留言板

尊敬的读者、作者、审稿人, 关于本刊的投稿、审稿、编辑和出版的任何问题, 您可以本页添加留言。我们将尽快给您答复。谢谢您的支持!

姓名
邮箱
手机号码
标题
留言内容
验证码

等离子体哨声波性质的实验研究

唐磊 张乔枫 陆全明 高新亮 柯阳光

唐磊, 张乔枫, 陆全明, 高新亮, 柯阳光. 等离子体哨声波性质的实验研究[J]. 空间科学学报, 2024, 44(6): 1006-1011. doi: 10.11728/cjss2024.06.2024-yg30
引用本文: 唐磊, 张乔枫, 陆全明, 高新亮, 柯阳光. 等离子体哨声波性质的实验研究[J]. 空间科学学报, 2024, 44(6): 1006-1011. doi: 10.11728/cjss2024.06.2024-yg30
TANG Lei, ZHANG Qiaofeng, LU Quanming, GAO Xinliang, KE Yangguang. Experimental Study on the Properties of Helicon Mode Whistler Waves (in Chinese). Chinese Journal of Space Science, 2024, 44(6): 1006-1011 doi: 10.11728/cjss2024.06.2024-yg30
Citation: TANG Lei, ZHANG Qiaofeng, LU Quanming, GAO Xinliang, KE Yangguang. Experimental Study on the Properties of Helicon Mode Whistler Waves (in Chinese). Chinese Journal of Space Science, 2024, 44(6): 1006-1011 doi: 10.11728/cjss2024.06.2024-yg30

等离子体哨声波性质的实验研究

doi: 10.11728/cjss2024.06.2024-yg30 cstr: 32142.14.cjss.2024-yg30
基金项目: 国家重点研发计划项目资助(2022YFA1604600)
详细信息
    作者简介:
    • 唐磊 男, 2001年11月出生于四川省达州市, 现为中国科学技术大学地球与空间科学学院硕士研究生, 主要研究方向为实验室等离子体中的哨声波现象. E-mail: tangl2018@mail.ustc.edu.cn
    通讯作者:
    • 张乔枫 男, 1989年8月出生于四川省成都市, 现为中国科学技术大学地球与空间科学学院实验师, 主要研究方向为等离子体激光诊断、基础等离子体实验、磁场重联实验、等离子体波动实验等. E-mail: cdzqf@ustc.edu.cn
  • 中图分类号: P354

Experimental Study on the Properties of Helicon Mode Whistler Waves

  • 摘要: 哨声波是地球内磁层中常见的一种等离子体波动, 其不仅可以加速电子到相对论能量, 还可散射电子沉降到大气层形成弥散极光. 哨声波是一支右旋偏振波, 在空间等离子体中其等相位面通常被认为是一个平面. 近年来, 地面等离子体实验正在成为研究哨声波激发和传播的一种重要手段. 本文在中国科学技术大学线性磁化等离子体装置(KLMP)上开展了磁环天线激发波动的实验, 并利用3D磁探针测量了波动磁场的演化信息. 测量结果发现, 磁环天线激发了一种等相位面为螺旋状的右旋偏振波动, 根据天线设置的不同, 螺旋波模数分别为m=0和m=1. 通过计算波动的波长和频率, 确定这种螺旋波满足哨声波的色散关系, 为进一步在等离子体实验装置中研究哨声波打下了基础.

     

  • 图  1  波动激发实验俯视效果 (a) 及等离子体密度剖面和天线位置(b)

    Figure  1.  Schematic diagram (top view) of the wave excitation experimental setup (a), and plasma density profile and antenna position (b)

    图  2  螺旋波磁场及xy平面内磁场测量结果. (a)~(c) m=0螺旋波, (d)~(f) m=1螺旋波, (a)(d)磁场, (b)(e) x方向磁场分量Bx随时间的变化, (c)(f) z方向磁场分量Bz随时间的变化

    Figure  2.  Magnetic field diagram of the helicon waves and the magnetic field measurement results in the xy plane. (a)~(c) m=0 helicon waves, and (d)~(f) m=1 helicon waves. (a) and (d) are the magnetic field diagram, (b) and (e) are the change of Bx with time, (c) and (f) are the change of Bz with time

    图  3  xy平面内螺旋波磁场矢量随时间的变化. (a) m=0实验测量结果, (b) m=1实验测量结果, (c) m=0理论模型, (d) m=1理论模型

    Figure  3.  Variation of magnetic field vector of helicon waves in xy plane with time. (a) m=0 experimental measurement results, (b) m=1 experimental measurement results, (c) m=0 theoretical model, (b) m=1 theoretical model

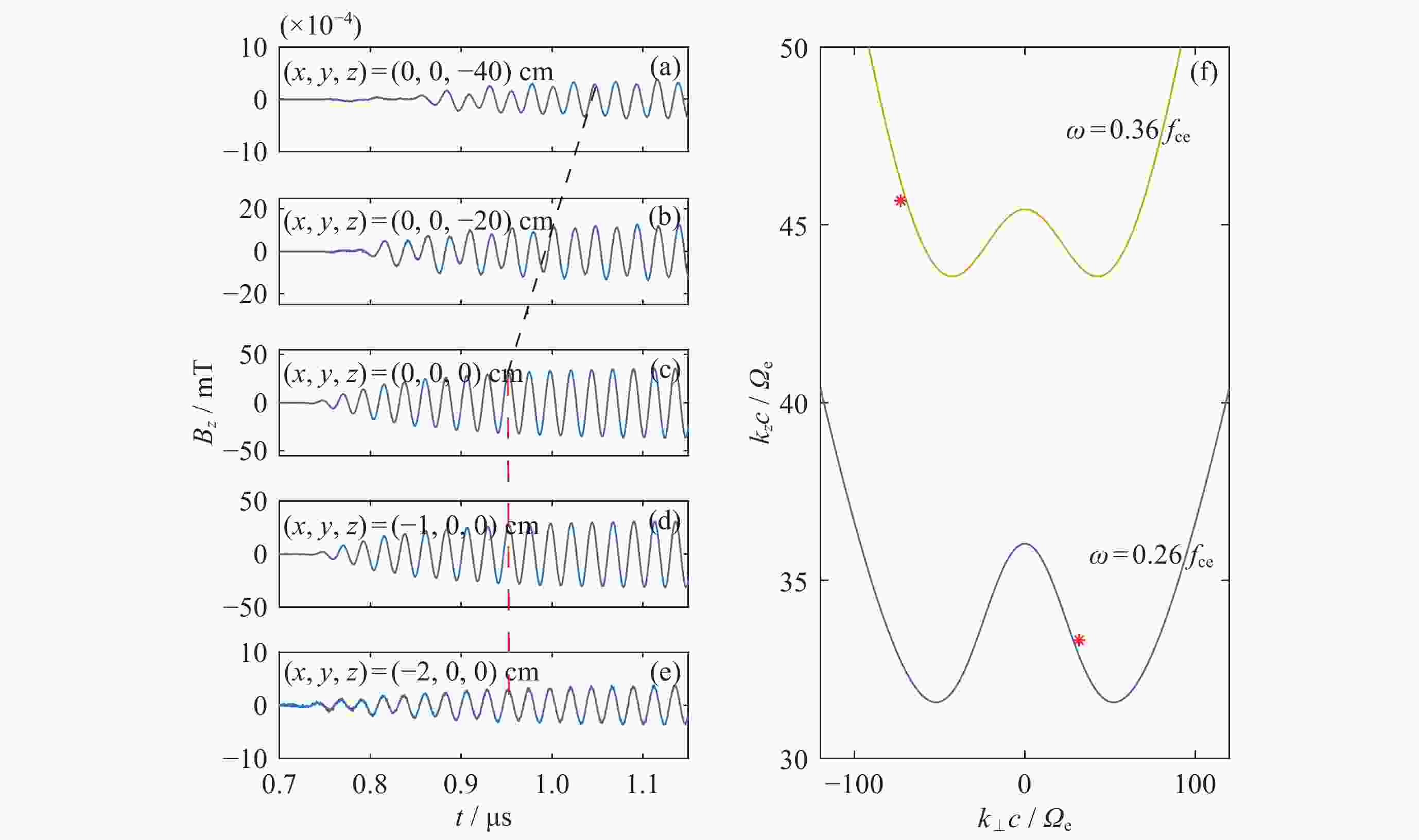
    图  4  (a)~(e)不同位置处波动磁场Bz的时序图, (f) 哨声波色散曲线与螺旋波实测数据点(红点)

    Figure  4.  (a)~(e) Timing diagram of the fluctuating magnetic field Bz at different positions, (f) whistler waves dispersion curve and experimental measurement data of helicon waves (red point)

  • [1] STENZEL R L. Whistler waves in space and laboratory plasmas[J]. Journal of Geophysical Research: Space Physics, 1999, 104(A7): 14379-14395 doi: 10.1029/1998JA900120
    [2] LI W, THORNE R M, BORTNIK J, et al. Typical properties of rising and falling tone chorus waves[J]. Geophysical Research Letters, 2011, 38(14): L14103
    [3] KHOTYAINTSEV Y V, CULLY C M, VAIVADS A, et al. Plasma jet braking: energy dissipation and nonadiabatic electrons[J]. Physical Review Letters, 2011, 106(16): 165001 doi: 10.1103/PhysRevLett.106.165001
    [4] ZHANG X, ANGELOPOULOS V, ARTEMYEV A V, et al. Whistler and electron firehose instability control of electron distributions in and around dipolarizing flux bundles[J]. Geophysical Research Letters, 2018, 45(18): 9380-9389 doi: 10.1029/2018GL079613
    [5] WILDER F D, ERGUN R E, GOODRICH K A, et al. Observations of whistler mode waves with nonlinear parallel electric fields near the dayside magnetic reconnection separatrix by the Magnetospheric Multiscale mission[J]. Geophysical Research Letters, 2016, 43(12): 5909-5917 doi: 10.1002/2016GL069473
    [6] CONTEL O L, RETINÒ A, BREUILLARD H, et al. Whistler mode waves and Hall fields detected by MMS during a dayside magnetopause crossing[J]. Geophysical Research Letters, 2016, 43(12): 5943-5952 doi: 10.1002/2016GL068968
    [7] WILSON III L B, SIBECK D G, BRENEMAN A W, et al. Quantified energy dissipation rates in the terrestrial bow shock: 1. Analysis techniques and methodology[J]. Journal of Geophysical Research: Space Physics, 2014, 119(8): 6455-6474 doi: 10.1002/2014JA019929
    [8] TONG Y G, VASKO I Y, ARTEMYEV A V, et al. Statistical study of whistler waves in the solar wind at 1 au[J]. The Astrophysical Journal, 2019, 878(1): 41 doi: 10.3847/1538-4357/ab1f05
    [9] BORTNIK J, CHEN L, LI W, et al. Modeling the evolution of chorus waves into plasmaspheric hiss[J]. Journal of Geophysical Research: Space Physics, 2011, 116(A8): A08221
    [10] LI W, THORNE R M, BORTNIK J, et al. Characteristics of hiss-like and discrete whistler-mode emissions[J]. Geophysical Research Letters, 2012, 39(18): L18106
    [11] MEREDITH N P, HORNE R B, GLAUERT S A, et al. Slot region electron loss timescales due to plasmaspheric hiss and lightning-generated whistlers[J]. Journal of Geophysical Research: Space Physics, 2007, 112(A8): A08214
    [12] SU Z P, XIAO F L, ZHENG H N, et al. STEERB: a three-dimensional code for storm-time evolution of electron radiation belt[J]. Journal of Geophysical Research: Space Physics, 2010, 115(A9): A09208
    [13] NI B B, BORTNIK J, THORNE R M, et al. Resonant scattering and resultant pitch angle evolution of relativistic electrons by plasmaspheric hiss[J]. Journal of Geophysical Research: Space Physics, 2013, 118(12): 7740-7751 doi: 10.1002/2013JA019260
    [14] LYONS L R, THORNE R M, KENNEL C F. Pitch-angle diffusion of radiation belt electrons within the plasmasphere[J]. Journal of Geophysical Research, 1972, 77(19): 3455-3474 doi: 10.1029/JA077i019p03455
    [15] ABEL B, THORNE R M. Electron scattering loss in Earth’s inner magnetosphere: 1. Dominant physical processes[J]. Journal of Geophysical Research: Space Physics, 1998, 103(A2): 2385-2396 doi: 10.1029/97JA02919
    [16] LAM M M, HORNE R B, MEREDITH N P, et al. Origin of energetic electron precipitation >30 keV into the atmosphere[J]. Journal of Geophysical Research: Space Physics, 2010, 115(A4): 2009JA014619 doi: 10.1029/2009JA014619
    [17] THORNE R M, NI B B, TAO X, et al. Scattering by chorus waves as the dominant cause of diffuse auroral precipitation[J]. Nature, 2010, 467(7318): 943-946 doi: 10.1038/nature09467
    [18] KASAHARA S, MIYOSHI Y, YOKOTA S, et al. Pulsating aurora from electron scattering by chorus waves[J]. Nature, 2018, 554(7692): 337-340 doi: 10.1038/nature25505
    [19] URRUTIA J M, STENZEL R L. Helicons in uniform fields. I. Wave diagnostics with hodograms[J]. Physics of Plasmas, 2018, 25(3): 032111 doi: 10.1063/1.5017625
    [20] STENZEL R L. Whistler waves with angular momentum in space and laboratory plasmas and their counterparts in free space[J]. Advances in Physics: X, 2016, 1(4): 687-710 doi: 10.1080/23746149.2016.1240017
    [21] CHEN F F. Helicon discharges and sources: a review[J]. Plasma Sources Science and Technology, 2015, 24(1): 014001 doi: 10.1088/0963-0252/24/1/014001
    [22] STENZEL R L, URRUTIA J M. Helicons in Unbounded Plasmas[J]. Physical Review Letters, 2015, 114(20): 205005 doi: 10.1103/PhysRevLett.114.205005
    [23] KLOZENBERG J P, MCNAMARA B, THONEMANN P C. The dispersion and attenuation of helicon waves in a uniform cylindrical plasma[J]. Journal of Fluid Mechanics, 1965, 21(3): 545-563 doi: 10.1017/S0022112065000320
    [24] STENZEL R L, URRUTIA J M. Comparison of electric dipole and magnetic loop antennas for exciting whistler modes[J]. Physics of Plasmas, 2016, 23(8): 082120 doi: 10.1063/1.4960666
    [25] STENZEL R L. Whistler modes excited by magnetic antennas: a review[J]. Physics of Plasmas, 2019, 26(8): 080501 doi: 10.1063/1.5097852
    [26] KE Y G, CHEN L J, GAO X L, et al. Whistler-mode waves trapped by density irregularities in the Earth’s magnetosphere[J]. Geophysical Research Letters, 2021, 48(7): e2020GL092305 doi: 10.1029/2020GL092305
    [27] CHEN R, GAO X L, LU Q M, et al. In situ observations of whistler-mode chorus waves guided by density ducts[J]. Journal of Geophysical Research: Space Physics, 2021, 126(4): e2020JA028814 doi: 10.1029/2020JA028814
  • 加载中
图(4)
计量
  • 文章访问数:  711
  • HTML全文浏览量:  251
  • PDF下载量:  76
  • 被引次数: 

    0(来源:Crossref)

    0(来源:其他)

出版历程
  • 收稿日期:  2024-10-27
  • 修回日期:  2024-11-07
  • 网络出版日期:  2024-11-15

目录

    /

    返回文章
    返回