留言板

尊敬的读者、作者、审稿人, 关于本刊的投稿、审稿、编辑和出版的任何问题, 您可以本页添加留言。我们将尽快给您答复。谢谢您的支持!

姓名
邮箱
手机号码
标题
留言内容
验证码

利用深度学习实现Dst指数短期业务预报

牛犇 黄智

牛犇, 黄智. 利用深度学习实现Dst指数短期业务预报[J]. 空间科学学报, 2025, 45(1): 91-101. doi: 10.11728/cjss2025.01.2024-0034
引用本文: 牛犇, 黄智. 利用深度学习实现Dst指数短期业务预报[J]. 空间科学学报, 2025, 45(1): 91-101. doi: 10.11728/cjss2025.01.2024-0034
NIU Ben, HUANG Zhi. Using Deep Learning to Achieve Short Term Business Forecast of Dst Index (in Chinese). Chinese Journal of Space Science, 2025, 45(1): 91-101 doi: 10.11728/cjss2025.01.2024-0034
Citation: NIU Ben, HUANG Zhi. Using Deep Learning to Achieve Short Term Business Forecast of Dst Index (in Chinese). Chinese Journal of Space Science, 2025, 45(1): 91-101 doi: 10.11728/cjss2025.01.2024-0034

利用深度学习实现Dst指数短期业务预报

doi: 10.11728/cjss2025.01.2024-0034 cstr: 32142.14.cjss.2024-0034
基金项目: 国家自然科学基金项目(41104096)和徐州科技计划项目(KC21159)共同资助
详细信息
    作者简介:
    • 牛犇 男, 1999年8月出生于河南省漯河市, 现就读于江苏师范大学物理与电子工程学院电子信息专业, 主要研究方向为磁暴Dst指数的预测及异常检测. E-mail: m15939543950@163.com
    通讯作者:
    • 黄智 女, 1973年7月出生于辽宁省抚顺市, 现为江苏师范大学物理与电子工程学院教授, 硕士生导师, 主要研究方向为电离层折射误差修正、空间环境现报与预报等. E-mail: huangz@jsnu.edu.cn
  • 中图分类号: P352

Using Deep Learning to Achieve Short Term Business Forecast of Dst Index

  • 摘要: 由太阳活动引发的磁暴事件会导致地球磁场产生剧烈变化, 进而影响通信、导航、电力等工程应用系统的服务性能. 在空间物理领域通常利用Dst指数表征磁暴强度的变化, 本文提出一种基于卷积神经网络(CNN)、门控循环单元(GRU)和长短时记忆网络(LSTM)的磁暴预测模型(C-G-LSTM), 能够提前1~6 h预测Dst指数. 进一步利用美国航空航天局(National Aeronautics and Space Administration, NASA)提供的2010-2019年Dst指数评估混合深度学习预测模型的性能. 结果显示最大均方根误差不超过7.29 nT; 最大平均绝对误差不超过5.03 nT, 磁暴期间误差有所增大. 与已有研究结果相比, 本文所提出的模型具有较高精度, 且无须提供太阳风温度、太阳风动压以及行星际磁场分量等输入参数, 适用于业务预报.

     

  • 图  1  基于卷积神经网络、GRU和LSTM的Dst指数预报模型

    Figure  1.  Dst index prediction model based on convolutional neural network, Gated Recurrent Unit (GRU) and LSTM

    图  2  2015年12月至2016年12月与2018年1~6 h预测值与真实值差值的统计分布

    Figure  2.  Statistical distribution of the difference between predicted and actual values of 1~6 h forecasts from December 2015 to December 2016 and in 2018

    图  3  2015年12月至2016年12月和2018年提前1~6 h预测的RMSE和MAE值

    Figure  3.  RMSE and MAE values predicted of 1~6 h forecasts from December 2015 to December 2016 and in 2018

    图  4  2015年12月至2016年12月和2018年1~6 h预测值与真实值相关系数分析结果

    Figure  4.  Analysis results of correlation coefficient between predicted value and true value of 1~6 h forecasts from December 2015 to December 2016 and in 2018

    图  5  大磁暴1~6 h Dst指数预测值与真实值对比

    Figure  5.  Comparison of the predicted Dst index of 1~6 h forecasts for large magnetic storms

    图  6  大磁暴1~6 h Dst指数预测值与真实值对比

    Figure  6.  Comparison of the predicted Dst index of 1~6 h forecasts for large magnetic storms

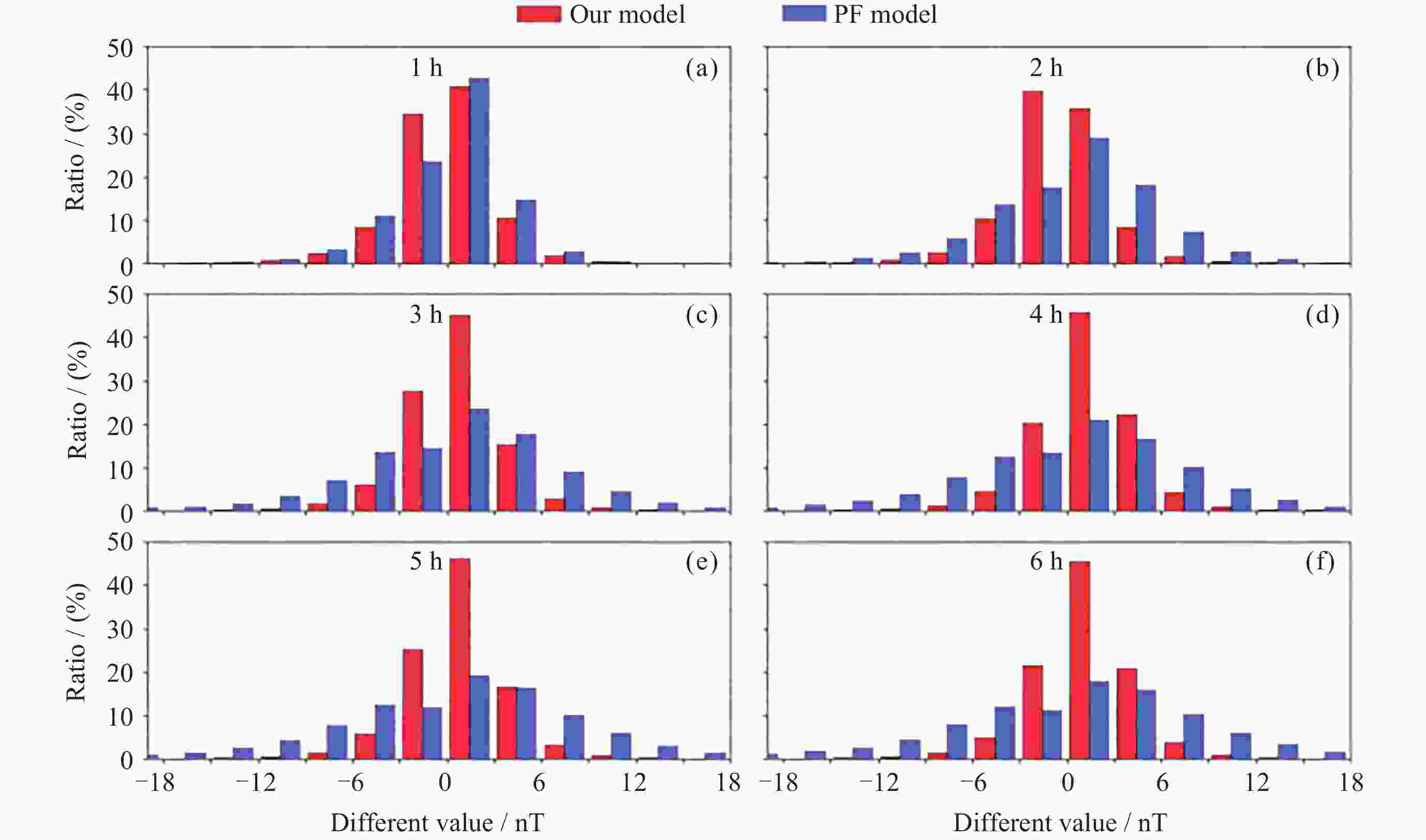
    图  7  地磁平静期本文模型与持续预报模型1~6 h差值统计分布对比

    Figure  7.  Comparison of the statistical distribution of 1~6 h forecasts differences between our model and the persistence forecasting model during geomagnetic quiet periods

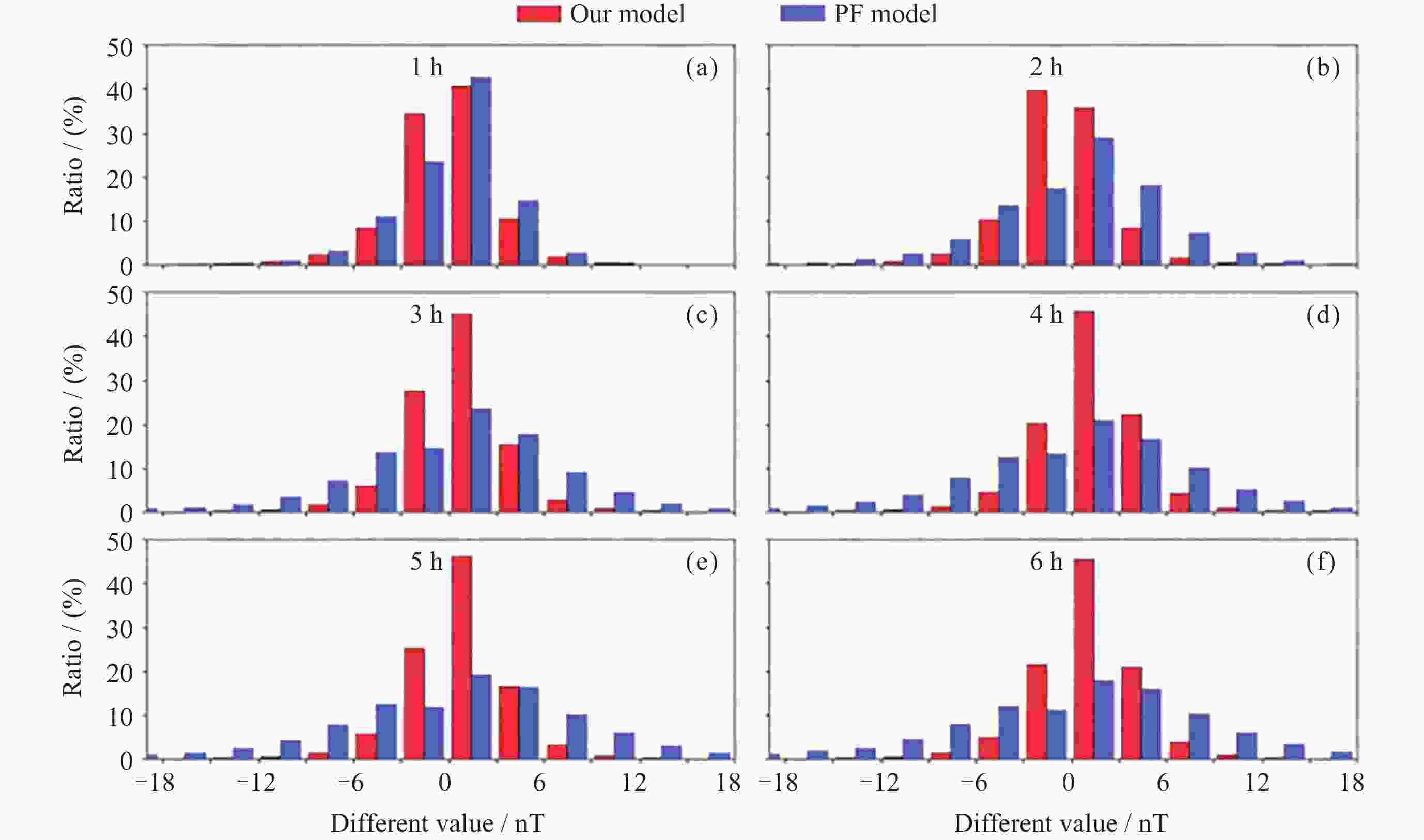
    图  8  磁暴期本文模型与持续预报模型1~6 h差值统计分布对比

    Figure  8.  Comparison of the statistical distribution of 1~6 h differences between our model and the persistence forecasting model during storm periods

    图  9  本文模型与持续预报模型平静期与磁暴期均方根误差值

    Figure  9.  RMSE of our model and persistence forecasting model during quiet periods and storm periods

    表  1  混合神经网络模型与消融分析预测RMSE与MAE对比结果

    Table  1.   Comparison of the RMSE and MAE between the mixed neural network model and ablation analysis

    Model RMSE/MAE /nT
    1 h 2 h 3 h 4 h 5 h 6 h
    C-G-LSTM 3.40/2.32 4.64/3.08 5.61/3.79 6.34/4.30 6.75/4.48 7.44/5.09
    G-LSTM 5.74/4.15 6.17/4.24 6.96/4.76 7.60/5.41 8.25/6.00 7.90/5.31
    C-LSTM 3.80/2.82 4.95/3.62 5.81/3.96 6.24/4.28 7.35/5.21 7.71/5.46
    下载: 导出CSV

    表  2  混合神经网络模型与Transformer模型均方根误差 (单位 nT) 对比结果

    Table  2.   Comparison of RMSE (unit: nT) between the mixed neural network model and Transformer model

    Model Advance forecast time
    1 h 2 h 3 h 4 h 5 h 6 h
    C-G-LSTM 3.34 4.55 5.50 6.21 6.61 7.29
    Transformer 3.74 5.47 6.88 7.88 8.58 9.18
    下载: 导出CSV

    表  3  ANN模型与本文模型磁暴期间RMSE和MAE对比结果

    Table  3.   Comparison of RMSE and MAE between ANN model and our model during magnetic storms

    Storm time RMSE/MAE/nT
    C-G-LSTM Model
    RMSE/MAE/nT
    ANN Model
    2 h 6 h 2 h 6 h
    20-23 Jan. 2016 8.06/5.82 14.32/9.33 9.86/8.05 11.16/9.26
    6-10 Mar. 2016 8.10/4.86 16.20/9.21 13.91/11.45 13.60/11.69
    7-13 May 2016 7.16/4.31 10.94/6.73 7.53/5.40 8.78/6.09
    22-26 Aug. 2016 6.34/4.05 10.40/6.68 8.01/6.94 7.78/6.53
    12-17 Oct. 2016 7.03/4.68 13.01/8.50 12.79/8.31 10.61/7.19
    下载: 导出CSV

    表  4  混合神经网络模型与贝叶斯机器学习模型磁暴期间均方根误差 (单位 nT)对比结果

    Table  4.   Comparison of RMSE (unit: nT) between the mixed neural network model and Bayesian machine learning model

    Model 18–19 February 2014 8–10 June
    2015
    C-G-LSTM 4.23 10.86
    Bayesian machine learning model 35.45 35.11
    下载: 导出CSV

    表  5  本文模型与持续预报模型在平静期与磁暴期显著性水平对比结果

    Table  5.   Comparison results of significance levels between our model and the persistence forecasting model during quiet periods and storm periods

    Time P-value
    1 h 2 h 3 h 4 h 5 h 6 h
    Quiet Period 1.15×10–17 6.02×10–12 2.00×10–54 6.92×10–141 8.31×10–50 2.37×10–82
    Storm Period 5.98×10–7 5.66×10–15 2.07×10–8 5.86×10–14 2.33×10–4 1.95×10–31
    下载: 导出CSV
  • [1] ZHU Yuncong. Research on the Correlation between Ionospheric TEC and Solar Activity Parameters[D]. Zibo: Shandong University of Technology, 2022. DOI: 10.27276/d.cnki.gsdgc.2022.000667
    [2] BURTON R K, MCPHERRON R L, RUSSELL C T. An empirical relationship between interplanetary conditions and Dst[J]. Journal of Geophysical Research, 1975, 80(31): 4204-4214 doi: 10.1029/ja080i031p04204
    [3] TEMERIN M, LI X L. A new model for the prediction of Dst on the basis of the solar wind[J]. Journal of Geophysical Research: Space Physics, 2002, 107 (A12): SMP 31-1-SMP 31-8. DOI: 10.1029/2001JA007532
    [4] NURAENI F, RUHIMAT M, ARIS M A, et al. Development of 24 hours Dst index prediction from solar wind data and IMF B z using NARX[J]. Journal of Physics: Conference Series, 2022, 2214(1): 012024 doi: 10.1088/1742-6596/2214/1/012024
    [5] 李淑慧, 彭军还, 徐伟超, 等. 利用神经网络预报短期电离层TEC变化[J]. 测绘科学, 2013, 38(1): 8-9,12

    LI Shuhui, PENG JunHuan, XU Weichao, et al. Short-term ionospheric TEC change prediction by neural network[J]. Science of Surveying and Mapping, 2013, 38(1): 8-9,12
    [6] LETHY A, EL-ERAKI M A, SAMY A, et al. Prediction of the Dst index and analysis of its dependence on solar wind parameters using neural network[J]. Space Weather, 2018, 16(9): 1277-1290 doi: 10.1029/2018SW001863
    [7] XU W W, ZHU Y M, ZHU L, et al. A class of Bayesian machine learning model for forecasting Dst during intense geomagnetic storms[J]. Advances in Space Research, 2023, 72(9): 3882-3889 doi: 10.1016/j.asr.2023.07.009
    [8] 杨旭, 朱亚光, 杨升高, 等. LSTM神经网络在太阳F10.7射电流量中期预报中的应用[J]. 空间科学学报, 2020, 40(2): 176-185 doi: 10.11728/cjss2020.02.176

    YANG Xu, ZHU Yaguang, YANG Shenggao, et al. Application of LSTM neural network in F10.7 solar radio flux mid-term forecast[J]. Chinese Journal of Space Science, 2020, 40(2): 176-185 doi: 10.11728/cjss2020.02.176
    [9] ZHANG J Y, FENG Y, ZHANG J X, et al. The short time prediction of the Dst index based on the long-short time memory and empirical mode decomposition–long-short time memory models[J]. Applied Sciences, 2023, 13(21): 11824 doi: 10.3390/app132111824
    [10] GRUET M A, CHANDORKAR M, SICARD A, et al. Multiple-hour-ahead forecast of the Dst index using a combination of long short-term memory neural network and Gaussian process[J]. Space Weather, 2018, 16(11): 1882-1896 doi: 10.1029/2018SW001898
    [11] LIU H J, LEI D X, YUAN J, et al. Ionospheric TEC prediction in China based on the multiple-attention LSTM model[J]. Atmosphere, 2022, 13(11): 1939 doi: 10.3390/atmos13111939
    [12] ŞENTÜRK E, SAQIB M, ADIL M A. A Multi-Network based Hybrid LSTM model for ionospheric anomaly detection: A case study of the Mw 7.8 Nepal earthquake[J]. Advances in Space Research, 2022, 70(2): 440-455 doi: 10.1016/j.asr.2022.04.057
    [13] 杨旭, 崔瑞飞, 田超, 等. 基于线性样条和CNN-LSTM的北斗卫星缺失数据处理方法[J]. 空间科学学报, 2022, 42(1): 163-169 doi: 10.11728/cjss2022.01.201116100

    YANG Xu, CUI Ruifei, TIAN Chao, et al. Linear spline and CNN-LSTM for missing values imputation of Beidou satellite radiation dose data[J]. Chinese Journal of Space Science, 2022, 42(1): 163-169 doi: 10.11728/cjss2022.01.201116100
    [14] ABDUALLAH Y, WANG J T L, BOSE P, et al. Forecasting the disturbance storm time index with Bayesian deep learning[C]//The International FLAIRS Conference Proceedings. Florida, USA, 2022, 35
    [15] LI Leilei. Deep Learning Modeling Research on the Relationship between Solar Wind and Geomagnetic Storms and Earthquakes[D]. Dalian: Dalian University of Technology, 2022. DOI: 10.26991/d.cnki.gdllu.2022.001958
    [16] BEJ A, BANERJEE A, CHATTERJEE T N, et al. One-hour ahead prediction of the Dst index based on the optimum state space reconstruction and pattern recognition[J]. The European Physical Journal Plus, 2022, 137(4): 479 doi: 10.1140/epjp/s13360-022-02687-7
    [17] WANG Zhiyuan. Time Series Forecasting with Depth Probabilistic Models[D]. Chengdu: University of Electronic Science and Technology of China, 2023. DOI: 10.27005/d.cnki.gdzku.2023.000727
    [18] TANG X G, FENG J H, ZHANG B Q, et al. Radio frequency fingerprint-based satellite TT&C ground station identification method[J]. Journal of Beijing Institute of Technology, 2023, 32(1): 1-12 doi: 10.15918/j.jbit1004-0579.2022.074
    [19] GU J X, WANG Z H, KUEN J, et al. Recent advances in convolutional neural networks[J]. Pattern Recognition, 2018, 77: 354-377 doi: 10.1016/j.patcog.2017.10.013
    [20] MA H Y, WU Y, LIU F, et al. Design of Super-X Test Facility monitoring and early warning system based on improved CNN-BiLSTM model[C]//2023 International Conference on Image Processing, Computer Vision and Machine Learning (ICICML). Chengdu, China: IEEE, 2023: 1015-1021. DOI: 10.1109/ICICML60161.2023.10424770
    [21] SONG Y, SEBE N, WANG W. On the eigenvalues of global covariance pooling for fine-grained visual recognition[J]. IEEE Transactions on Pattern Analysis and Machine Intelligence, 2023, 45(3): 3554-3566
    [22] DEY R, SALEM F M. Gate-variants of Gated Recurrent Unit (GRU) neural networks[C]//2017 IEEE 60th International Midwest Symposium on Circuits and Systems (MWSCAS). Boston, MA, USA: IEEE, 2017: 1597-1600. DOI: 10.1109/MWSCAS.2017.8053243
    [23] 唐丝语, 黄智. 基于因果卷积与LSTM网络的电离层总电子含量预报[J]. 空间科学学报, 2022, 42(3): 357-365 doi: 10.11728/cjss2022.03.210401042

    TANG Siyu, HUANG Zhi. Prediction of ionospheric total electron content based on causal convolutional and LSTM network[J]. Chinese Journal of Space Science, 2022, 42(3): 357-365 doi: 10.11728/cjss2022.03.210401042
  • 加载中
图(9) / 表(5)
计量
  • 文章访问数:  824
  • HTML全文浏览量:  299
  • PDF下载量:  82
  • 被引次数: 

    0(来源:Crossref)

    0(来源:其他)

出版历程
  • 收稿日期:  2024-03-08
  • 修回日期:  2024-05-30
  • 网络出版日期:  2024-08-15

目录

    /

    返回文章
    返回