留言板

尊敬的读者、作者、审稿人, 关于本刊的投稿、审稿、编辑和出版的任何问题, 您可以本页添加留言。我们将尽快给您答复。谢谢您的支持!

姓名
邮箱
手机号码
标题
留言内容
验证码

2023年西北地区临近空间火箭探测数据分析评估

何阳 陈泰龙 黄江平

何阳, 陈泰龙, 黄江平. 2023年西北地区临近空间火箭探测数据分析评估[J]. 空间科学学报, 2025, 45(4): 1007-1015. doi: 10.11728/cjss2025.04.2024-0074
引用本文: 何阳, 陈泰龙, 黄江平. 2023年西北地区临近空间火箭探测数据分析评估[J]. 空间科学学报, 2025, 45(4): 1007-1015. doi: 10.11728/cjss2025.04.2024-0074
HE Yang, CHEN Tailong, HUANG Jiangping. Analysis and Evaluation of Data from Near Space Meteorological Rocket Detection over Northwest Area in 2023 (in Chinese). Chinese Journal of Space Science, 2025, 45(4): 1007-1015 doi: 10.11728/cjss2025.04.2024-0074
Citation: HE Yang, CHEN Tailong, HUANG Jiangping. Analysis and Evaluation of Data from Near Space Meteorological Rocket Detection over Northwest Area in 2023 (in Chinese). Chinese Journal of Space Science, 2025, 45(4): 1007-1015 doi: 10.11728/cjss2025.04.2024-0074

2023年西北地区临近空间火箭探测数据分析评估

doi: 10.11728/cjss2025.04.2024-0074 cstr: 32142.14.cjss.2024-0074
基金项目: 国家自然科学基金项目资助(42405065, 42275060)
详细信息
    作者简介:
    • 何阳 男, 1996年生, 四川成都人, 北京航空气象研究所工程师, 主要研究方向为临近空间和电离层大气环境. E-mail: heyang12357@sina.com
  • 中图分类号: P356

Analysis and Evaluation of Data from Near Space Meteorological Rocket Detection over Northwest Area in 2023

  • 摘要: 气象火箭是一种获取临近空间大气环境垂直分布精细结构的重要原位探测手段, 其探测结果具有比地基和天基遥感探测更高的精度, 客观评估其数据质量是各部门有效使用该探测数据的重要前提. 利用2023年冬季在西北地区进行的一次气象火箭探测, 获取了20~60 km高度区间内的气温、风场、密度和气压数据, 对热敏电阻测得的温度进行了偏差修正, 并将探测结果与遥感探测、经验预报模式以及再分析资料等数据进行了比对评估. 结果表明: 火箭探测风场结果与再分析数据吻合得较好, 并且能够更加准确地描述对应区域的精细大气环境; 火箭实测气温偏差在40 km以上逐渐凸显, 主要偏差项为电流加热项、温度滞后项以及气动加热项, 修正后的气温与参考数据吻合性较好, 不同来源的气温数据主要差异是平流层顶气温拐点出现的高度不同; 气压和密度结果的偏差随着高度的上升而增加. 分析认为, 本次火箭的探测数据质量较好, 精度较高, 通过对数据的分析评估验证了大气要素反演数学模型有效可靠.

     

  • 图  1  火箭探测轨迹的时间–高度曲线

    Figure  1.  Time-altitude curve of the rocket’s detection trajectory

    图  2  火箭发上升(红色)和下降(蓝色)过程的水平运动轨迹

    Figure  2.  Horizontal movement trajectory of the rocket during its ascent (red) and descent (blue) process

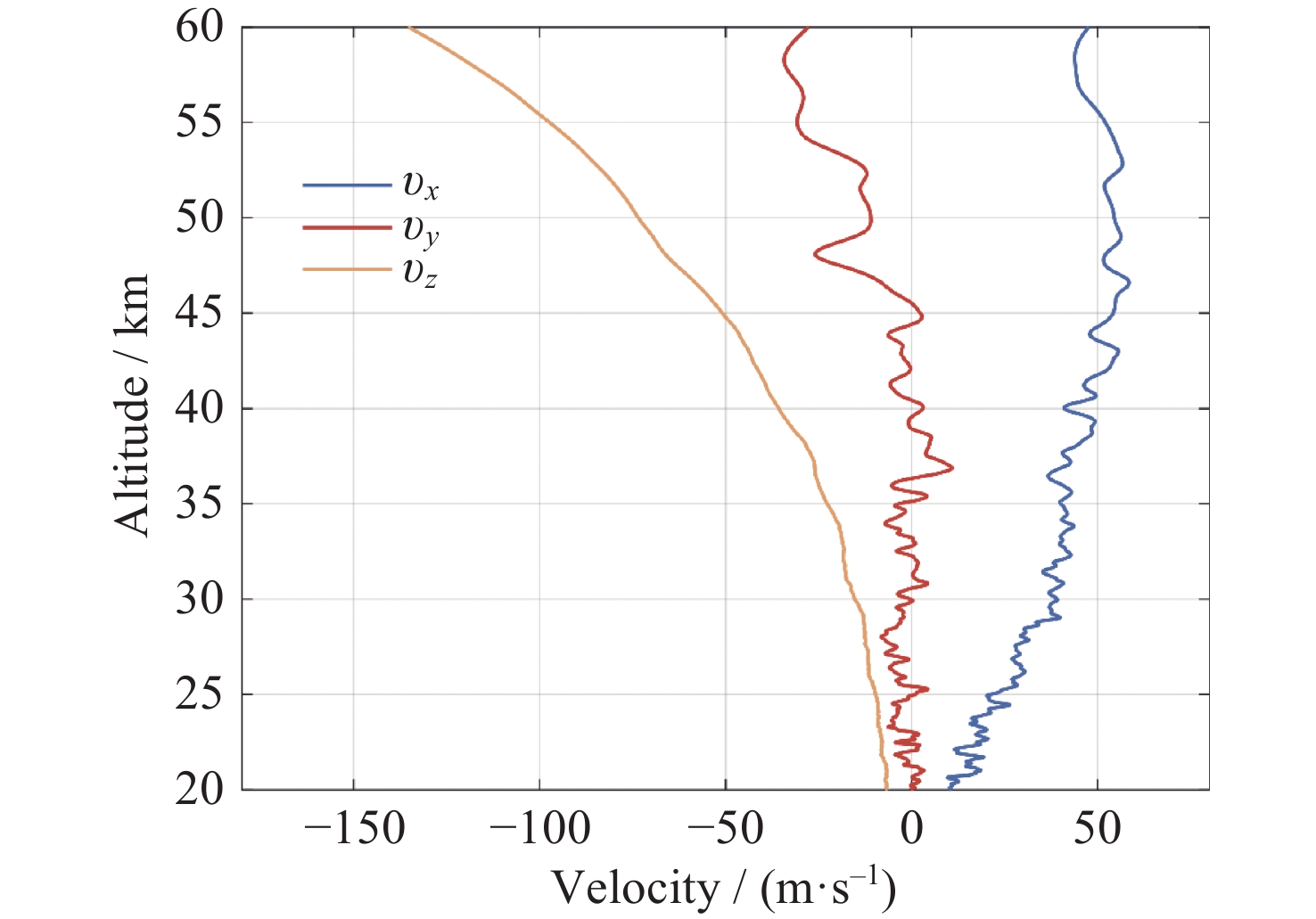
    图  3  火箭下落过程中探空仪的速度–高度分布

    Figure  3.  Velocity-altitude distribution of the radiosonde during the rocket’s descent

    图  4  火箭、HWM07和MERRA2数据风速风向的垂直分布

    Figure  4.  Vertical distribution of wind speed and direction in rocket, HWM07, and MERRA2 data

    图  5  火箭和MERRA2数据纬向风、经向风的垂直分布以及速度分量之差

    Figure  5.  Vertical distribution of zonal and meridional winds from the rocket and MERRA2 data, and the difference between the two velocity components

    图  6  温度修正前后的垂直分布及各修正子项

    Figure  6.  Vertical distribution of temperature before and after correction, and each correction sub-item

    图  7  火箭、MERRA2、NRLMSISE-00、SABER数据的温度垂直分布以及温度偏差

    Figure  7.  Vertical distribution of temperature from rocket, MERRA2, NRLMSISE-00, and SABER, and the deviation between the rocket and the other three types of data

    图  8  火箭和MERRA2, NRLMSISE-00, SABER数据的密度垂直分布以及密度偏差分布

    Figure  8.  Vertical distribution of density from rocket, MERRA2, NRLMSISE-00, and SABER, and the deviation between the rocket and the other three types of data

    图  9  火箭和MERRA2, NRLMSISE-00, SABER数据的气压垂直分布以及气压偏差分布

    Figure  9.  Vertical distribution of pressure from rocket, MERRA2, NRLMSISE-00, and SABER, and the deviation between the rocket and the other three types of data

    表  1  原始探测数据不同高度区间的获取率

    Table  1.   Acquisition rate of the original detection data in different height intervals

    探测区段/km60~5050~4040~3030~20
    数据获取率/(%)99.599.699.699.6
    下载: 导出CSV
  • [1] 邓小龙, 杨希祥, 朱炳杰, 等. 智能平流层浮空器Loon关键技术分析与仿真[J]. 航空学报, 2023, 44(8): 127412

    DENG Xiaolong, YANG Xixiang, ZHU Bingjie, et al. Simulation research and key technologies analysis of intelligent stratospheric aerostat Loon[J]. Acta Aeronautica et Astronautica Sinica, 2023, 44(8): 127412
    [2] 王梓皓, 姜毅, 黄宛宁, 等. 基于气球平台的临近空间环境原位探测技术研究[J]. 空天技术, 2023(4): 70-79

    WANG Zihao, JIANG Yi, HUANG Wanning, et al. Research on in-situ detection technology of near space environment[J]. Aerospace Technology, 2023(4): 70-79
    [3] 黄宛宁, 张晓军, 李智斌, 等. 临近空间科学技术的发展现状及应用前景[J]. 科技导报, 2019, 37(21): 46-62

    HUANG Wanning, ZHANG Xiaojun, LI Zhibin, et al. Development status and application prospect of near space science and technology[J]. Science :Times New Roman;">& Technology Review, 2019, 37(21): 46-62
    [4] 熊俊辉, 李克勇, 刘燚, 等. 临近空间防御技术发展态势及突防策略[J]. 空天防御, 2021, 4(2): 82-86 doi: 10.3969/j.issn.2096-4641.2021.02.013

    XIONG Junhui, LI Keyong, LIU Yi, et al. Study on near space defense technology development and penetration strategy[J]. Air :Times New Roman;">& Space Defense, 2021, 4(2): 82-86 doi: 10.3969/j.issn.2096-4641.2021.02.013
    [5] 顾逸东, 吴季, 陈虎, 等. 中国空间探测领域40年发展[J]. 空间科学学报, 2021, 41(1): 10-21 doi: 10.11728/cjss2021.01.010

    GU Yidong, WU Ji, CHEN Hu, et al. Review of the 40-year development of China’s space exploration[J]. Chinese Journal of Space Science, 2021, 41(1): 10-21 doi: 10.11728/cjss2021.01.010
    [6] 耿丹, 赵增亮, 万黎, 等. 冬季西北地区临近空间气象火箭探测数据分析[J]. 空间科学学报, 2022, 42(3): 396-402 doi: 10.11728/cjss2022.03.210527065

    GENG Dan, ZHAO Zengliang, WAN Li, et al. Analysis of data from near space meteorological rocket sounding in northwest China in winter[J]. Chinese Journal of Space Science, 2022, 42(3): 396-402 doi: 10.11728/cjss2022.03.210527065
    [7] 史东波, 胡雄, 涂翠, 等. 临近空间环境探空火箭膨胀落球探测技术[J]. 装备环境工程, 2018, 15(7): 89-92

    SHI Dongbo, HU Xiong, TU Cui, et al. Near space environment detection technology—sounding rocket falling sphere[J]. Equipment Environmental Engineering, 2018, 15(7): 89-92
    [8] 范志强, 盛峥, 万黎, 等. 临近空间气象火箭探测资料精度的综合评估[J]. 物理学报, 2013, 62(19): 199601 doi: 10.7498/aps.62.199601

    FANG Zhiqiang, SHENG Zheng, WAN Li, et al. Comprehensive assessment of the accuracy of the data from near space meteorological rocket sounding[J]. Acta Physica Sinica, 2013, 62(19): 199601 doi: 10.7498/aps.62.199601
    [9] 范志强, 盛峥, 赵增亮, 等. 临近空间大气环境落球探测中的科氏力影响[J]. 空间科学学报, 2022, 42(1): 103-116 doi: 10.11728/cjss2022.01.201203104

    FAN Zhiqiang, SHENG Zheng, ZHAO Zengliang, et al. Impact of Coriolis force in the falling-sphere detection of near-space atmospheric environment[J]. Chinese Journal of Space Science, 2022, 42(1): 103-116 doi: 10.11728/cjss2022.01.201203104
    [10] GE W, SHENG Z, ZHANG Y Y, et al. The study of in situ wind and gravity wave determination by the first passive falling-sphere experiment in China’s northwest region[J]. Journal of Atmospheric and Solar-Terrestrial Physics, 2019, 182: 130-137 doi: 10.1016/j.jastp.2018.11.015
    [11] ZHOU L S, SHENG Z, FAN Z Q, et al. Data analysis of the TK-1G sounding rocket installed with a satellite navigation system[J]. Atmosphere, 2017, 8(10): 199 doi: 10.3390/atmos8100199
    [12] SONG Y Y, HE Y, LENG H Z. Analysis of atmospheric elements in near space based on meteorological-rocket soundings over the East China Sea[J]. Remote Sensing, 2024, 16(2): 402 doi: 10.3390/rs16020402
    [13] KRÄUCHI A, PHILIPONA R, ROMANENS G, et al. Controlled weather balloon ascents and descents for atmospheric research and climate monitoring[J]. Atmospheric Measurement Techniques, 2016, 9(3): 929-938 doi: 10.5194/amt-9-929-2016
    [14] 程旋. 临近空间大气建模及其应用研究[D]. 北京: 中国科学院国家空间科学中心, 2020

    CHENG Xuan. Researches on Atmospheric Modeling and Applications in Near Space[D]. Beijing: National Space Science Center, Chinese Academy of Sciences, 2020
    [15] PICONE J M, HEDIN A E, DROB D P, et al. NRLMSISE-00 empirical model of the atmosphere: statistical comparisons and scientific issues[J]. Journal of Geophysical Research: Space Physics, 2002, 107(A12): SIA15
    [16] DROB D P, EMMERT J T, CROWLEY G, et al. An empirical model of the Earth’s horizontal wind fields: HWM07[J]. Journal of Geophysical Research: Space Physics, 2008, 113(A12): A12304
    [17] ERN M, PREUSSE P, GILLE J C, et al. Implications for atmospheric dynamics derived from global observations of gravity wave momentum flux in stratosphere and mesosphere[J]. Journal of Geophysical Research: Atmospheres, 2011, 116(D19): D19107 doi: 10.1029/2011JD015821
  • 加载中
图(9) / 表(1)
计量
  • 文章访问数:  678
  • HTML全文浏览量:  273
  • PDF下载量:  85
  • 被引次数: 

    0(来源:Crossref)

    0(来源:其他)

出版历程
  • 收稿日期:  2024-06-06
  • 录用日期:  2025-06-30
  • 修回日期:  2024-11-29
  • 网络出版日期:  2024-12-02

目录

    /

    返回文章
    返回