留言板

尊敬的读者、作者、审稿人, 关于本刊的投稿、审稿、编辑和出版的任何问题, 您可以本页添加留言。我们将尽快给您答复。谢谢您的支持!

姓名
邮箱
手机号码
标题
留言内容
验证码

热波在超低热导率材料中的传递特性

洪思慧 周宇鹏 赵欣

洪思慧, 周宇鹏, 赵欣. 热波在超低热导率材料中的传递特性[J]. 空间科学学报, 2025, 45(4): 1058-1066. doi: 10.11728/cjss2025.04.2024-0101
引用本文: 洪思慧, 周宇鹏, 赵欣. 热波在超低热导率材料中的传递特性[J]. 空间科学学报, 2025, 45(4): 1058-1066. doi: 10.11728/cjss2025.04.2024-0101
HONG Sihui, ZHOU Yupeng, ZHAO Xin. Thermal Wave Transfer Characteristics in Ultra-low Thermal Conductivity Materials (in Chinese). Chinese Journal of Space Science, 2025, 45(4): 1058-1066 doi: 10.11728/cjss2025.04.2024-0101
Citation: HONG Sihui, ZHOU Yupeng, ZHAO Xin. Thermal Wave Transfer Characteristics in Ultra-low Thermal Conductivity Materials (in Chinese). Chinese Journal of Space Science, 2025, 45(4): 1058-1066 doi: 10.11728/cjss2025.04.2024-0101

热波在超低热导率材料中的传递特性

doi: 10.11728/cjss2025.04.2024-0101 cstr: 32142.14.cjss.2024-0101
基金项目: 国家重点研发计划项目资助(2022YFC2204401)
详细信息
    作者简介:
    • 洪思慧 女, 1990年12月出生于广东省韶关市, 现为浙江大学电气工程学院“百人计划”研究员, 博士生导师, 主要研究方向为高精度温控、器件封装与热管理、传热强化与节能、多相流动过程等. E-mail: 0024108@zju.edu.cn
  • 中图分类号: TB34

Thermal Wave Transfer Characteristics in Ultra-low Thermal Conductivity Materials

  • 摘要: 考虑具有时频变化的空间外热流和具有单一超低热导率隔热材料, 采用广义热弹性理论和一维热波理论对外热流噪声在单级隔热材料中的传递过程建立数理模型. 结合一维热波理论的CV模型构建了温度的阻尼振荡模型, 对外热流在单层材料中的准稳态传递过程进行数理建模, 构建温度噪声对外热流噪声响应的函数关系, 获得热流传递路径上材料各处的温度响应特性; 通过敏感度分析, 确定影响温度噪声衰减的关键参数及其影响规律.

     

  • 图  1  热质理论原理

    Figure  1.  Schematic diagram of the principles of the thermomass theory

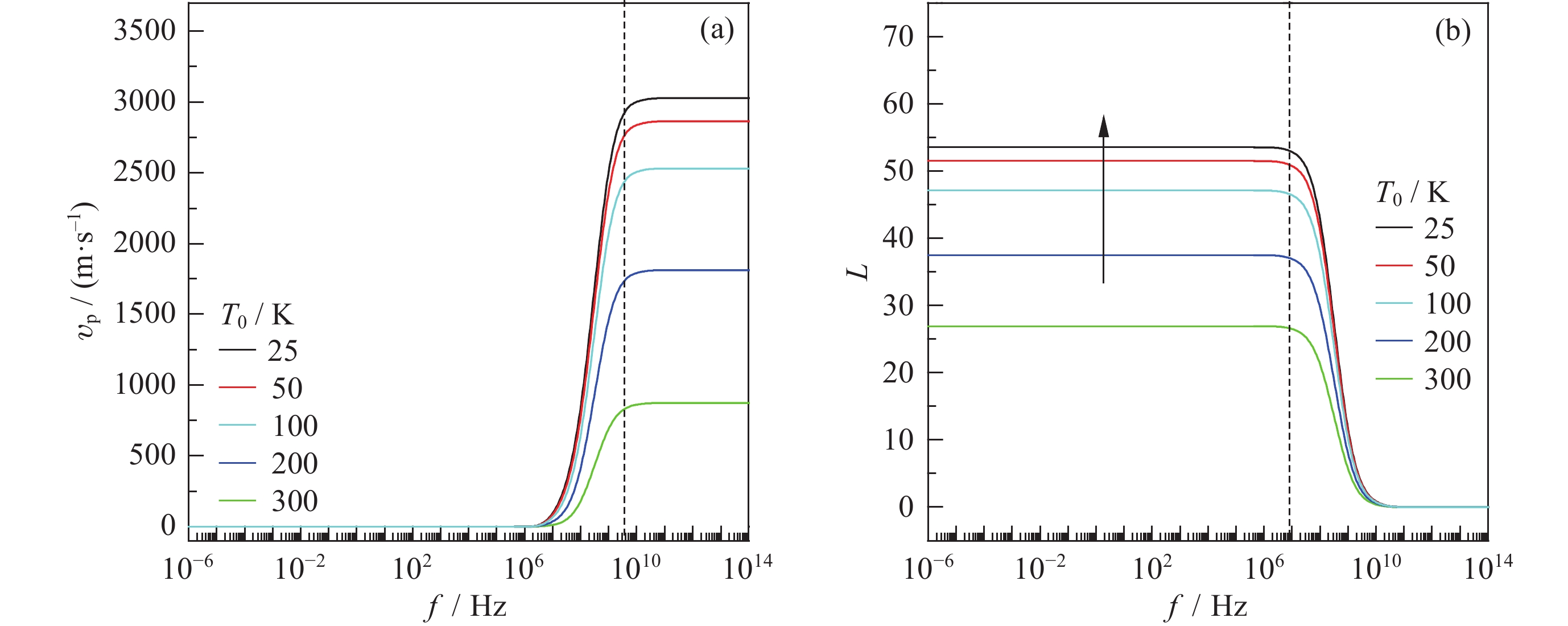
    图  2  基于热弹性理论计算的热波在各向同性介质中传递的相速度和衰减系数结果

    Figure  2.  Calculation results of phase velocity and attenuation coefficient for thermal wave propagation in isotropic media based on thermoelastic theory

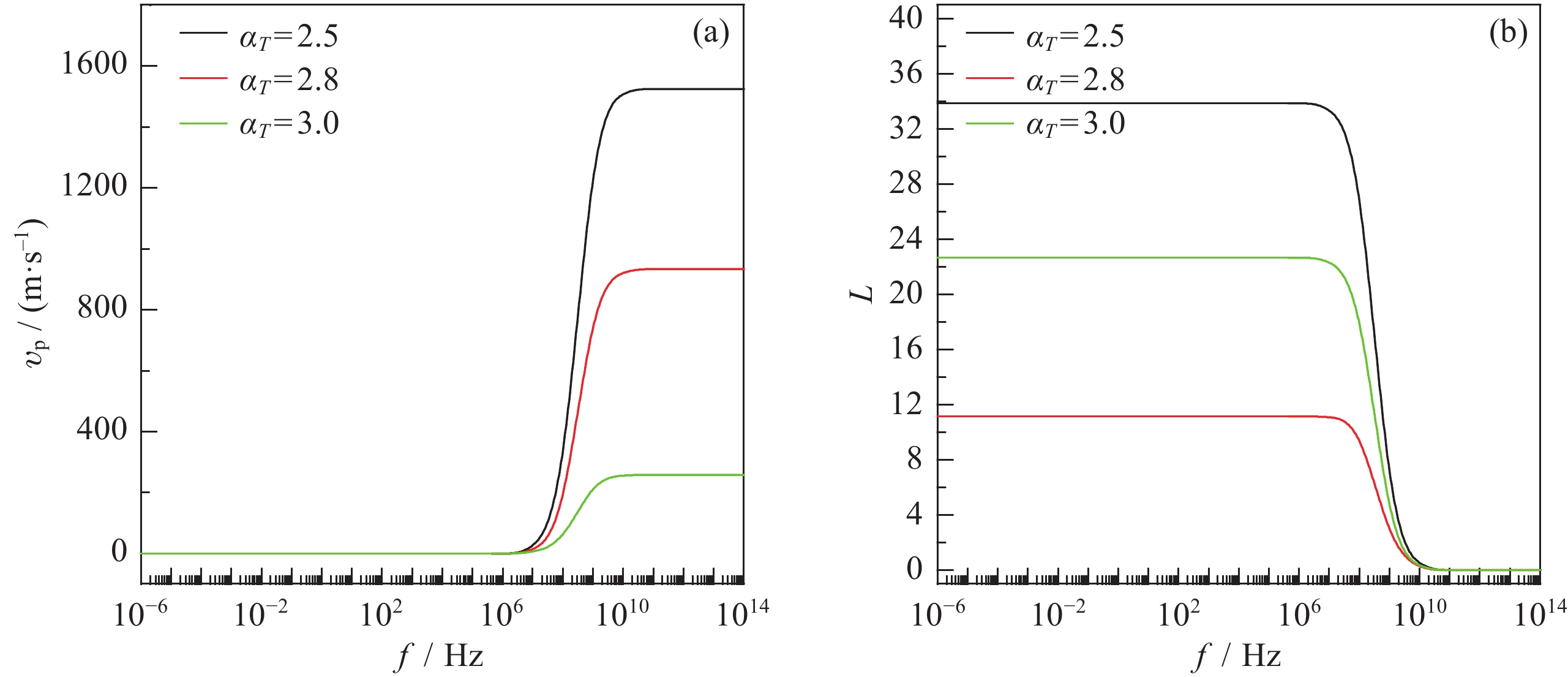
    图  3  不同参考温度对热波在各向同性介质中传递的相速度和衰减系数的影响

    Figure  3.  Effect of reference temperature on phase velocity and attenuation coefficient for thermal wave propagation in isotropic media

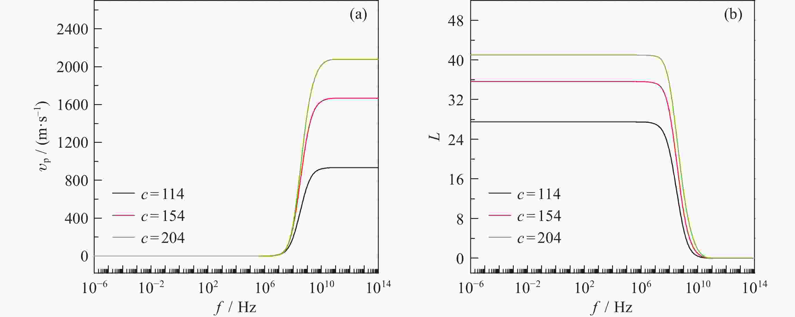
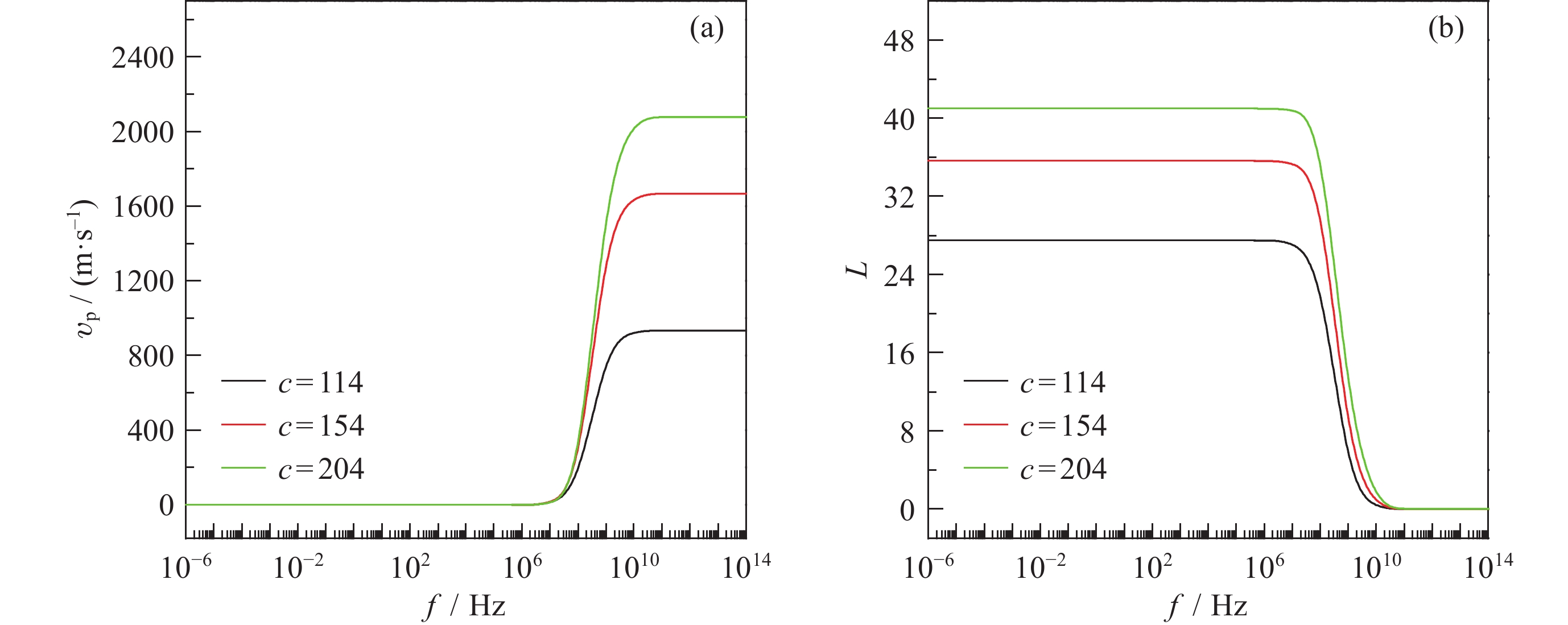
    图  6  材料比热对热波在各向同性介质中传递的相速度和衰减系数的影响

    Figure  6.  Effect of material specific heat capacity on phase velocity and attenuation coefficient for thermal wave propagation in isotropic media

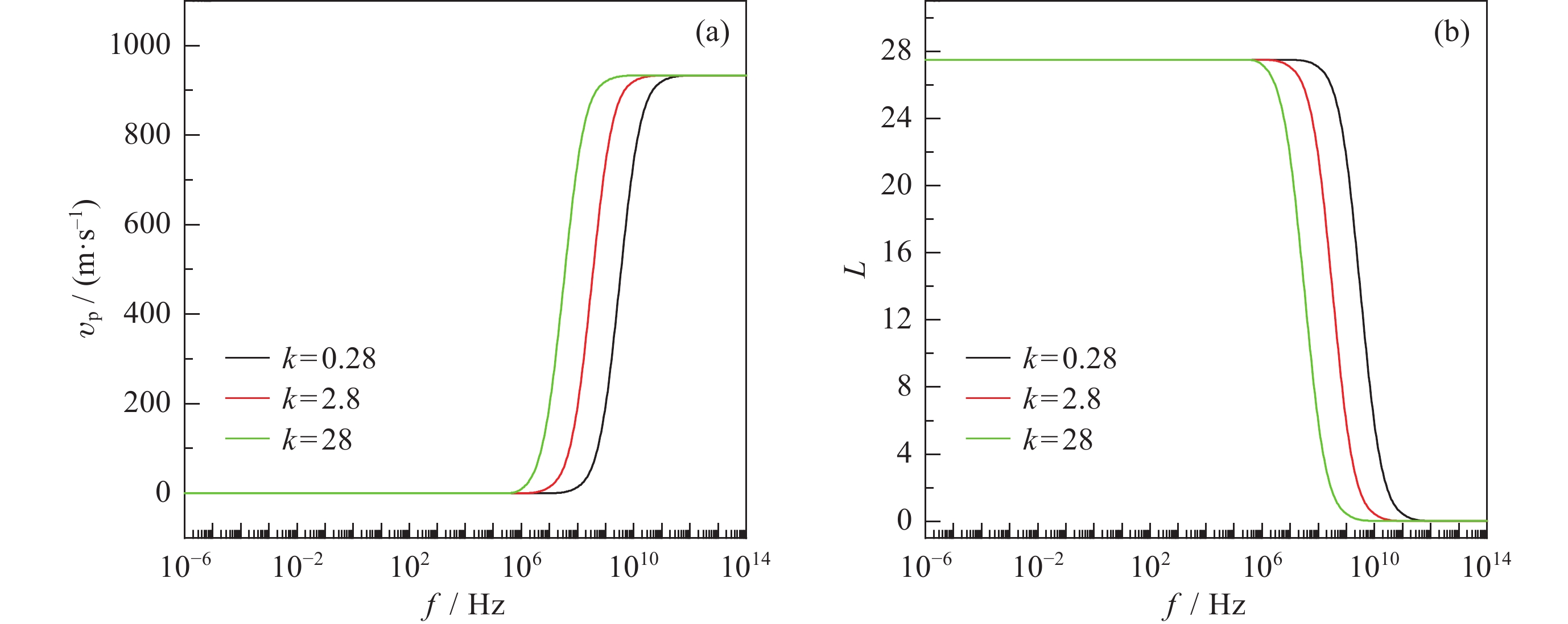
    图  4  材料导热系数对热波在各向同性介质中传递的相速度和衰减系数的影响

    Figure  4.  Effect of material thermal conductivity on phase velocity and attenuation coefficient for thermal wave propagation in isotropic media

    图  5  材料热膨胀系数对热波在各向同性介质中传递的相速度和衰减系数的影响

    Figure  5.  Effect of material thermal expansion coefficient on phase velocity and attenuation coefficient for thermal wave propagation in isotropic media

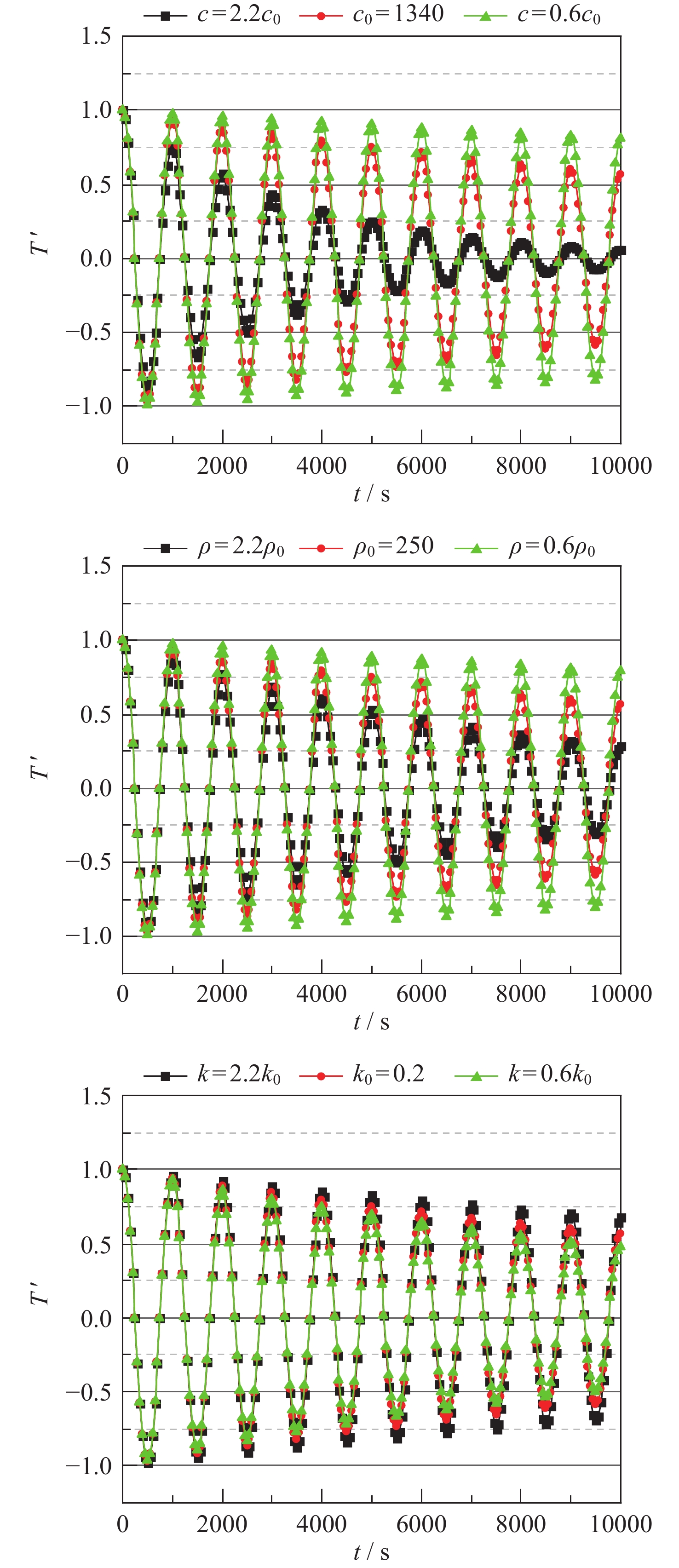
    图  7  基于热质理论计算的温度响应特性

    Figure  7.  Calculated temperature response characteristics based on the thermomass theory

    图  8  基于广义热弹性理论的热波传递特征

    Figure  8.  Thermal wave transfer characteristics based on generalized thermoelastic theory

    图  9  材料物性参数对温度相应特性的敏感度分析

    Figure  9.  Sensitivity analysis of material property parameters on temperature response characteristics

    表  1  热弹性介质模型参数

    Table  1.   Parameters of the thermoelastic model

    热弹性介质模型参数 数值
    导热系数k/(W·m–1·K–1) 0.28, 2.8, 28
    比热容c/(kJ·kg–1) 114, 154, 204
    热膨胀系数$ {\alpha }_{\mathrm{T}}\left(\times {10}^{-6}\right) $/K–1 2.5, 2.8, 3.0
    参考温度T/K 25, 50, 100, 200, 300
    下载: 导出CSV

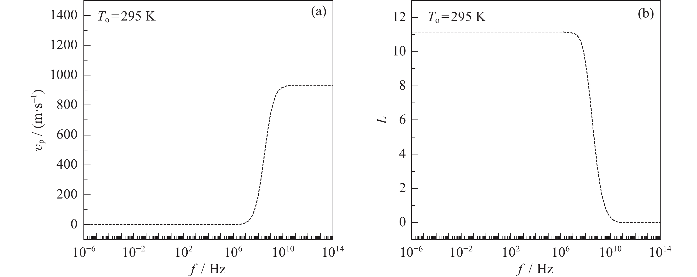
    表  2  实际隔热材料的材料物性参数

    Table  2.   Material property parameters of practical thermal insulation material

    泡沫塑料的材料物性参数 数值
    导热系数k0/(W·m–1·K–1) 0.2
    比热容c0/(kJ·kg–1) 1340
    密度$ \rho $0/(kg·m–3) 250
    热扩散系数$ \alpha $/(m2·s–1) 0.012216944
    参考温度T/K 295
    下载: 导出CSV
  • [1] 夏冰, 陈厚源, 汪一萍, 等. 空间引力波探测卫星外热流环境及其热控设计[J]. 中山大学学报(自然科学版), 2021, 60(1-2): 138-145

    XIA Bing, CHEN Houyuan, WANG Yiping, et al. External heat flux and thermal control design of space gravitational wave detection satellite[J]. Acta Scientiarum Naturalium Universitatis Sunyatseni, 2021, 60(1/2): 138-145
    [2] ZENER C M, SIEGEL S. Elasticity and anelasticity of metals[J]. The Journal of Physical and Colloid Chemistry, 1949, 53(9): 1468 doi: 10.1021/j150474a017
    [3] 张艳. 基于模型试验的层状结构物层底应变分析[D]. 西安: 长安大学, 2014

    ZHANG Yan. Analysis on the Bottom Strain of the Layered Structure Based on the Model Test[D]. Xi’an: Chang’an University, 2014
    [4] GUEGUEN Y. Wave propagation and attenuation in rocks from poroelasticity and thermoelasticity[C]//Poromechanics V: Proceedings of the Fifth Biot Conference on Poromechanics. Virginia: American Society of Civil Engineers, 2013: 2391-2394
    [5] BIOT M A. Thermoelasticity and irreversible thermodynamics[J]. Journal of Applied Physics, 1956, 27(3): 240-253 doi: 10.1063/1.1722351
    [6] CARCIONE J M. Wave Fields in Real Media. Wave Propagation in Anisotropic, Anelastic, Porous and Electromagnetic Media[M]. 2nd ed. Amsterdam: Elsevier Science, 2007
    [7] QI X L, SUH C S. Generalized thermo-elastodynamics for semiconductor material subject to ultrafast laser heating. Part I: Model description and validation[J]. International Journal of Heat and Mass Transfer, 2010, 53(1-3): 41-47 doi: 10.1016/j.ijheatmasstransfer.2009.10.010
    [8] 侯婉婷, 符力耘, 魏佳, 等. 热弹性介质中波传播特征[J]. 地球物理学报, 2021, 64(4): 1364-1374 doi: 10.6038/cjg2021N0458

    HOU Wanting, FU Liyun, WEI Jia, et al. Characteristics of wave propagation in thermoelastic medium[J]. Chinese Journal of Geophysics, 2021, 64(4): 1364-1374 doi: 10.6038/cjg2021N0458
    [9] DERESIEWICZ H. Plane waves in a thermoelastic solid[J]. The Journal of the Acoustical Society of America, 1957, 29(2): 204-209 doi: 10.1121/1.1908832
    [10] Rudgers A J. Analysis of thermoacoustic wave propagation in elastic media[J]. The Journal of the Acoustical Society of America, 1990, 88(2): 1078-1094 doi: 10.1121/1.399856
    [11] 曹炳阳, 胡锐锋, 过增元. 基于热质理论的热波传递现象研究[J]. 工程热物理学报, 2008, 29(8): 1351-1353 doi: 10.3321/j.issn:0253-231X.2008.08.022

    CAO Bingyang, HU Ruifeng, GUO Zengyuan. Thermal wave phenomenon studied by thermal mass theory[J]. Journal of Engineering Thermophysics, 2008, 29(8): 1351-1353 doi: 10.3321/j.issn:0253-231X.2008.08.022
    [12] 过增元. 热质的运动和传递: 热质和热子气[J]. 工程热物理学报, 2006, 27(4): 631-634 doi: 10.3321/j.issn:0253-231X.2006.04.029

    GUO Zengyuan. Motion and transfer of thermal mass-thermal mass and thermon gas[J]. Journal of Engineering Thermophysics, 2006, 27(4): 631-634 doi: 10.3321/j.issn:0253-231X.2006.04.029
    [13] 过增元, 曹炳阳. 基于热质运动概念的普适导热定律[J]. 物理学报, 2008, 57(7): 4273-4281 doi: 10.7498/aps.57.4273

    GUO Zengyuan, CAO Bingyang. A general heat conduction law based on the concept of motion of thermal mass[J]. Acta Physica Sinica, 2008, 57(7): 4273-4281 doi: 10.7498/aps.57.4273
    [14] DONG Y, CAO B Y, GUO Z Y. Generalized heat conduction laws based on thermomass theory and phonon hydrodynamics[J]. Journal of Applied Physics, 2011, 110(6): 063504 doi: 10.1063/1.3634113
    [15] 李政阳. 一维热波晶体的热传导特性研究[D]. 北京: 北京交通大学, 2017

    LI Zhengyang. The Properties of Heat Conduction in the One Dimensional Thermal Wave Crystal[D]. Beijing: Beijing Jiaotong University, 2017
    [16] GUO Z Y, HOU Q W. Thermal wave based on the thermomass model[J]. Journal of Heat Transfer, 2010, 132(7): 072403 doi: 10.1115/1.4000987
  • 加载中
图(9) / 表(2)
计量
  • 文章访问数:  513
  • HTML全文浏览量:  369
  • PDF下载量:  52
  • 被引次数: 

    0(来源:Crossref)

    0(来源:其他)

出版历程
  • 收稿日期:  2024-08-13
  • 录用日期:  2025-06-30
  • 修回日期:  2025-04-17
  • 网络出版日期:  2025-04-18

目录

    /

    返回文章
    返回