留言板

尊敬的读者、作者、审稿人, 关于本刊的投稿、审稿、编辑和出版的任何问题, 您可以本页添加留言。我们将尽快给您答复。谢谢您的支持!

姓名
邮箱
手机号码
标题
留言内容
验证码

四种神经网络方法在电离层磁暴期TEC建模的对比分析

朱佳豪 闫文林 金宇峰 严泰明 王坚

朱佳豪, 闫文林, 金宇峰, 严泰明, 王坚. 四种神经网络方法在电离层磁暴期TEC建模的对比分析[J]. 空间科学学报, 2025, 45(5): 1230-1242. doi: 10.11728/cjss2025.05.2024-0087
引用本文: 朱佳豪, 闫文林, 金宇峰, 严泰明, 王坚. 四种神经网络方法在电离层磁暴期TEC建模的对比分析[J]. 空间科学学报, 2025, 45(5): 1230-1242. doi: 10.11728/cjss2025.05.2024-0087
ZHU Jiahao, YAN Wenlin, JIN Yufeng, YAN Taiming, WANG Jian. Comparative Analysis of Four Neural Network Methods for TEC Modeling during Ionospheric Magnetic Storms (in Chinese). Chinese Journal of Space Science, 2025, 45(5): 1230-1242 doi: 10.11728/cjss2025.05.2024-0087
Citation: ZHU Jiahao, YAN Wenlin, JIN Yufeng, YAN Taiming, WANG Jian. Comparative Analysis of Four Neural Network Methods for TEC Modeling during Ionospheric Magnetic Storms (in Chinese). Chinese Journal of Space Science, 2025, 45(5): 1230-1242 doi: 10.11728/cjss2025.05.2024-0087

四种神经网络方法在电离层磁暴期TEC建模的对比分析

doi: 10.11728/cjss2025.05.2024-0087 cstr: 32142.14.cjss.2024-0087
基金项目: 国家自然科学基金项目(42274029)和江苏省自然科学基金项目(BK20181015)共同资助
详细信息
    作者简介:
    • 朱佳豪 男, 2000年生, 河南商丘人, 现为江苏师范大学地理测绘与城乡规划学院电子信息专业硕士研究生. E-mail: zjh13357771703@126.com
    通讯作者:
    • 闫文林 男, 1984年生, 江苏徐州人, 江苏师范大学地理测绘与城乡规划学院副教授, 主要研究方向为大地测量和卫星导航技术. E-mail: yanwenlin@jsnu.edu.cn
  • 中图分类号: P352

Comparative Analysis of Four Neural Network Methods for TEC Modeling during Ionospheric Magnetic Storms

  • 摘要: 电离层总电子含量(TEC)是描述电离层的重要参数, 然而电离层经验模型对于磁暴期TEC的预测精度不够理想. 针对这个问题, 使用LSTM、BiLSTM、结合注意力机制的卷积神经网络–长短期记忆(CNN-LSTM-Attention)以及结合注意力机制的卷积神经网络–双向长短期记忆(CNN-BiLSTM-Attention)神经网络模型进行电离层TEC预报的研究. 根据Dst ≤ –30 nT的标准, 确定了2004-2022年发生磁暴的时间段. 在此基础上, 结合多种时空参数(UTS与UTC, SA与AA, CHS与SHS), 得到了4种适用于磁暴期TEC的预测模型. 利用2023年磁暴期的TEC对四种模型的精度和可靠性进行验证. 结果表明, CNN-BiLSTM-Attention模型的预测效果明显优于其他三种模型, 其绝对平均误差(MAE)为0.882~5.270 TECU, 均方根误差(RMSE)为1.175~6.983 TECU, 且预测结果与参考值之间存在较强的相关性, 决定系数(R2)均在0.7以上. 此外, 该模型拟合函数的斜率整体上最接近于1, 同样优于其他三种模型的拟合效果.

     

  • 图  1  CNN-LSTM- Attention和CNN-BiLSTM-Attention模型流程

    Figure  1.  Flow of CNN-LSTM-Attention and CNN-BiLSTM-Attention model

    图  2  2023年Dst指数小时变化

    Figure  2.  Dst index hourly variation in 2023

    图  3  2023年磁暴期低纬度测站模型预测TEC残差

    Figure  3.  TEC residuals predicted by the low latitude station model during the storms in 2023

    图  4  2023年磁暴期中纬度测站模型预测TEC残差

    Figure  4.  TEC residuals predicted by the middle latitude station model during the storms in 2023

    图  5  2023年磁暴期高纬度测站模型预测TEC残差

    Figure  5.  TEC residuals predicted by the high latitude station model during the storms in 2023

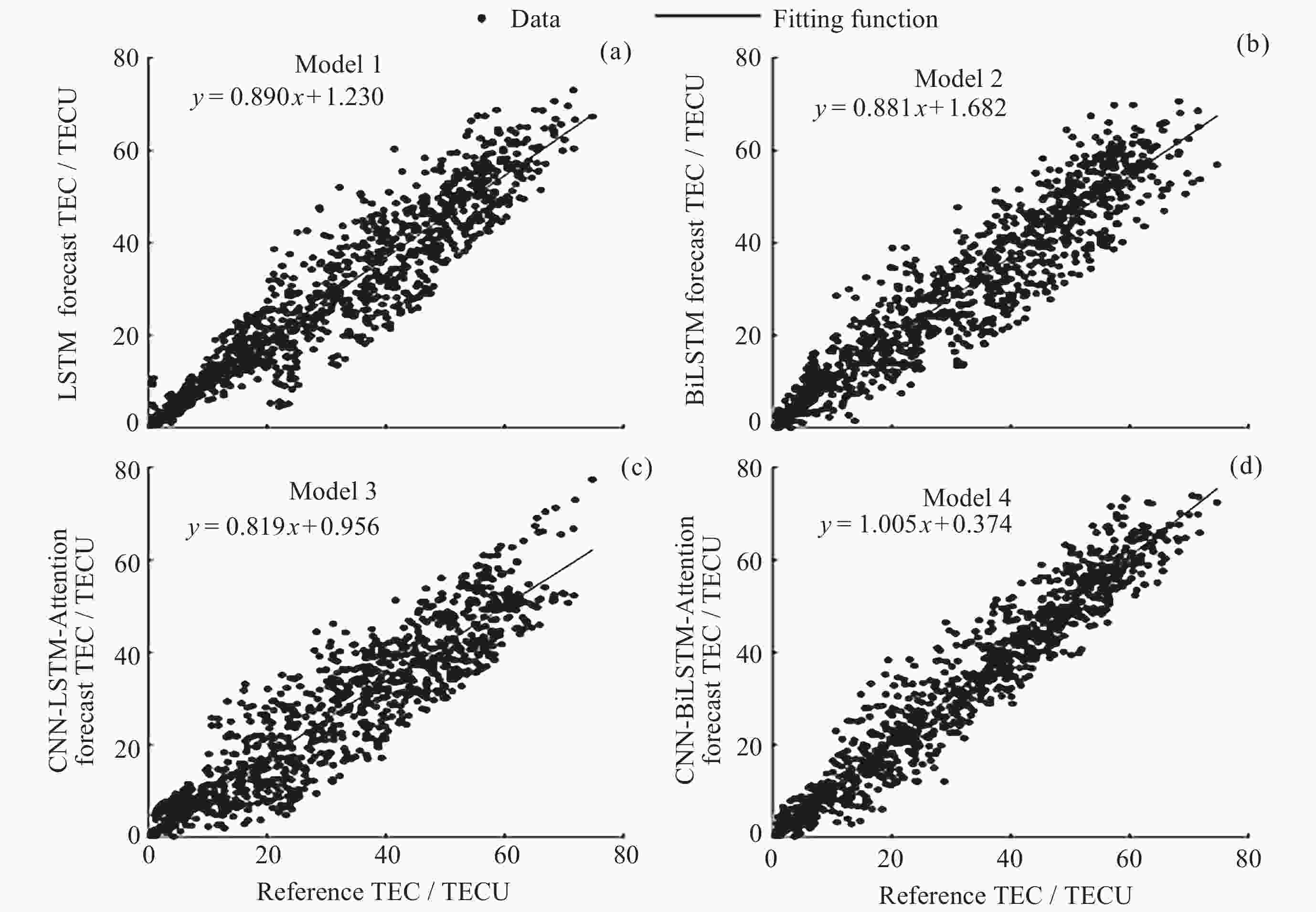
    图  6  AS00Q测站四种模型预报值与参考值的散点图

    Figure  6.  Scatter-plot of the predicted values and the reference values of the four models of AS00Q station

    图  13  TR169测站四种模型预报值与参考值的散点图

    Figure  13.  Scatter-plot of the predicted values and the reference values of the four models of TR169 station

    图  8  FZA0M测站四种模型预报值与参考值的散点图

    Figure  8.  Scatter-plot of the predicted values and the reference values of the four models of FZA0M station

    图  7  CAJ2M测站四种模型预报值与参考值的散点图

    Figure  7.  Scatter-plot of the predicted values and the reference values of the four models of CAJ2M station

    图  9  AT138测站四种模型预报值与参考值的散点图

    Figure  9.  Scatter-plot of the predicted values and the reference values of the four models of AT138 station

    图  11  RL052测站四种模型预报值与参考值的散点图

    Figure  11.  Scatter-plot of the predicted values and the reference values of the four models of RL052 station

    图  10  BC840测站四种模型预报值与参考值的散点图

    Figure  10.  Scatter-plot of the predicted values and the reference values of the four models of BC840 station

    图  12  GA762测站四种模型预报值与参考值的散点图

    Figure  12.  Scatter-plot of the predicted values and the reference values of the four models of GA762 station

    表  1  Dst指数与地磁活动关系

    Table  1.   Relationship between Dst index and geomagnetic activity

    Dst 指数/nT 地磁情况
    Dst > –30 地磁平静期
    –50 < Dst ≤ –30 微小磁暴
    –100 < Dst ≤ –50 中等磁暴
    –200 < Dst ≤ –100 大磁暴
    Dst ≤ –200 特大磁暴
    下载: 导出CSV

    表  2  低纬度测站模型预测TEC的精度统计

    Table  2.   Accuracy of model prediction TEC at low latitude stations

    站点 评价指标 LSTM BiLSTM CNN-LSTM-Attention CNN-BiLSTM-Attention
    AS00Q站 MAE/TECU 5.013 5.257 6.725 3.637
    RMSE/TECU 6.856 7.014 8.756 5.013
    R2 0.871 0.865 0.790 0.931
    CAJ2M站 MAE/TECU 4.126 4.304 3.666 3.303
    RMSE/TECU 5.124 5.472 4.604 4.116
    R2 0.888 0.890 0.917 0.931
    FZA0M站 MAE/TECU 5.809 6.156 5.931 5.270
    RMSE/TECU 7.602 7.976 7.695 6.983
    R2 0.920 0.912 0.918 0.932
    下载: 导出CSV

    表  3  中纬度测站模型预测TEC的精度统计

    Table  3.   Accuracy of model prediction TEC at middle latitude stations

    站点 评价指标 LSTM BiLSTM CNN-LSTM-Attention CNN-BiLSTM-Attention
    AT138站 MAE/TECU 2.150 1.896 2.001 1.482
    RMSE/TECU 2.672 2.399 2.528 2.132
    R2 0.938 0.950 0.945 0.961
    BC840站 MAE/TECU 2.385 2.856 2.533 1.494
    RMSE/TECU 3.522 3.832 3.752 2.158
    R2 0.897 0.878 0.883 0.961
    RL052站 MAE/TECU 2.082 3.702 1.774 1.529
    RMSE/TECU 2.778 5..089 2.284 2.177
    R2 0.617 0.363 0.759 0.765
    下载: 导出CSV

    表  4  高纬度测站模型预测TEC的精度统计

    Table  4.   Accuracy of model prediction TEC at high latitude stations

    站点 评价指标 LSTM BiLSTM CNN-LSTM-Attention CNN-BiLSTM-Attention
    GA762站 MAE/TECU 1.291 1.472 1.116 1.033
    RMSE/TECU 1.765 2.069 1.489 1.341
    R2 0.790 0.711 0.850 0.883
    TR169站 MAE/TECU 1.288 1.233 1.254 0.882
    RMSE/TECU 1.750 1.678 1.709 1.175
    R2 0.868 0.878 0.874 0.940
    下载: 导出CSV
  • [1] YUAN Yunbin. Study on Theories and Methods of Correcting Ionospheric Delay and Monitoring Ionosphere Based on GPS[D]. Wuhan: Institute of Geodesy and Geophysics, Chinese Academy of Sciences, 2002
    [2] YUAN Yunbin, HUO Xingliang, ZHANG Baocheng. Research progress of precise models and correction for GNSS ionospheric delay in China over recent years[J]. Acta Geodaetica et Cartographica Sinica, 2017, 46(10): 1364-1378 (袁运斌, 霍星亮, 张宝成. 近年来我国GNSS电离层延迟精确建模及修正研究进展[J]. 测绘学报, 2017, 46(10): 1364-1378 doi: 10.11947/j.AGCS.2017.20170349

    YUAN Yunbin, HUO Xingliang, ZHANG Baocheng. Research progress of precise models and correction for GNSS ionospheric delay in China over recent years[J]. Acta Geodaetica et Cartographica Sinica, 2017, 46(10): 1364-1378 doi: 10.11947/j.AGCS.2017.20170349
    [3] HAN Xihao, ZHENG Shuaiyong, YANG Jianlei, et al. Status and development of the ionospheric error correction techniques in satellite navigation[J]. GNSS World of China, 2024, 49(2): 111-126 (韩喜豪, 郑帅勇, 杨建雷, 等. 卫星导航中电离层误差校正技术现状与发展[J]. 全球定位系统, 2024, 49(2): 111-126 doi: 10.12265/j.gnss.2023105

    HAN Xihao, ZHENG Shuaiyong, YANG Jianlei, et al. Status and development of the ionospheric error correction techniques in satellite navigation[J]. GNSS World of China, 2024, 49(2): 111-126 doi: 10.12265/j.gnss.2023105
    [4] ZhANG Ting. Study on Empirical Model of Ionospheric TEC Based on Multi-Source Data[D]. Zibo: Shandong University of Technology, 2023
    [5] ZHANG B B, WANG Z T, SHEN Y, et al. Evaluation of f0F2 and hmF2 parameters of IRI-2016 model in different latitudes over China under high and low solar activity years[J]. Remote Sensing, 2022, 14(4): 860 doi: 10.3390/rs14040860
    [6] FENG J D, ZHANG Y B, LI W, et al. Analysis of ionospheric TEC response to solar and geomagnetic activities at different solar activity stages[J]. Advances in Space Research, 2023, 71(5): 2225-2239 doi: 10.1016/j.asr.2022.10.032
    [7] TANG Siyu, HUANG Zhi. Prediction of ionospheric total electron content based on causal convolutional and LSTM network[J]. Chinese Journal of Space Science, 2022, 42(3): 357-365 (唐丝语, 黄智. 基于因果卷积与LSTM网络的电离层总电子含量预报[J]. 空间科学学报, 2022, 42(3): 357-365 doi: 10.11728/cjss2022.03.210401042

    TANG Siyu, HUANG Zhi. Prediction of ionospheric total electron content based on causal convolutional and LSTM network[J]. Chinese Journal of Space Science, 2022, 42(3): 357-365 doi: 10.11728/cjss2022.03.210401042
    [8] TANG Jun, ZHONG Zhengyu, LI Yinjian, et al. Short-term prediction model of ionospheric TEC based on SSA-Elman neural network[J]. Journal of Geodesy and Geodynamics, 2022, 42(4): 378-383 (汤俊, 钟正宇, 李垠健, 等. 基于SSA-Elman神经网络的电离层TEC短期预报模型[J]. 大地测量与地球动力学, 2022, 42(4): 378-383

    TANG Jun, ZHONG Zhengyu, LI Yinjian, et al. Short-term prediction model of ionospheric TEC based on SSA-Elman neural network[J]. Journal of Geodesy and Geodynamics, 2022, 42(4): 378-383
    [9] LIU Haijun, LEI Dongxing, YUAN Jing, et al. Ionospheric TEC prediction based on Attention-LSTM[J]. Chinese Journal of Geophysics, 2024, 67(2): 439-451 (刘海军, 雷东兴, 袁静, 等. 基于注意力机制LSTM的电离层TEC预测[J]. 地球物理学报, 2024, 67(2): 439-451 doi: 10.6038/cjg2022Q0603

    LIU Haijun, LEI Dongxing, YUAN Jing, et al. Ionospheric TEC prediction based on Attention-LSTM[J]. Chinese Journal of Geophysics, 2024, 67(2): 439-451 doi: 10.6038/cjg2022Q0603
    [10] WU Han, HUANG Ling, LIU Lilong, et al. Short term prediction model of ionospheric TEC based on SSA-LSTM[J]. Journal of Geodesy and Geodynamics, 2022, 42(6): 626-630,654 (吴晗, 黄玲, 刘立龙, 等. 基于SSA-LSTM的短期电离层TEC组合预报模型[J]. 大地测量与地球动力学, 2022, 42(6): 626-630,654

    WU Han, HUANG Ling, LIU Lilong, et al. Short term prediction model of ionospheric TEC based on SSA-LSTM[J]. Journal of Geodesy and Geodynamics, 2022, 42(6): 626-630,654
    [11] TANG J, LI Y J, DING M F, et al. An ionospheric TEC forecasting model based on a CNN-LSTM-Attention mechanism neural network[J]. Remote Sensing, 2022, 14(10): 2433 doi: 10.3390/rs14102433
    [12] CHEN Jianghe, XIONG Pan, WU Haochen, et al. A multi-parameter fusion forecast model of ionospheric TEC in the Beijing-Tianjin-Hebei region[J]. Earthquake, 2024, 44(2): 12-32 (陈江河, 熊攀, 武浩琛, 等. 京津冀区域电离层TEC多参数融合预测模型[J]. 地震, 2024, 44(2): 12-32 doi: 10.12196/j.issn.1000-3274.2024.02.002

    CHEN Jianghe, XIONG Pan, WU Haochen, et al. A multi-parameter fusion forecast model of ionospheric TEC in the Beijing-Tianjin-Hebei region[J]. Earthquake, 2024, 44(2): 12-32 doi: 10.12196/j.issn.1000-3274.2024.02.002
    [13] MA Bin, HUANG Ling, WU Han, et al. Study on the NeuralProphet forecast TEC model over China during the severe geomagnetic storm in March 2015[J]. Chinese Journal of Geophysics, 2024, 67(2): 452-460 (马彬, 黄玲, 吴晗, 等. 2015年3月特大磁暴期间中国区域电离层TEC NeuralProphet预报模型研究[J]. 地球物理学报, 2024, 67(2): 452-460 doi: 10.6038/cjg2023R0225

    MA Bin, HUANG Ling, WU Han, et al. Study on the NeuralProphet forecast TEC model over China during the severe geomagnetic storm in March 2015[J]. Chinese Journal of Geophysics, 2024, 67(2): 452-460 doi: 10.6038/cjg2023R0225
    [14] YANG Mo, WANG Jing. A spatial-temporal attention based BiLSTM for stock index prediction[J]. Operations Research and Management Science, 2023, 32(8): 174-180 (杨蓦, 王静. 基于时空注意力机制的双向长短期记忆神经网络的股指预测研究[J]. 运筹与管理, 2023, 32(8): 174-180

    YANG Mo, WANG Jing. A spatial-temporal attention based BiLSTM for stock index prediction[J]. Operations Research and Management Science, 2023, 32(8): 174-180
    [15] YANG Zixing. Research on Short-Term Wind Power Prediction Based on Hybrid CNN-BiLSTM-AM Model[D]. Beijing: Beijing Jiaotong University, 2023
    [16] ZHANG Zhenchao. Remote Sensing Image Based on Convolutional Neural Network Model Scene Classification Research[D]. Ganzhou: Jiangxi University of Science and Technology, 2022 (张振超. 基于卷积神经网络模型的遥感影像场景分类研究[D]. 赣州: 江西理工大学, 2022

    ZHANG Zhenchao. Remote Sensing Image Based on Convolutional Neural Network Model Scene Classification Research[D]. Ganzhou: Jiangxi University of Science and Technology, 2022
    [17] LIU Libo, CHEN Yiding, ZHANG Ruilong, et al. Some investigations of ionospheric diurnal variation[J]. Reviews of Geophysics and Planetary Physics, 2021, 52(6): 647-661
    [18] ZHANG Ting, ZHAO Qingxin, ZHONG Huixin, et al. Accuracy analysis of IRI 2016 model in ocean and land areas[J]. Science of Surveying and Mapping, 2021, 46(9): 14-33 (张亭, 赵庆鑫, 钟慧鑫, 等. 国际参考电离层2016模型在陆海区域的精度分析[J]. 测绘科学, 2021, 46(9): 14-33

    ZHANG Ting, ZHAO Qingxin, ZHONG Huixin, et al. Accuracy analysis of IRI 2016 model in ocean and land areas[J]. Science of Surveying and Mapping, 2021, 46(9): 14-33
    [19] SONG Rui. Modeling Ionospheric f0F2 in China and Its Research on Application[D]. Beijing: Institute of Earthquake Forecasting, China Earthquake Administration, 2018
    [20] GUO Qijia, YAO Yibin, ZHOU Yongjiang. PM2.5 random forest prediction model incorporating GNSS meteorological parameters[J]. Science of Surveying and Mapping, 2021, 46(4): 37-42,56
  • 加载中
图(13) / 表(4)
计量
  • 文章访问数:  738
  • HTML全文浏览量:  306
  • PDF下载量:  103
  • 被引次数: 

    0(来源:Crossref)

    0(来源:其他)

出版历程
  • 收稿日期:  2024-07-04
  • 修回日期:  2024-12-16
  • 网络出版日期:  2024-12-17

目录

    /

    返回文章
    返回