留言板

尊敬的读者、作者、审稿人, 关于本刊的投稿、审稿、编辑和出版的任何问题, 您可以本页添加留言。我们将尽快给您答复。谢谢您的支持!

姓名
邮箱
手机号码
标题
留言内容
验证码

面向空间引力波探测检验质量捕获的弹性管模型预测控制

贺雄峰 卢苇 许诺 王鹏程 张永合 崔冰 夏元清

贺雄峰, 卢苇, 许诺, 王鹏程, 张永合, 崔冰, 夏元清. 面向空间引力波探测检验质量捕获的弹性管模型预测控制[J]. 空间科学学报, 2025, 45(1): 189-200. doi: 10.11728/cjss2025.01.2024-0009
引用本文: 贺雄峰, 卢苇, 许诺, 王鹏程, 张永合, 崔冰, 夏元清. 面向空间引力波探测检验质量捕获的弹性管模型预测控制[J]. 空间科学学报, 2025, 45(1): 189-200. doi: 10.11728/cjss2025.01.2024-0009
HE Xiongfeng, LU Wei, XU Nuo, WANG Pengcheng, ZHANG Yonghe, CUI Bing, XIA Yuanqing. Elastic Tube Model Predictive Control for Test Mass Capture for Space-borne Gravitational Wave Detection (in Chinese). Chinese Journal of Space Science, 2025, 45(1): 189-200 doi: 10.11728/cjss2025.01.2024-0009
Citation: HE Xiongfeng, LU Wei, XU Nuo, WANG Pengcheng, ZHANG Yonghe, CUI Bing, XIA Yuanqing. Elastic Tube Model Predictive Control for Test Mass Capture for Space-borne Gravitational Wave Detection (in Chinese). Chinese Journal of Space Science, 2025, 45(1): 189-200 doi: 10.11728/cjss2025.01.2024-0009

面向空间引力波探测检验质量捕获的弹性管模型预测控制

doi: 10.11728/cjss2025.01.2024-0009 cstr: 32142.14.cjss.2024-0009
基金项目: 国家重点研发计划项目资助(2021YFC2202600, 2021YFC2202602)
详细信息
    作者简介:
    • 贺雄峰 男, 1999年9月出生于贵州省, 在同济大学电子与信息工程学院获得学士学位, 在中国科学院微小卫星创新研究院攻读硕士学位, 主要研究方向为基于模型预测控制的无拖曳控制方法研究. E-mail: hexiongfeng@mail.ustc.edu.cn
    通讯作者:
    • 张永合 男, 1977年出生于山东省, 博士毕业于中国科学院大学, 主要从事航天器导航、制导与控制、时频多体动力学等方向研究, 特别是在航天器系统设计与仿真、引力波探测无拖曳编队控制等领域进行了深入的研究. E-mail: zhangyh@microsate.com
  • 中图分类号: V448.22

Elastic Tube Model Predictive Control for Test Mass Capture for Space-borne Gravitational Wave Detection

  • 摘要: 在空间引力波探测任务中, 检验质量稳定捕获是航天器进入超稳飞行状态的关键步骤. 该过程存在初始误差大、系统不确定性大、执行约束强等特点. 提出了一种基于弹性管模型预测控制的检验质量捕获控制方法, 基于滚动优化和弹性管道技术的控制结构, 提高捕获成功率, 并且充分补偿卫星对检验质量的耦合干扰; 利用小容差有效集法, 提高在线计算的求解精度, 确保检验质量的高控制精度; 同时基于特征工程方法的最小鲁棒正不变集离线修正方法, 减少基于Minkowski求和得到的最小鲁棒正不变集顶点数, 降低了在线计算复杂度. 利用该方法在航天器–双检验质量全自由度仿真平台上进行仿真验证, 结果表明控制效果满足检验质量捕获精度要求, 控制器具有鲁棒性且有效提高了收敛速度, 抑制了平台运动干扰和量测噪声的影响.

     

  • 图  1  检验质量释放过程

    Figure  1.  Test mass release phase

    图  2  坐标系定义

    Figure  2.  Definition of coordinate system

    图  3  无拖曳控制系统工作原理

    Figure  3.  Diagram of the drag-free control system principle

    图  4  弹性管道原理

    Figure  4.  Diagram of the elastic tube

    图  5  检验质量捕获控制结构

    Figure  5.  Test mass capture control diagram

    图  6  不同容差$ \varepsilon $和$ \epsilon $下检验质量捕获量测信号的对比

    Figure  6.  Comparison of test mass capture measurement signals with different tolerances $ \varepsilon $ and $ \epsilon $

    图  7  不同容差$ \varepsilon $和$ \epsilon $下检验质量捕获控制信号的对比

    Figure  7.  Comparison of test mass capture control signals with different tolerances $ \varepsilon $ and $ \epsilon $

    图  8  最小鲁棒正不变集修正

    Figure  8.  Correction of minimum robust positive invariant set

    图  10  MPC控制力

    Figure  10.  MPC control force

    图  11  MPC角位移

    Figure  11.  MPC angle displacement

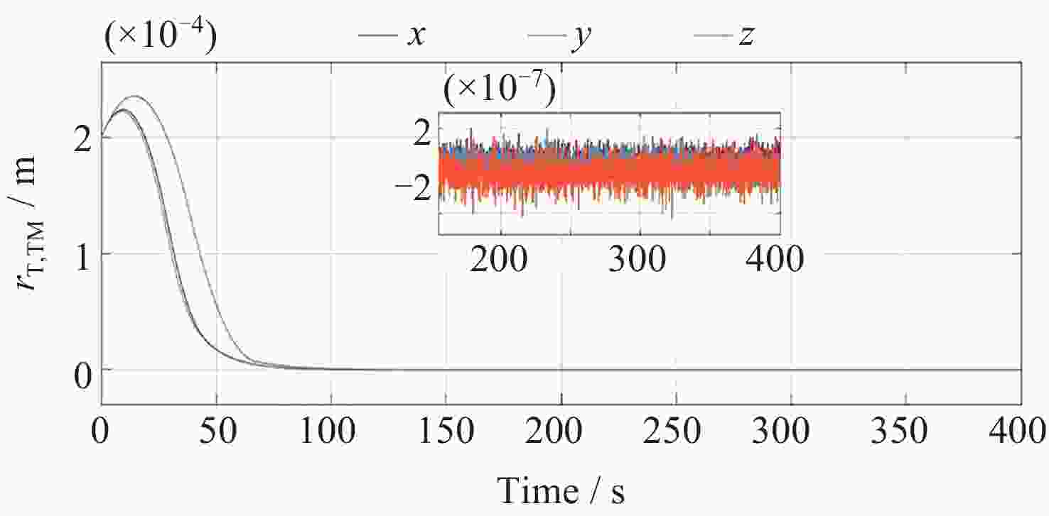
    图  9  MPC线位移

    Figure  9.  MPC linear displacement

    图  12  MPC控制力矩

    Figure  12.  MPC control torque

    图  14  SMC控制力

    Figure  14.  SMC control force

    图  15  SMC角位移

    Figure  15.  SMC angle displacement

    图  13  SMC线位移

    Figure  13.  SMC linear displacement

    图  16  SMC控制力矩

    Figure  16.  SMC control torque

    图  18  ETMPC控制力

    Figure  18.  ETMPC control force

    图  19  ETMPC角位移

    Figure  19.  ETMPC angle displacement

    图  17  ETMPC线位移

    Figure  17.  ETMPC linear displacement

    图  20  ETMPC控制力矩

    Figure  20.  ETMPC control torque

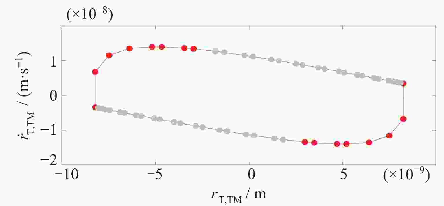
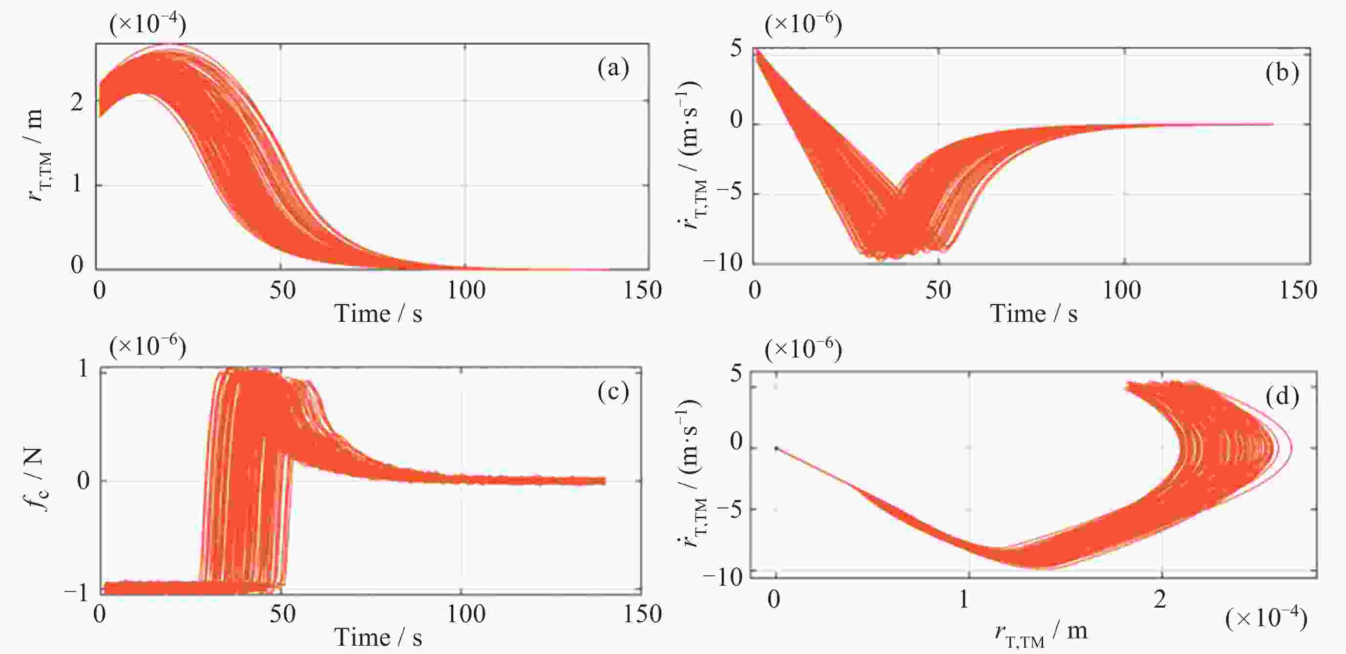
    图  21  检验质量相对位移鲁棒性验证

    Figure  21.  Test mass robustness verification of relative displacement

    表  1  优化问题简化前后空间复杂度对比

    Table  1.   Comparison of spatial complexity before and after simplification of optimization problems

    简化前维度 简化后维度
    $ {e}_{N} $ 59$ N $+58=3008 19$ N $+18=968
    $ {Q}_{{t}} $ (59$ N $+58)$ \times $(59$ N $+58)=
    3008$ \times $3008
    (19$ N $+18)$ \times $(19$ N $+18)=
    968$ \times $968
    $ {P}_{{t}} $ 59$ N $+58=3008 19$ N $+18=968
    $ {A}_{{i}} $ (118$ N $+118)$ \times $(59$ N $+58)=
    6018$ \times $3008
    (38$ N $+38)$ \times $(19$ N $+18)=
    1938$ \times $968
    下载: 导出CSV

    表  2  检验质量释放初始状态和控制误差要求

    Table  2.   Test mass release initial states and control error requirements

    检验质量状态 初始状态 控制误差
    线位移 $ \pm 200$ μm $ < 25 $ μm
    线速度 $ \pm 5\times {10}^{-6} $ m·s–1 $ < 1\times {10}^{-6} $ m·s–1
    角位移 $ \pm 2\;\mathrm{m}\mathrm{r}\mathrm{a}\mathrm{d} $ $ < 100 $ μrad
    角速度 $ \pm 1\times {10}^{-4} $ rad·s–1 $ < 1\times {10}^{-5} $ rad·s–1
    下载: 导出CSV

    表  3  随机噪声幅值

    Table  3.   Random noise amplitudes

    自由度 执行器噪声幅值 量测噪声幅值
    x $ < 4.35\times {10}^{-14}\; \mathrm{N} $ $ < 2.24\times {10}^{-7}\; \mathrm{m} $
    y $ < 4.41\times {10}^{-13}\; \mathrm{N} $ $ < 2.38\times {10}^{-7}\; \mathrm{m} $
    z $ < 4.68\times {10}^{-13}\; \mathrm{N} $ $ < 3.82\times {10}^{-7}\; \mathrm{m} $
    $ \varphi $ $ < 4.11\times {10}^{-15}\; \mathrm{N}·\mathrm{m} $ $ < 2.45\times {10}^{-5}\; \mathrm{r}\mathrm{a}\mathrm{d} $
    $ \theta $ $ < 4.43\times {10}^{-15}\; \mathrm{N}·\mathrm{m} $ $ < 1.59\times {10}^{-5}\; \mathrm{r}\mathrm{a}\mathrm{d} $
    $ \psi $ $ < 4.38\times {10}^{-15}\; \mathrm{N}·\mathrm{m} $ $ < 2.50\times {10}^{-5}\; \mathrm{r}\mathrm{a}\mathrm{d} $
    下载: 导出CSV

    表  4  执行器饱和

    Table  4.   Actuator saturation constraints

    自由度控制力饱和/N自由度控制力矩饱和/(N·m)
    $ {f}_{x} $$ 1.019\times {10}^{-6} $$ {T}_{\mathrm{r}\mathrm{o}\mathrm{l}\mathrm{l}} $1.1$ 00\times {10}^{-8} $
    $ {f}_{y} $$ 1.078\times {10}^{-6} $$ {T}_{\mathrm{p}\mathrm{i}\mathrm{t}\mathrm{c}\mathrm{h}} $1.66$ 0\times {10}^{-8} $
    $ {f}_{z} $$ 6.076\times {10}^{-7} $$ {T}_{\mathrm{y}\mathrm{a}\mathrm{w}} $$ 8.990\times {10}^{-9} $
    下载: 导出CSV

    表  5  MPC算法控制器参数

    Table  5.   MPC algorithm controller parameters

    x y z $ \varphi $ $ \theta $ $ \psi $
    位移 1 1 1 1 1 1
    速度 5 5 10 10 5 10
    控制 10 10 10 10 10 10
    下载: 导出CSV

    表  6  ETMPC位移权重

    Table  6.   ETMPC displacement weight

    x y z
    $ {\boldsymbol{Q}}_{z} $ $ \left[\begin{array}{cc}1& 0\\ 0& 100\end{array}\right] $ $ \left[\begin{array}{cc}1& 0\\ 0& 90\end{array}\right] $ $ \left[\begin{array}{cc}1& 0\\ 0& 230\end{array}\right] $
    $ {Q}_{v} $ 30 30 30
    下载: 导出CSV

    表  7  ETMPC姿态权重

    Table  7.   ETMPC pose weight

    $ \varphi $ $ \theta $ $ \psi $
    $ {\boldsymbol{Q}}_{z} $ $ \left[\begin{array}{cc}1& 0\\ 0& 30\end{array}\right] $ $ \left[\begin{array}{cc}1& 0\\ 0& 20\end{array}\right] $ $ \left[\begin{array}{cc}1& 0\\ 0& 400\end{array}\right] $
    $ {Q}_{v} $ 30 30 30
    下载: 导出CSV

    表  8  平均调节时间对比

    Table  8.   Average adjustment time comparison

    算法平均调节时间$ {t}_{\mathrm{s}} $/s
    位置SMC77.8
    MPC65.3
    ETMPC51.5
    姿态SMC72.3
    MPC68.3
    ETMPC29.8
    下载: 导出CSV

    表  9  仿真参数变化范围

    Table  9.   Variation range of simulation parameters

    参数 取值范围
    刚度系数/$ {\mathrm{s}}^{-2} $ [$ 5\times {10}^{-5},\;5\times {10}^{-4} $]
    初始位置/$ \mathrm{m} $ [$ 1.8\times {10}^{-4},\;2.2\times {10}^{-4} $]
    初始线速度/($ \mathrm{m}\cdot {\mathrm{s}}^{-1} $) [$ 4.5\times {10}^{-6},\;5.5\times {10}^{-6} $]
    下载: 导出CSV
  • [1] SCHLEICHER A, ZIEGLER T, SCHUBERT R, et al. In-orbit performance of the LISA Pathfinder drag-free and attitude control system[J]. CEAS Space Journal, 2018, 10(4): 471-485 doi: 10.1007/s12567-018-0204-x
    [2] 罗子人, 张敏, 靳刚, 等. 中国空间引力波探测“太极计划”及“太极1号”在轨测试[J]. 深空探测学报, 2020, 7(1): 3-10

    LUO Ziren, ZHANG Min, JIN Gang, et al. Introduction of Chinese space-borne gravitational wave detection program “Taiji” and “Taiji-1” satellite mission[J]. Journal of Deep Space Exploration, 2020, 7(1): 3-10
    [3] 罗俊, 艾凌皓, 艾艳丽, 等. 天琴计划简介[J]. 中山大学学报(自然科学版), 2021, 60(1/2): 1-19

    LUO Jun, AI Linghao, AI Yanli, et al. A brief introduction to the TianQin project[J]. Acta Scientiarum Naturalium Universitatis Sunyatseni, 2021, 60(1/2): 1-19
    [4] 李洪银, 叶小容, 刘佳恒, 等. 天琴无拖曳控制研究的关键问题[J]. 中山大学学报(自然科学版), 2021, 60(1/2): 213-224

    LI Hongyin, YE Xiaorong, LIU Jiaheng, et al. Key issues in the research on drag-free control for TianQin[J]. Acta Scientiarum Naturalium Universitatis Sunyatseni, 2021, 60(1/2): 213-224
    [5] LIAN X B, ZHANG J X, YANG J K, et al. The determination for ideal release point of test masses in drag-free satellites for the detection of gravitational waves[J]. Advances in Space Research, 2021, 67(2): 824-833 doi: 10.1016/j.asr.2020.09.030
    [6] LIAN X B, ZHANG J X, CHANG L T, et al. Test mass capture for drag-free satellite based on RBF neural network adaptive sliding mode control[J]. Advances in Space Research, 2022, 69(2): 1205-1219 doi: 10.1016/j.asr.2021.10.009
    [7] VIDANO S, NOVARA C, PAGONE M, et al. The LISA DFACS: model predictive control design for the test mass release phase[J]. Acta Astronautica, 2022, 193: 731-743 doi: 10.1016/j.actaastro.2021.12.056
    [8] LIU Y X, LI Y, WANG P C, et al. Constrained nonlinear high-efficiency model predictive technics for test mass capture[J]. Advances in Space Research, 2023, 72(2): 180-199 doi: 10.1016/j.asr.2023.02.046
    [9] TSAI Y K, MALAK R J. Robust control co-design using tube-based model predictive control[C]//2023 American Control Conference (ACC). San Diego: IEEE, 2023: 769-775
    [10] 邹恒光, 宋继良, 王军政, 等. 卫星编队的管道模型预测控制方法研究[J]. 北京理工大学学报, 2021, 41(2): 201-206

    ZOU Hengguang, SONG Jiliang, WANG Junzheng, et al. Satellite formation control strategy with Tube-based MPC[J]. Transactions of Beijing Institute of Technology, 2021, 41(2): 201-206
    [11] 管萍, 吴希岩, 戈新生. 基于Tube的挠性航天器模型预测姿态控制及主动振动控制[J]. 振动与冲击, 2022, 41(16): 261-270

    GUAN Ping, WU Xiyan, GE Xinsheng. Tube-based model predictive attitude control and active vibration control for flexible spacecraft[J]. Journal of Vibration and Shock, 2022, 41(16): 261-270
    [12] RAKOVIĆ S V, LEVINE W S, AÇIKMESE B. Elastic tube model predictive control[C]//2016 American Control Conference (ACC). Boston: IEEE, 2016: 3594-3599
    [13] RAKOVIC S V, KERRIGAN E C, KOURAMAS K I, et al. Invariant approximations of the minimal robust positively invariant set[J]. IEEE Transactions on Automatic Control, 2005, 50(3): 406-410 doi: 10.1109/TAC.2005.843854
    [14] VIDANO S, NOVARA C, COLANGELO L, et al. The LISA DFACS: A nonlinear model for the spacecraft dynamics[J]. Aerospace Science and Technology, 2020, 107: 106313 doi: 10.1016/j.ast.2020.106313
    [15] BASILE F. Modeling and Design for the Attitude Control Phase of the LISA Drag-free Mission[D]. Torino: Politecnico di Torino, 2019
    [16] Multi-Parametric Toolbox 3[DB/MT]. (2019-02-02)[2024-01-08]. https://www.mpt3.org/
    [17] TROBBIANI L. Alternative Control Strategy for Test Mass Release of Spaceborne Inertial Sensors[D]. Pisa: Università di Pisa, 2014
  • 加载中
图(21) / 表(9)
计量
  • 文章访问数:  740
  • HTML全文浏览量:  575
  • PDF下载量:  84
  • 被引次数: 

    0(来源:Crossref)

    0(来源:其他)

出版历程
  • 收稿日期:  2024-01-10
  • 修回日期:  2024-12-09
  • 网络出版日期:  2024-05-08

目录

    /

    返回文章
    返回