留言板

尊敬的读者、作者、审稿人, 关于本刊的投稿、审稿、编辑和出版的任何问题, 您可以本页添加留言。我们将尽快给您答复。谢谢您的支持!

姓名
邮箱
手机号码
标题
留言内容
验证码

基于守恒约束物理信息神经网络的刚性化学动力学长时模拟

方涵敏 黄文龙 王子寒

方涵敏, 黄文龙, 王子寒. 基于守恒约束物理信息神经网络的刚性化学动力学长时模拟[J]. 空间科学学报, 2025, 45(2): 277-287. doi: 10.11728/cjss2025.02.2024-0149
引用本文: 方涵敏, 黄文龙, 王子寒. 基于守恒约束物理信息神经网络的刚性化学动力学长时模拟[J]. 空间科学学报, 2025, 45(2): 277-287. doi: 10.11728/cjss2025.02.2024-0149
FANG Hanmin, HUANG Wenlong, WANG Zihan. Long-time Simulation of Stiff Chemical Kinetics Using Conservation-constrained Physics-informed Neural Network (in Chinese). Chinese Journal of Space Science, 2025, 45(2): 277-287 doi: 10.11728/cjss2025.02.2024-0149
Citation: FANG Hanmin, HUANG Wenlong, WANG Zihan. Long-time Simulation of Stiff Chemical Kinetics Using Conservation-constrained Physics-informed Neural Network (in Chinese). Chinese Journal of Space Science, 2025, 45(2): 277-287 doi: 10.11728/cjss2025.02.2024-0149

基于守恒约束物理信息神经网络的刚性化学动力学长时模拟

doi: 10.11728/cjss2025.02.2024-0149 cstr: 32142.14.cjss.2024-0149
基金项目: 国家自然科学基金项目(12205005)和安徽省自然科学基金项目(2108085QA34)共同资助
详细信息
    作者简介:
    • 方涵敏 女, 1998年12月出生于安徽省合肥市, 现为安徽工业大学计算机科学与技术学院硕士研究生, 主要研究方向为AI for Science和智能科学计算. E-mail: fanghanmin@ahut.edu.cn
    通讯作者:
    • 黄文龙 男, 1988年8月出生于安徽省铜陵市, 现为安徽工业大学计算机科学与技术学院副教授, 硕士生导师, 主要研究方向为AI for Science、空间等离子体物理、聚变等离子体物理等. E-mail: whuang@ahut.edu.cn
  • 中图分类号: TP183

Long-time Simulation of Stiff Chemical Kinetics Using Conservation-constrained Physics-informed Neural Network

  • 摘要: 刚性化学动力学方程在空间科学、大气科学等领域具有重要意义. 近年来, 物理信息神经网络(Physics-Informed Neural Network, PINN)作为一种融合物理定律与深度学习的框架, 被广泛应用于求解各种偏微分方程. 然而, 在求解刚性化学动力学方程时, PINN将出现优化失败, 难以有效求解. 为解决该问题, 本文提出一种新的守恒约束PINN方法. 该方法利用共享–分支网络有效处理耦合问题, 通过引入物质守恒约束显著提升刚性化学动力学方程的求解性能. 同时, 分段采样策略进一步增强长时模拟的精度和稳定性. 实验结果表明, 该方法能够在多时间尺度的复杂系统中实现长时稳定模拟, 为解决空间科学中的问题(例如无碰撞等离子体波动和星际物质化学反应)提供了一种新的方法.

     

  • 图  1  共享–分支网络结构

    Figure  1.  Schematic of the shared-branch networks

    图  2  无守恒约束的损失函数

    Figure  2.  Loss function without conservation constraint

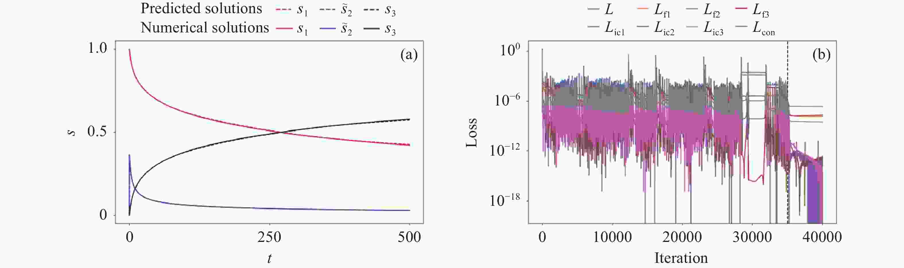
    图  3  无守恒约束条件下的预测结果(a)与损失函数(b)

    Figure  3.  Predicted result (a) and loss function (b) without conservation constraint

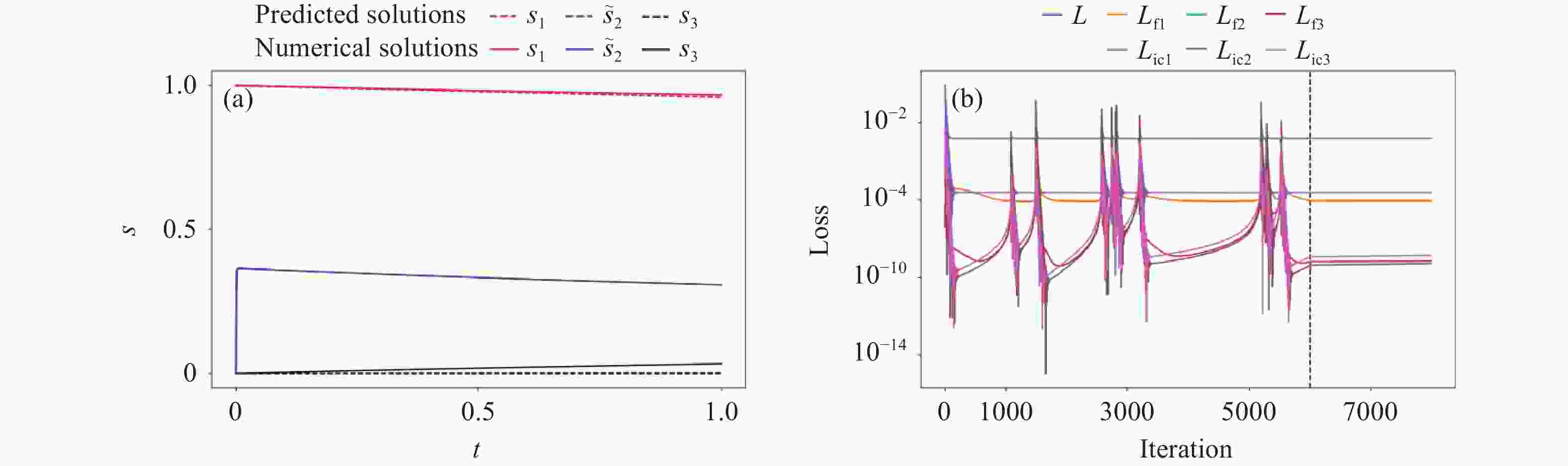
    图  4  加入守恒约束后的预测结果(a)和损失函数(b)

    Figure  4.  Predicted result (a) and loss function (b) with conservation constraint

    图  5  无物质守恒约束 (a) 和有物质守恒约束 (b) 守恒量E的预测值和理论值

    Figure  5.  Predicted solution and theoretical one of conservation quantity E without (a) and with (b) conservation constraint

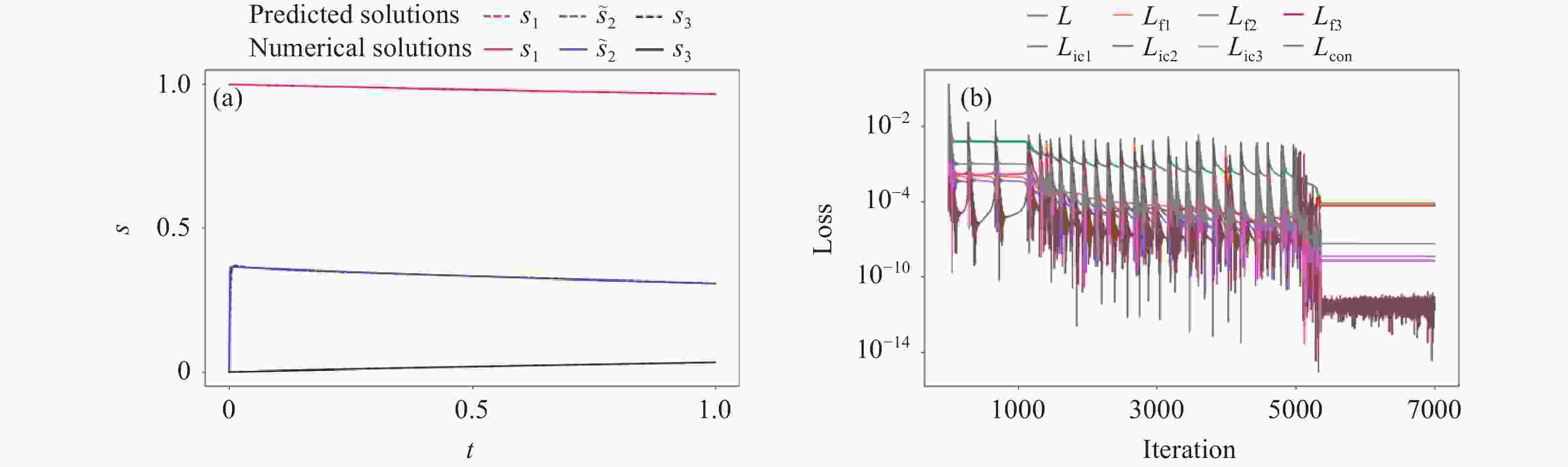
    图  6  守恒约束PINN的预测结果

    Figure  6.  Predicted result with conservation constraint of PINN

    图  7  守恒约束PINN在随机采样策略下的预测结果(a)(c)和损失函数(b)(d). (a) (b)采样点数为1000, (c) (d)采样点数为20000

    Figure  7.  Predicted results (a)(c) and loss functions (b)(d) with conservation constraint of PINN under random sampling strategy. The number of sampling points in panels (a) and (b) is 1000, while in panels (c) and (d) is 20000

    图  8  随机采样策略 (a) 和分段采样策略 (b)

    Figure  8.  Schematic of random sampling strategy (a) and segmented sampling strategy (b)

    图  9  守恒约束PINN在分段采样策略下的预测结果(a)和损失函数(b)

    Figure  9.  Predicted results (a) and loss function (b) with conservation constraint of PINN under segmented sampling strategy

    表  1  随机采样策略和分段采样策略的相对误差

    Table  1.   Relative error of the random sampling strategy and the segmented sampling strategy

    采样策略 采样点数量
    Adam
    L-BFGS $ {s}_{1} $相对误差/(%) $ {s}_{2} $相对误差/(%) $ {s}_{3} $相对误差/(%)
    随机采样 20000, t ∈[0, 500]
    35000 5000 1.22 99.99 1.42
    分段采样 12000, t ∈ [0, 50];
    8000, t ∈ [50, 500]
    35000 5000 0.40 10.72 0.47
    下载: 导出CSV

    表  2  三种不同形式物质守恒约束对应的预测结果

    Table  2.   Predicted results for three different forms of material conservation constraint

    守恒形式AdamL-BFGS时间/min$ {s}_{1} $相对误差/(%)$ {s}_{2} $相对误差/(%)$ {s}_{3} $相对误差/(%)
    $ E = 1 $35000500013.580.4010.720.46
    $ {E^2} = 1 $35000500012.2685.3899.9999.71
    $ \sqrt E = 1 $35000500013.590.5299.990.64
    下载: 导出CSV
  • [1] DROZDOV A Y, SHPRITS Y Y, USANOVA M E, et al. EMIC wave parameterization in the long-term VERB code simulation[J]. Journal of Geophysical Research: Space Physics, 2017, 122(8): 8488-8501 doi: 10.1002/2017JA024389
    [2] QIAN Y, LEUNG L R. A long-term regional simulation and observations of the hydroclimate in China[J]. Journal of Geophysical Research: Atmospheres, 2007, 112(D14): D14104
    [3] DE FLORIO M, SCHIASSI E, FURFARO R. Physics-informed neural networks and functional interpolation for stiff chemical kinetics[J]. Chaos: An Interdisciplinary Journal of Nonlinear Science, 2022, 32(6): 063107 doi: 10.1063/5.0086649
    [4] HUANG Y L, SEINFELD J H. A neural network-assisted Euler integrator for stiff kinetics in atmospheric chemistry[J]. Environmental Science :Times New Roman;">& Technology, 2022, 56(7): 4676-4685
    [5] WU Z Y, LI M J, HE C, et al. Physics-informed learning of chemical reactor systems using decoupling-coupling training framework[J]. AIChE Journal, 2024, 70(7): e18436 doi: 10.1002/aic.18436
    [6] CHEN W B, WANG X M, YAN Y, et al. A second order BDF numerical scheme with variable steps for the Cahn--Hilliard equation[J]. SIAM Journal on Numerical Analysis, 2019, 57(1): 495-525
    [7] 陈丽容, 刘德贵. 求解刚性常微分方程的并行Rosenbrock方法[J]. 计算数学, 1998, 20(3): 251-260 doi: 10.12286/jssx.1998.3.251

    CHEN Lirong, LIU Degui. Parallel rosenbrock methods for stiff ordinary differential equations[J]. Mathematica Numerica Sinica, 1998, 20(3): 251-260 doi: 10.12286/jssx.1998.3.251
    [8] RAISSI M, PERDIKARIS P, KARNIADAKIS G E. Physics-informed neural networks: a deep learning framework for solving forward and inverse problems involving nonlinear partial differential equations[J]. Journal of Computational Physics, 2019, 378: 686-707 doi: 10.1016/j.jcp.2018.10.045
    [9] LU L, MENG X H, MAO Z P, et al. DeepXDE: a deep learning library for solving differential equations[J]. SIAM Review, 2021, 63(1): 208-228 doi: 10.1137/19M1274067
    [10] LIU G R, GU Y T. An Introduction to Meshfree Methods and Their Programming[M]. Dordrecht: Springer, 2005
    [11] ZHONG L L, WU B Y, WANG Y F. Low-temperature plasma simulation based on physics-informed neural networks: frameworks and preliminary applications[J]. Physics of Fluids, 2022, 34(8): 087116 doi: 10.1063/5.0106506
    [12] BATY H, VIGON V. Modelling solar coronal magnetic fields with physics-informed neural networks[J]. Monthly Notices of the Royal Astronomical Society, 2024, 527(2): 2575-2584
    [13] MA J Y, FU H Y, HUBA J D, et al. A novel ionospheric inversion model: PINN-SAMI3 (physics informed neural network based on SAMI3)[J]. Space Weather, 2024, 22(4): e2023SW003823 doi: 10.1029/2023SW003823
    [14] DAHLBÜDDING D, MOLAVERDIKHANI K, ERCOLANO B, et al. Approximating Rayleigh scattering in exoplanetary atmospheres using physics-informed neural networks[J]. Monthly Notices of the Royal Astronomical Society, 2024, 533(3): 3475-3483 doi: 10.1093/mnras/stae1872
    [15] LIVERMORE P W, WU L Y, CHEN L W, et al. Reconstructions of Jupiter’s magnetic field using physics-informed neural networks[J]. Monthly Notices of the Royal Astronomical Society, 2024, 533(4): 4058-4067 doi: 10.1093/mnras/stae1928
    [16] WANG S F, TENG Y J, PERDIKARIS P. Understanding and mitigating gradient flow pathologies in physics-informed neural networks[J]. SIAM Journal on Scientific Computing, 2021, 43(5): A3055-A3081 doi: 10.1137/20M1318043
    [17] JI W Q, QIU W L, SHI Z Y, et al. Stiff-PINN: physics-informed neural network for stiff chemical kinetics[J]. The Journal of Physical Chemistry A, 2021, 125(36): 8098-8106 doi: 10.1021/acs.jpca.1c05102
    [18] WENG Y T, ZHOU D Z. Multiscale physics-informed neural networks for stiff chemical kinetics[J]. The Journal of Physical Chemistry A, 2022, 126(45): 8534-8543 doi: 10.1021/acs.jpca.2c06513
    [19] WANG S F, PERDIKARIS P. Long-time integration of parametric evolution equations with physics-informed deeponets[J]. Journal of Computational Physics, 2023, 475: 111855 doi: 10.1016/j.jcp.2022.111855
    [20] 韦昌, 樊昱晨, 周永清, 等. 基于龙格库塔法的多输出物理信息神经网络模型[J]. 力学学报, 2023, 55(10): 2405-2416 doi: 10.6052/0459-1879-23-299

    WEI Chang, FAN Yuchen, ZHOU Yongqing, et al. Multi-output physics-informed neural networks model based on the Runge-Kutta method[J]. Chinese Journal of Theoretical and Applied Mechanics, 2023, 55(10): 2405-2416 doi: 10.6052/0459-1879-23-299
    [21] HUANG Q M, MA J X, XU Z. Mass-preserving Spatio-temporal adaptive PINN for Cahn-Hilliard equations with strong nonlinearity and singularity[OL]. arXiv preprint arXiv: 2404.18054, 2024
    [22] 宋家豪, 曹文博, 张伟伟. FD-PINN: 频域物理信息神经网络[J]. 力学学报, 2023, 55(5): 1195-1205 doi: 10.6052/0459-1879-23-169

    SONG Jiahao, CAO Wenbo, ZHANG Weiwei. FD-PINN: frequency domain physics-informed neural network[J]. Chinese Journal of Theoretical and Applied Mechanics, 2023, 55(5): 1195-1205 doi: 10.6052/0459-1879-23-169
    [23] CHEN Z, LIU Y, SUN H. Physics-informed learning of governing equations from scarce data[J]. Nature Communications, 2021, 12(1): 6136 doi: 10.1038/s41467-021-26434-1
    [24] SIVAMOHAN S, SRIDHAR S S, KRISHNAVENI S. An effective recurrent neural network (RNN) based intrusion detection via bi-directional long short-term memory[C] //Proceedings of 2021 International Conference on Intelligent Technologies (CONIT). Hubli: IEEE, 2021: 1-5
    [25] WU K L, XIU D. Data-driven deep learning of partial differential equations in modal space[J]. Journal of Computational Physics, 2020, 408: 109307 doi: 10.1016/j.jcp.2020.109307
    [26] BRANDSTETTER J, WORRALL D E, WELLING M. Message passing neural PDE solvers[C]//Proceedings of the Tenth International Conference on Learning Representations. ICLR, 2022
    [27] JAGTAP A D, KHARAZMI E, KARNIADAKIS G E. Conservative physics-informed neural networks on discrete domains for conservation laws: applications to forward and inverse problems[J]. Computer Methods in Applied Mechanics and Engineering, 2020, 365: 113028 doi: 10.1016/j.cma.2020.113028
    [28] LIN S N, CHEN Y. A two-stage physics-informed neural network method based on conserved quantities and applications in localized wave solutions[J]. Journal of Computational Physics, 2022, 457: 111053 doi: 10.1016/j.jcp.2022.111053
    [29] 李道伦, 沈路航, 查文舒, 等. 基于神经算子与类物理信息神经网络智能求解新进展[J]. 力学学报, 2024, 56(4): 875-889 doi: 10.6052/0459-1879-23-407

    LI Daolun, SHEN Luhang, ZHA Wenshu, et al. New progress in intelligent solution of neural operators and physics-informed-based methods[J]. Chinese Journal of Theoretical and Applied Mechanics, 2024, 56(4): 875-889 doi: 10.6052/0459-1879-23-407
    [30] MENG X H, LI Z, ZHANG D K, et al. PPINN: parareal physics-informed neural network for time-dependent PDEs[J]. Computer Methods in Applied Mechanics and Engineering, 2020, 370: 113250 doi: 10.1016/j.cma.2020.113250
    [31] ISHIGURO S, USAMI S, HORIUCHI R, et al. Multi-scale simulation for plasma science[J]. Journal of Physics: Conference Series, 2010, 257(1): 012026
    [32] AKINSOLA V O, OKE E O, AMAO F A, et al. Numerical solutions of robertson chemical kinetic equation using a modified semi implicit extrapolation method and Runge-Kutta method of order four[J]. Adeleke University Journal of Science, 2023, 2(1): 22-33
    [33] GUO J W, YAO Y Z, WANG H, et al. Pre-training strategy for solving evolution equations based on physics-informed neural networks[J]. Journal of Computational Physics, 2023, 489: 112258 doi: 10.1016/j.jcp.2023.112258
    [34] 潘小果, 王凯, 邓维鑫. 基于NTK理论和改进时间因果的物理信息神经网络加速收敛算法[J]. 力学学报, 2024, 56(7): 1943-1958 doi: 10.6052/0459-1879-24-087

    PAN Xiaoguo, WANG Kai, DENG Weixin. Accelerating convergence algorithm for physics-informed neural networks based on NTK theory and modified causality[J]. Chinese Journal of Theoretical and Applied Mechanics, 2024, 56(7): 1943-1958 doi: 10.6052/0459-1879-24-087
    [35] KINGMA D P, BA J. Adam: a method for stochastic optimization[OL]. arXiv preprint arXiv: 1412.6980, 2014
    [36] BYRD R H, LU P H, NOCEDAL J, et al. A limited memory algorithm for bound constrained optimization[J]. SIAM Journal on Scientific Computing, 1995, 16(5): 1190-1208 doi: 10.1137/0916069
  • 加载中
图(9) / 表(2)
计量
  • 文章访问数:  1207
  • HTML全文浏览量:  425
  • PDF下载量:  81
  • 被引次数: 

    0(来源:Crossref)

    0(来源:其他)

出版历程
  • 收稿日期:  2024-10-31
  • 录用日期:  2025-02-05
  • 修回日期:  2025-02-05
  • 网络出版日期:  2025-03-19

目录

    /

    返回文章
    返回