K, et al. Supermagnetosonic jets behind a collisionless quasiparallel shock[J]. Physical Review Letters, 2009, 103(24): 245001 doi: 10.1103/PhysRevLett.103.245001
    [16] PLASCHKE F, HIETALA H, ARCHER M, et al. Jets downstream of collisionless shocks[J]. Space Science Reviews, 2018, 214(5): 81 doi: 10.1007/s11214-018-0516-3
    [17] LIU T Z, HIETALA H, ANGELOPOULOS V, et al. THEMIS observations of particle acceleration by a magnetosheath jet-driven bow wave[J]. Geophysical Research Letters, 2019, 46(14): 7929-7936 doi: 10.1029/2019GL082614
    [18] LIU T Z, HIETALA H, ANGELOPOULOS V, et al. Electron acceleration by magnetosheath jet-driven bow waves[J]. Journal of Geophysical Research: Space Physics, 2020, 125(7): e2019JA027709 doi: 10.1029/2019JA027709
    [19] LIU T Z, HIETALA H, ANGELOPOULOS V, et al. Statistical study of magnetosheath jet-driven bow waves[J]. Journal of Geophysical Research: Space Physics, 2020, 125(7): e2019JA027710 doi: 10.1029/2019JA027710
    [20] WINSKE D, QUEST K B. Magnetic field and density fluctuations at perpendicular supercritical collisionless shocks[J]. Journal of Geophysical Research: Space Physics, 1988, 93(A9): 9681-9693 doi: 10.1029/JA093iA09p09681
    [21] GUO F, GIACALONE J. The acceleration of thermal protons at parallel collisionless shocks: three-dimensional hybrid simulations[J]. The Astrophysical Journal, 2013, 773(2): 158 doi: 10.1088/0004-637X/773/2/158
    [22] BURGESS D, WILKINSON W P, SCHWARTZ S J. Ion distributions and thermalization at perpendicular and quasi-perpendicular supercritical collisionless shocks[J]. Journal of Geophysical Research: Space Physics, 1989, 94(A7): 8783-8792 doi: 10.1029/JA094iA07p08783
    [23] YANG Z W, LU Q M, LIU Y D, et al. Impact of shock front rippling and self-reformation on the electron dynamics at low-Mach-number shocks[J]. The Astrophysical Journal, 2018, 857(1): 36 doi: 10.3847/1538-4357/aab714
    [24] SAVOINI P, LEMBEGE B. Electron dynamics in two- and one-dimensional oblique supercritical collisionless magnetosonic shocks[J]. Journal of Geophysical Research: Space Physics, 1994, 99(A4): 6609-6635 doi: 10.1029/93JA03330
    [25] YANG Z W, LEMBÈGE B, LU Q M. Impact of the rippling of a perpendicular shock front on ion dynamics[J]. Journal of Geophysical Research: Space Physics, 2012, 117(A7): A07222 doi: 10.1029/2011JA017211
    [26] ARBER T D, BENNETT K, BRADY C S, et al. Contemporary particle-in-cell approach to laser-plasma modelling[J]. Plasma Physics and Controlled Fusion, 2015, 57(11): 113001 doi: 10.1088/0741-3335/57/11/113001
    [27] YANG Z W, LIU Y D, MATSUKIYO S, et al. PIC simulations of microinstabilities and waves at near-sun solar wind perpendicular shocks: predictions for parker solar probe and solar orbiter[J]. The Astrophysical Journal Letters, 2020, 900(2): L24 doi: 10.3847/2041-8213/abaf59
    [28] SUN T R, WANG C, SEMBAY S F, et al. Soft X-ray imaging of the magnetosheath and cusps under different solar wind conditions: MHD simulations[J]. Journal of Geophysical Research: Space Physics, 2019, 124(4): 2435-2450 doi: 10.1029/2018JA026093
    [29] CONNOR H K, SIBECK D G, COLLIER M R, et al. Soft X-ray and ENA imaging of the Earth’s dayside magnetosphere[J]. Journal of Geophysical Research: Space Physics, 2021, 126(3): e2020JA028816 doi: 10.1029/2020JA028816
    [30] HAO Y F, GAO X L, LU Q M, et al. Reformation of rippled quasi-parallel shocks: 2D hybrid simulations[J]. Journal of Geophysical Research: Space Physics, 2017, 122(6): 6385-6396 doi: 10.1002/2017JA024234
    [31] REN J Y, LU Q M, GUO J, et al. Two-dimensional hybrid simulations of high-speed jets downstream of quasi-parallel shocks[J]. Journal of Geophysical Research: Space Physics, 2023, 128(8): e2023JA031699 doi: 10.1029/2023JA031699
    [32] REN J Y, GUO J, LU Q M, et al. Honeycomb-like magnetosheath structure formed by jets: three-dimensional global hybrid simulations[J]. Geophysical Research Letters, 2024, 51(12): e2024GL109925 doi: 10.1029/2024GL109925
    [33] GUO A, LU Q M, LU S, et al. Properties of electron-scale magnetic reconnection at a quasi-perpendicular shock[J]. The Astrophysical Journal, 2023, 955(1): 14 doi: 10.3847/1538-4357/acec48
    [34] GUNELL H, HAMRIN M, NESBIT-ÖSTMAN S, et al. Magnetosheath jets at Mars[J]. Science Advances, 2023, 9(22): eadg5703 doi: 10.1126/sciadv.adg5703
  • 加载中
图(9)
计量
  • 文章访问数:  613
  • HTML全文浏览量:  360
  • PDF下载量:  89
  • 被引次数: 

    0(来源:Crossref)

    0(来源:其他)

出版历程
  • 收稿日期:  2024-10-12
  • 修回日期:  2024-10-29
  • 网络出版日期:  2024-11-13

目录

    /

    返回文章
    返回