留言板

尊敬的读者、作者、审稿人, 关于本刊的投稿、审稿、编辑和出版的任何问题, 您可以本页添加留言。我们将尽快给您答复。谢谢您的支持!

姓名
邮箱
手机号码
标题
留言内容
验证码

基于LSTM Spatio-temporal Transformer的电离层TEC预测模型

尹萍 王朝钰

尹萍, 王朝钰. 基于LSTM Spatio-temporal Transformer的电离层TEC预测模型[J]. 空间科学学报, 2025, 45(5): 1243-1255. doi: 10.11728/cjss2025.05.2024-0117
引用本文: 尹萍, 王朝钰. 基于LSTM Spatio-temporal Transformer的电离层TEC预测模型[J]. 空间科学学报, 2025, 45(5): 1243-1255. doi: 10.11728/cjss2025.05.2024-0117
YIN Ping, WANG Chaoyu. Ionospheric TEC Prediction Model Based on LSTM Spatio-temporal Transformer (in Chinese). Chinese Journal of Space Science, 2025, 45(5): 1243-1255 doi: 10.11728/cjss2025.05.2024-0117
Citation: YIN Ping, WANG Chaoyu. Ionospheric TEC Prediction Model Based on LSTM Spatio-temporal Transformer (in Chinese). Chinese Journal of Space Science, 2025, 45(5): 1243-1255 doi: 10.11728/cjss2025.05.2024-0117

基于LSTM Spatio-temporal Transformer的电离层TEC预测模型

doi: 10.11728/cjss2025.05.2024-0117 cstr: 32142.14.cjss.2024-0117
详细信息
    作者简介:
    • 王朝钰 男, 1998年出生于湖北省鄂州市, 硕士研究生, 研究方向为卫星导航技术、电离层遥感遥测成像, 深度学习, 智能布粮装置. E-mail: 2512609881@qq.com
    通讯作者:
    • 尹萍 女, 1970年出生于天津市, 现为中国民航大学电子信息与自动化学院副研究员, 博士, 硕士生导师, 主要研究方向为卫星导航技术、电离层/大气层遥感遥测、层析成像与探测等. E-mail: pyin2001@hotmail.com
  • 中图分类号: P352

Ionospheric TEC Prediction Model Based on LSTM Spatio-temporal Transformer

  • 摘要: 电离层总电子含量(TEC)是研究电离层时空变化的重要参数. 本文提出一种结合时空Transformer (STT)与长短期记忆网络(LSTM), 并引入时空注意力机制的电离层TEC组合预测模型(LSTM-STT). 利用2000-2023年国际GNSS服务欧洲定轨中心(CODE)提供的中国及其周边地区的TEC数据, 时间范围覆盖8766 d, 采用滑动窗口方法对数据进行处理, 模型以前48 h的TEC数据以及辅助参数作为输入, 用于预测后24 h的TEC数据, 据此构建了8764个样本. 为验证模型性能, 分别在2018年(太阳活动低年)和2023年(太阳活动高年)开展实验进行预测分析. 研究结果表明, 模型在2018年测试集上全部样本的均方根误差(RMSE)均值为1.3981 TECU, 相对精度均值为90.2524%; 在2023年测试集上全部样本的RMSE均值为4.6262 TECU, 相对精度均值为89.9208%, 说明模型在不同太阳活动状态下均表现出良好的预测性能.

     

  • 图  1  LSTM Spatio-temporal transformer模型结构

    Figure  1.  Structure of the LSTM Spatio-temporal transformer model

    图  2  模型在2018年测试集上的RMSE分布直方图(a)和相对精度分布直方图(b)

    Figure  2.  Histogram of RMSE distribution (a) and histogram of average relative accuracy distribution (b) of the model on the test set in 2018

    图  3  模型在2023年测试集上的RMSE分布直方图(a)和平均相对精度分布直方图(b)

    Figure  3.  Histogram of RMSE distribution (a) and histogram of average relative accuracy distribution (b) of the model on the test set in 2023

    图  4  模型在2018年测试集上每天的RMSE分布

    Figure  4.  Daily RMSE distribution of the model on the test set in 2018

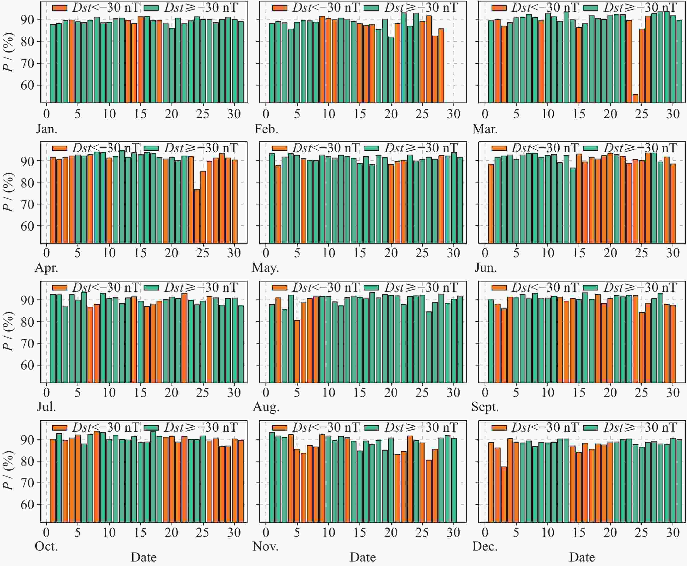
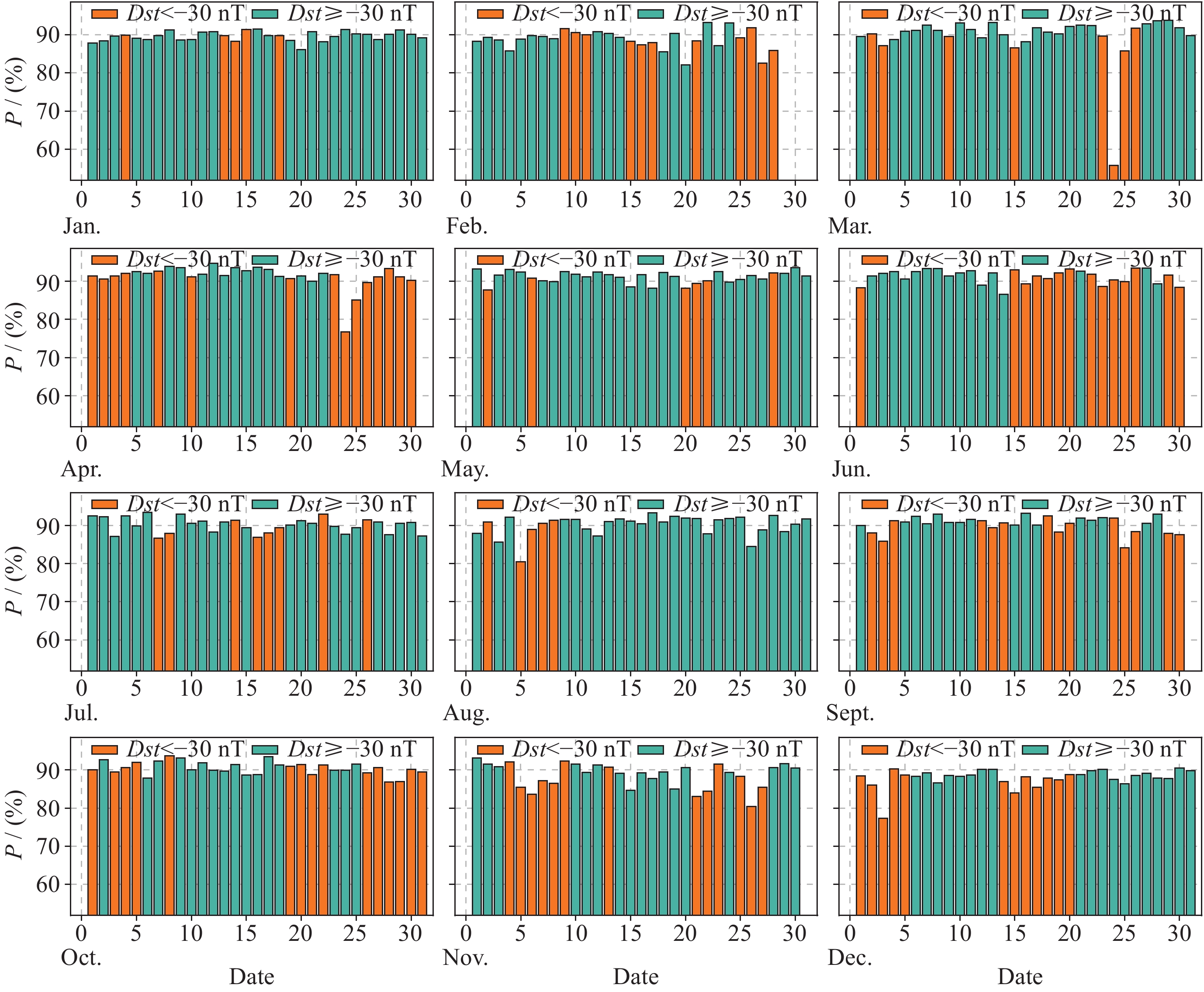
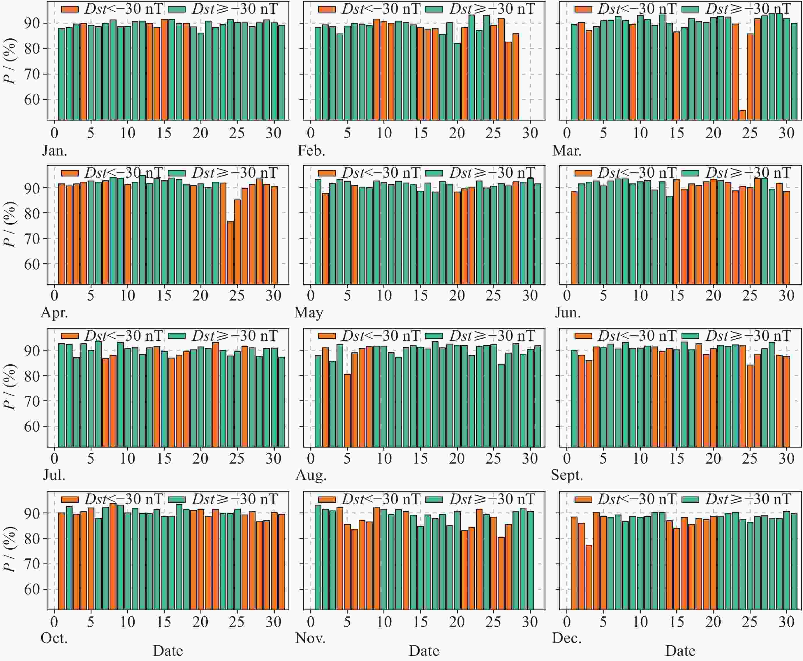
    图  5  模型在2018年测试集上每天的平均相对精度分布

    Figure  5.  Daily average relative accuracy distribution of the model on the test set in 2018

    图  6  模型在2023年测试集上每天的RMSE分布

    Figure  6.  Daily RMSE distribution of the model on the test set in 2023

    图  7  模型在2023年测试集上每天的平均相对精度分布

    Figure  7.  Daily average relative accuracy distribution of the model on the test set in 2023

    图  8  2018年1月28日地磁平静期(a)与8月26日磁暴期(b)的TEC预测对比

    Figure  8.  Comparison of TEC predictions during the geomagnetic quiet period on 28 January (a) and geomagnetic storm period on 26 August (b) 2018

    图  9  2023年7月1日地磁平静期 (a)与11月5日磁暴期(b)的TEC预测对比

    Figure  9.  Comparison of TEC predictions during the geomagnetic quiet period on 1 July (a) and geomagnetic storm period on 5 November (b) 2023

    表  1  以太阳活动低年(2018年)作为测试集的划分策略

    Table  1.   Segmentation strategy with a low solar activity year (2018) as the test set

    名称训练集验证集测试集
    时间范围2000-2016年, 2019-2023年2017年2018年
    样本数量8034365365
    下载: 导出CSV

    表  2  以太阳活动高年(2023年)作为测试集的划分策略

    Table  2.   Segmentation strategy with a high solar activity year (2023) as the test set

    名称训练集验证集测试集
    时间范围2000-2021年2022年2023年
    样本数量8034365365
    下载: 导出CSV
  • [1] XIONG Nianlu, TANG Cunchen, LI Xingjian. Introduction to Ionospheric Physics[M]. Wuhan: Wuhan University Press, 1999 (熊年禄, 唐存琛, 李行健. 电离层物理概论[M]. 武汉: 武汉大学出版社, 1999

    XIONG Nianlu, TANG Cunchen, LI Xingjian. Introduction to Ionospheric Physics[M]. Wuhan: Wuhan University Press, 1999
    [2] LIU Shuqiong, GAO Xin, LI Changchun. Prediction models of ionospheric TEC by EEMD and radial basis function neural network[J]. Engineering of Surveying and Mapping, 2020, 29(3): 15-19 (刘淑琼, 高鑫, 李长春. EEMD-RBF神经网络的电离层TEC预报模型[J]. 测绘工程, 2020, 29(3): 15-19 doi: 10.19349/j.cnki.issn1006-7949.2020.03.004

    LIU Shuqiong, GAO Xin, LI Changchun. Prediction models of ionospheric TEC by EEMD and radial basis function neural network[J]. Engineering of Surveying and Mapping, 2020, 29(3): 15-19 doi: 10.19349/j.cnki.issn1006-7949.2020.03.004
    [3] HU Wenquan. Application of improved model based on RBF neural network in ionospheric TEC prediction[J]. Geomatics :Times New Roman;">& Spatial Information Technology, 2023, 46(8): 164-167 (胡文权. 基于RBF神经网络的改进模型在电离层TEC预报中的应用[J]. 测绘与空间地理信息, 2023, 46(8): 164-167 doi: 10.3969/j.issn.1672-5867.2023.08.044

    HU Wenquan. Application of improved model based on RBF neural network in ionospheric TEC prediction[J]. Geomatics & Spatial Information Technology, 2023, 46(8): 164-167 doi: 10.3969/j.issn.1672-5867.2023.08.044
    [4] TANG Jun, LI Yinjian, ZHONG Zhengyu, et al. Prediction model of ionospheric TEC by EOF and LSTM neural network[J]. Journal of Geodesy and Geodynamics, 2021, 41(9): 911-915,944 (汤俊, 李垠健, 钟正宇, 等. EOF-LSTM神经网络的电离层TEC预报模型[J]. 大地测量与地球动力学, 2021, 41(9): 911-915,944 doi: 10.14075/j.jgg.2021.09.005

    TANG Jun, LI Yinjian, ZHONG Zhengyu, et al. Prediction model of ionospheric TEC by EOF and LSTM neural network[J]. Journal of Geodesy and Geodynamics, 2021, 41(9): 911-915,944 doi: 10.14075/j.jgg.2021.09.005
    [5] TANG Jun, GAO Xin. Prediction models of Ionospheric TEC by MEEMD and Elman recurrent neural network[J]. Journal of Geodesy and Geodynamics, 2020, 40(4): 395-399 (汤俊, 高鑫. MEEMD-Elman神经网络的电离层TEC预报模型[J]. 大地测量与地球动力学, 2020, 40(4): 395-399 doi: 10.14075/j.jgg.2020.04.014

    TANG Jun, GAO Xin. Prediction models of Ionospheric TEC by MEEMD and Elman recurrent neural network[J]. Journal of Geodesy and Geodynamics, 2020, 40(4): 395-399 doi: 10.14075/j.jgg.2020.04.014
    [6] NI Yude, YAN Miaoyu, LIU Ruihua. Short-term prediction of ionospheric TEC based on DOA-BP neural network[J]. Acta Aeronautica et Astronautica Sinica, 2024, 45(4): 328707 (倪育德, 闫苗玉, 刘瑞华. 基于DOA-BP神经网络的电离层TEC短期预测[J]. 航空学报, 2024, 45(4): 328707 doi: 10.7527/S1000-6893.2023.28707

    NI Yude, YAN Miaoyu, LIU Ruihua. Short-term prediction of ionospheric TEC based on DOA-BP neural network[J]. Acta Aeronautica et Astronautica Sinica, 2024, 45(4): 328707 doi: 10.7527/S1000-6893.2023.28707
    [7] TANG Jun, ZHONG Zhengyu, DING Mingfei, et al. A prediction model of ionospheric TEC in China based on Elman neural network improved by Particle Swarm Optimization algorithm[J/OL]. Geomatics and Information Science of Wuhan University, 1-15[2024-12-03]. http://kns.cnki.net/kcms/detail/42.1676.TN.20230403.1808.005.html (汤俊, 钟正宇, 丁明飞, 等. 利用粒子群算法改进Elman神经网络的中国区域电离层TEC预报[J/OL]. 武汉大学学报(信息科学版), 1-15[2024-12-03]. http://kns.cnki.net/kcms/detail/42.1676.TN.20230403.1808.005.html

    TANG Jun, ZHONG Zhengyu, DING Mingfei, et al. A prediction model of ionospheric TEC in China based on Elman neural network improved by Particle Swarm Optimization algorithm[J/OL]. Geomatics and Information Science of Wuhan University, 1-15[2024-12-03]. http://kns.cnki.net/kcms/detail/42.1676.TN.20230403.1808.005.html
    [8] YUAN Yuhuan, XIA Guozhen, ZHANG Xinmiao, et al. Synthesis-style auto-correlationbased transformer: A learner on ionospheric TEC series forecasting[J/OL]. Space Weather, 2023, 21, e2023SW003472. https://doi.org/10.1029/2023SW003472
    [9] YUAN Tianjiao, CHEN Yanhong, LIU Siqing, et al. Prediction model for ionospheric total electron content based on deep learning recurrent neural network[J]. Chinese Journal of Space Science, 2018, 38(1): 48-57 (袁天娇, 陈艳红, 刘四清, 等. 基于深度学习递归神经网络的电离层总电子含量经验预报模型[J]. 空间科学学报, 2018, 38(1): 48-57 doi: 10.11728/cjss2018.01.048

    YUAN Tianjiao, CHEN Yanhong, LIU Siqing, et al. Prediction model for ionospheric total electron content based on deep learning recurrent neural network[J]. Chinese Journal of Space Science, 2018, 38(1): 48-57 doi: 10.11728/cjss2018.01.048
    [10] ZHANG Fubin, ZHOU Chen, WANG Cheng, et al. Global ionospheric TEC prediction based on deep learning[J]. Chinese Journal of Radio Science, 2021, 36(4): 553-561 (张富彬, 周晨, 王成, 等. 基于深度学习的全球电离层TEC预测[J]. 电波科学学报, 2021, 36(4): 553-561 doi: 10.13443/j.cjors.2020051101

    ZHANG Fubin, ZHOU Chen, WANG Cheng, et al. Global ionospheric TEC prediction based on deep learning[J]. Chinese Journal of Radio Science, 2021, 36(4): 553-561 doi: 10.13443/j.cjors.2020051101
    [11] REN X C, ZHAO B Q, REN Z P, et al. Deep learning‐based prediction of global ionospheric TEC during storm periods: Mixed CNN‐BiLSTM method[J]. Space Weather, 2024, 22(7): e2024SW003877 doi: 10.1029/2024SW003877
    [12] YIN Ping, YAN Xiaopeng, NING Zehao. A combined forecasting method of ionospheric tomography TEC based on LSTM and IRI model[J]. Chinese Journal of Radio Science, 2022, 37(5): 852-861 (尹萍, 闫晓鹏, 宁泽浩. 一种基于LSTM与IRI模型的电离层层析TEC组合预测方法[J]. 电波科学学报, 2022, 37(5): 852-861 doi: 10.12265/j.cjors.2021271

    YIN Ping, YAN Xiaopeng, NING Zehao. A combined forecasting method of ionospheric tomography TEC based on LSTM and IRI model[J]. Chinese Journal of Radio Science, 2022, 37(5): 852-861 doi: 10.12265/j.cjors.2021271
    [13] LIU Haijun, LEI Dongxing, YUAN Jing, et al. Ionospheric TEC prediction based on Attention-LSTM[J]. Chinese Journal of Geophysics, 2024, 67(2): 439-451 (刘海军, 雷东兴, 袁静, 等. 基于注意力机制LSTM的电离层TEC预测[J]. 地球物理学报, 2024, 67(2): 439-451 doi: 10.6038/cjg2022Q0603

    LIU Haijun, LEI Dongxing, YUAN Jing, et al. Ionospheric TEC prediction based on Attention-LSTM[J]. Chinese Journal of Geophysics, 2024, 67(2): 439-451 doi: 10.6038/cjg2022Q0603
    [14] SHIH C Y, LIN C Y T, LIN S Y, et al. Forecasting of global ionosphere maps with multi-day lead time using Transformer-based neural networks[J]. Space Weather, 2024, 22(2): e2023SW003579 doi: 10.1029/2023SW003579
    [15] YIN Mengting, ZOU Ziming, ZHONG Jia. A prediction model of the grid point ionospheric TEC[J]. Chinese Journal of Space Science, 2021, 41(4): 568-579 (殷梦婷, 邹自明, 钟佳. 一种电离层TEC格点预测模型[J]. 空间科学学报, 2021, 41(4): 568-579 doi: 10.11728/cjss2021.04.568

    YIN Mengting, ZOU Ziming, ZHONG Jia. A prediction model of the grid point ionospheric TEC[J]. Chinese Journal of Space Science, 2021, 41(4): 568-579 doi: 10.11728/cjss2021.04.568
    [16] TANG J, ZHONG Z Y, HU J C, et al. Forecasting regional Ionospheric TEC maps over china using BiConvGRU deep learning[J]. Remote Sensing, 2023, 15(13): 3405 doi: 10.3390/rs15133405
    [17] REN X D, YANG P X, MEI D K, et al. Global ionospheric TEC forecasting for geomagnetic storm time using a deep learning-based multi-model ensemble method[J]. Space Weather, 2023, 21(3): e2022SW003231 doi: 10.1029/2022SW003231
    [18] LI Yongtao, LI Jianwen, DAI Taogao, et al. Influence of solar activity on ionospheric TEC change[J]. Chinese Journal of Space Science, 2018, 38(6): 847-854 (李涌涛, 李建文, 代桃高, 等. 太阳活动对电离层TEC变化影响分析[J]. 空间科学学报, 2018, 38(6): 847-854 doi: 10.11728/cjss2018.06.847

    LI Yongtao, LI Jianwen, DAI Taogao, et al. Influence of solar activity on ionospheric TEC change[J]. Chinese Journal of Space Science, 2018, 38(6): 847-854 doi: 10.11728/cjss2018.06.847
    [19] ZHAO Haishan, YANG Li, XU Shiyi. Analysis of ionospheric TEC variation characteristics in solar activity years[J]. Journal of Navigation and Positioning, 2017, 5(1): 24-30 (赵海山, 杨力, 徐世依. 太阳活动高低年电离层TEC变化特性分析[J]. 导航定位学报, 2017, 5(1): 24-30 doi: 10.16547/j.cnki.10-1096.20170106

    ZHAO Haishan, YANG Li, XU Shiyi. Analysis of ionospheric TEC variation characteristics in solar activity years[J]. Journal of Navigation and Positioning, 2017, 5(1): 24-30 doi: 10.16547/j.cnki.10-1096.20170106
    [20] AN Yuzhu, ZHANG Ren, WANG Weimin, et al. Correlation analysis between sunspot and TEC[J]. Journal of PLA University of Science and Technology (Natural Science Edition), 2012, 13(5): 571-576 (安玉柱, 张韧, 王伟民, 等. 太阳黑子数与电离层TEC的相关性分析[J]. 解放军理工大学学报(自然科学版), 2012, 13(5): 571-576

    AN Yuzhu, ZHANG Ren, WANG Weimin, et al. Correlation analysis between sunspot and TEC[J]. Journal of PLA University of Science and Technology (Natural Science Edition), 2012, 13(5): 571-576
    [21] LIU Libo, WAN Weixing, CHEN Yiding, et al. Solar activity effects of the ionosphere: A brief review[J]. Chinese Science Bulletin, 2011, 56(12): 1202-1211 (刘立波, 万卫星, 陈一定, 等. 电离层与太阳活动性关系[J]. 科学通报, 2011, 56(7): 477-487. DOI: 10.1007/s11434-010-04226-9

    LIU Libo, WAN Weixing, CHEN Yiding, et al. Solar activity effects of the ionosphere: A brief review[J]. Chinese Science Bulletin, 2011, 56(12): 1202-1211
    [22] China Meteorological Administration. QX/T 239-2014 Levels of geomagnetic activity[S]. Beijing: China Meteorological Press, 2014 (中国气象局. QX/T 239-2014 地磁活动水平分级[S]. 北京: 中国气象出版社, 2014

    China Meteorological Administration. QX/T 239-2014 Levels of geomagnetic activity[S]. Beijing: China Meteorological Press, 2014
    [23] LIAO Wenti, CHEN Zhou, ZHAO Yuxin, et al. Short- and medium-term forecasting of global ionospheric TEC map based on hybrid model LSTM-DNN[J]. Spacecraft Environment Engineering, 2021, 38(3): 281-286 (廖文梯, 陈洲, 赵瑜馨, 等. 利用混合模型LSTM-DNN进行全球电离层TEC map的中短期预报[J]. 航天器环境工程, 2021, 38(3): 281-286 doi: 10.12126/see.2021.03.007

    LIAO Wenti, CHEN Zhou, ZHAO Yuxin, et al. Short- and medium-term forecasting of global ionospheric TEC map based on hybrid model LSTM-DNN[J]. Spacecraft Environment Engineering, 2021, 38(3): 281-286 doi: 10.12126/see.2021.03.007
  • 加载中
图(9) / 表(2)
计量
  • 文章访问数:  872
  • HTML全文浏览量:  489
  • PDF下载量:  161
  • 被引次数: 

    0(来源:Crossref)

    0(来源:其他)

出版历程
  • 收稿日期:  2024-09-12
  • 修回日期:  2025-03-28
  • 网络出版日期:  2025-03-30

目录

    /

    返回文章
    返回