留言板

尊敬的读者、作者、审稿人, 关于本刊的投稿、审稿、编辑和出版的任何问题, 您可以本页添加留言。我们将尽快给您答复。谢谢您的支持!

姓名
邮箱
手机号码
标题
留言内容
验证码

合声波引起的外辐射带相对论电子投掷角分布快速演化

岳佳旭 赵晖 杨昶 张赛

岳佳旭, 赵晖, 杨昶, 张赛. 合声波引起的外辐射带相对论电子投掷角分布快速演化[J]. 空间科学学报, 2025, 45(5): 1188-1196. doi: 10.11728/cjss2025.05.2024-0187
引用本文: 岳佳旭, 赵晖, 杨昶, 张赛. 合声波引起的外辐射带相对论电子投掷角分布快速演化[J]. 空间科学学报, 2025, 45(5): 1188-1196. doi: 10.11728/cjss2025.05.2024-0187
YUE Jiaxu, ZHAO Hui, YANG Chang, ZHANG Sai. Rapid Evolution of the Relativistic Electron Pitch Angle Distributions Caused by Chorus in the Earth’s Outer Radiation Belt (in Chinese). Chinese Journal of Space Science, 2025, 45(5): 1188-1196 doi: 10.11728/cjss2025.05.2024-0187
Citation: YUE Jiaxu, ZHAO Hui, YANG Chang, ZHANG Sai. Rapid Evolution of the Relativistic Electron Pitch Angle Distributions Caused by Chorus in the Earth’s Outer Radiation Belt (in Chinese). Chinese Journal of Space Science, 2025, 45(5): 1188-1196 doi: 10.11728/cjss2025.05.2024-0187

合声波引起的外辐射带相对论电子投掷角分布快速演化

doi: 10.11728/cjss2025.05.2024-0187 cstr: 32142.14.cjss.2024-0187
基金项目: 国家自然科学基金项目(42374215)和湖南省教育厅资助科研项目(21A0212)共同资助
详细信息
    作者简介:
    • 岳佳旭 男, 2001年1月出生于河北省秦皇岛市, 现为长沙理工大学物理与电子科学学院硕士研究生, 主要研究方向为辐射带波–粒相互作用等. E-mail: yuejx170514@163.com
    通讯作者:
    • 杨昶 男, 1977年7月出生于湖南省永州市, 现为长沙理工大学特聘教授, 硕士生导师, 主要研究方向为地球磁层带电粒子的分布和演化、辐射带波–粒相互作用等. E-mail: yangchang@163.com
  • 中图分类号: P354

Rapid Evolution of the Relativistic Electron Pitch Angle Distributions Caused by Chorus in the Earth’s Outer Radiation Belt

  • 摘要: 投掷角是带电粒子运动方向与背景磁场的夹角, 研究电子投掷角分布对于理解地球辐射带动力学演化具有重要意义. 本文利用范艾伦探针数据, 对2016年9月7日15:19-15:49 UT期间发生的一次外辐射带相对论电子投掷角分布演化事例进行了详细分析. 卫星在此期间运行于远地点附近, 轨道速度较慢, 空间位置变化很小, 基本保持在L≈5.8, MLT≈2, Mlat≈1.7° 附近, 因此可以忽略位置变化对观测结果的影响. 卫星数据显示相对论电子的投掷角分布在30 min内从蝴蝶型分布逐步转变为平顶型分布, 且该区域存在强的哨声模合声波. 数值模拟结果表明哨声模合声波对高能电子的扩散作用是导致该事件中电子投掷角分布转变的主要物理机制. 本文研究进一步证明了合声波对于辐射带演化的重要意义.

     

  • 图  1  地磁活动指数SYM-H (a), 2016年9月7日由Probe-B上的EMFISIS测量的磁场谱(b)和电场谱(c). (b)(c)中的点划线、虚线和白色实线分别表示电子回旋频率1.0 fce, 0.5 fce和0.1 fce

    Figure  1.  Geomagnetic activity index SYM-H (a). The magnetic field spectrum (b) and electric field spectrum (c), where the dot-dashed, dashed and solid white lines in both panels represent 1.0 fce, 0.5 fce and 0.1 fce respectively

    图  2  2016年9月7日15:19-15:49 UT期间由Probe-B测量的1.0~2.6 MeV电子微分通量 (实验数据进行了时间尺度为2 min的滑动平均处理)

    Figure  2.  Differential flux of 1.0~2.6 MeV electrons measured by Probe-B during 15:19-15:49 UT on 7 September 2016 (The experimental data has been processed using a 2-minute moving average)

    图  3  2016年9月7日15:19-15:49 UT期间观测波磁场谱的高斯拟合 (绿色点表示观测到的波谱, 红色圆圈表示这个频率区间内波谱密度的平均值, 蓝线表示高斯拟合结果)

    Figure  3.  Gaussian fitting of the magnetic field spectrum of the observed waves during 15:19-15:39 UT on 7 September 2016 (The green dots represent the observed wave spectra, the red circles denote the averaged spectra over each period and the blue lines show the fitting results)

    图  4  弹跳平均投掷角(a)、动量(b)和交叉扩散系数(c)的计算结果

    Figure  4.  Calculation results of the bounce-averaged pitch angle (a), momentum (b) and cross diffusion coefficients (c)

    图  5  观测与模拟得到的微分通量j的比较. (a) 为初始状态, (b)~(d)为每10 min后的观测结果 与模拟结果, 实线表示计算得到的演化结果(实际观测数据已在2 min时间尺度内进行了滑动平均处理)

    Figure  5.  Comparisons between the observed (dots) and simulated (lines) differential flux j. (a) Initial state, (b)~(d) comparison between the observed and simulated differential flux j at 10 min intervals. The green, blue, purple, and red circles represent the observed electron flux values at 1.0, 1.8, 2.1, and 2.6 MeV, respectively, while the solid lines show the calculated evolution results (The observed data have been smoothed using a 2-minute time window)

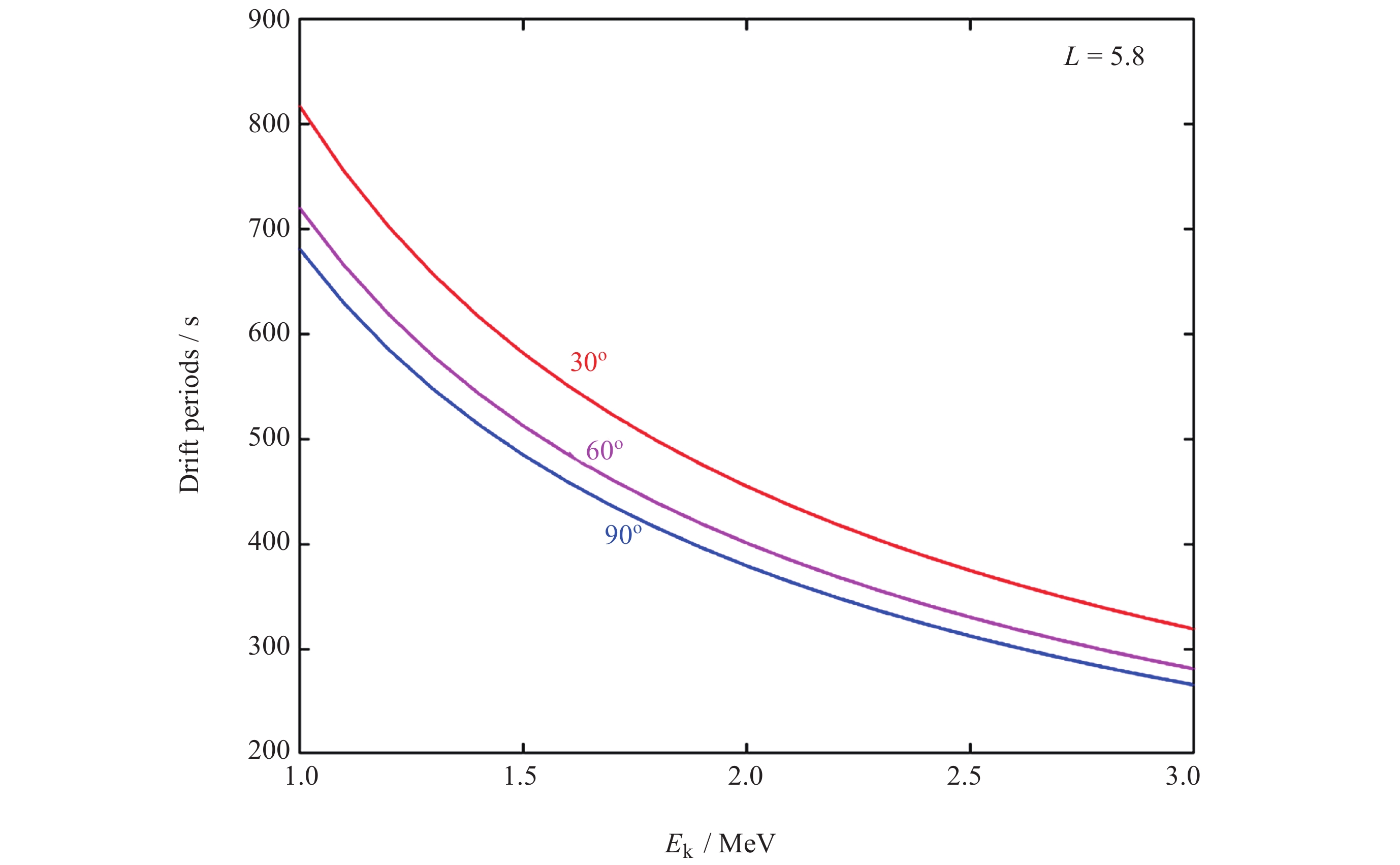
    图  6  1~3 MeV电子在L=5.8处的漂移周期

    Figure  6.  Drift period of 1~3 MeV electrons at L=5.8

  • [1] LI L Y, YANG S S, CAO J B, et al. Effects of solar wind plasma flow and interplanetary magnetic field on the spatial structure of earth's radiation belts[J]. Journal of Geophysical Research: Space Physics, 2019, 124(12): 10332-10344 doi: 10.1029/2019JA027284
    [2] LI L Y, CAO J B, ZHOU G C, et al. Statistical roles of storms and substorms in changing the entire outer zone relativistic electron population[J]. Journal of Geophysical Research: Space Physics, 2009, 114(A12): A12214
    [3] YU J, LI L Y, CAO J B, et al. Multiple loss processes of relativistic electrons outside the heart of outer radiation belt during a storm sudden commencement[J]. Journal of Geophysical Research: Space Physics, 2015, 120(12): 10275-10288
    [4] SU Z P, GAO Z L, ZHU H, et al. Nonstorm time dropout of radiation belt electron fluxes on 24 September 2013[J]. Journal of Geophysical Research: Space Physics, 2016, 121(7): 6400-6416 doi: 10.1002/2016JA022546
    [5] SU Z P, ZHU H, XIAO F L, et al. Ultra-low-frequency wave-driven diffusion of radiation belt relativistic electrons[J]. Nature Communications, 2015, 6(1): 10096 doi: 10.1038/ncomms10096
    [6] OZEKE L G, MANN I R, OLIFER L, et al. Statistical characteristics of energetic electron pitch angle distributions in the Van Allen Probe era: 1. Butterfly distributions with flux peaks at preferred pitch angles[J]. Journal of Geophysical Research: Space Physics, 2022, 127(3): e2021JA029907 doi: 10.1029/2021JA029907
    [7] LUO Qiong, NI Binbin, CAO Xing, et al. An optimized identification method for radiation belt electron butterfly pitch angle distributions based on the chi-square distribution function[J]. Chinese Journal of Geophysics, 2022, 65(3): 809-818 (罗琼, 倪彬彬, 曹兴, 等. 基于卡方分布函数的辐射带电子蝴蝶状投掷角分布的优化判别方法[J]. 地球物理学报, 2022, 65(3): 809-818

    LUO Qiong, NI Binbin, CAO Xing, et al. An optimized identification method for radiation belt electron butterfly pitch angle distributions based on the chi-square distribution function[J]. Chinese Journal of Geophysics, 2022, 65(3): 809-818
    [8] YU J, LI L Y, CAO J B, et al. The influences of solar wind pressure and interplanetary magnetic field on global magnetic field and outer radiation belt electrons[J]. Geophysical Research Letters, 2016, 43(14): 7319-7327 doi: 10.1002/2016GL069029
    [9] SIBECK D G, MCENTIRE R W, LUI A T Y, et al. Magnetic field drift shell splitting: cause of unusual dayside particle pitch angle distributions during storms and substorms[J]. Journal of Geophysical Research: Space Physics, 1987, 92(A12): 13485-13497 doi: 10.1029/JA092iA12p13485
    [10] LI L Y, YU J, CAO J B, et al. Effects of ULF waves on local and global energetic particles: particle energy and species dependences[J]. Journal of Geophysical Research: Space Physics, 2016, 121(11): 11007-11020
    [11] BRAUTIGAM D H, ALBERT J M. Radial diffusion analysis of outer radiation belt electrons during the October 9, 1990, magnetic storm[J]. Journal of Geophysical Research: Space Physics, 2000, 105(A1): 291-309 doi: 10.1029/1999JA900344
    [12] YUAN H C, LI L Y, YANG L, et al. Competing influences of earthward convection and azimuthal drift loss on the pitch angle distribution of energetic electrons[J]. Journal of Geophysical Research: Space Physics, 2024, 129(7): e2024JA032534 doi: 10.1029/2024JA032534
    [13] XIAO F L, YANG C, SU Z P, et al. Wave-driven butterfly distribution of Van Allen belt relativistic electrons[J]. Nature Communications, 2015, 6(1): 8590 doi: 10.1038/ncomms9590
    [14] LI L Y, YU J, CAO J B, et al. Roles of whistler mode waves and magnetosonic waves in changing the outer radiation belt and the slot region[J]. Journal of Geophysical Research: Space Physics, 2017, 122(5): 5431-5448 doi: 10.1002/2016JA023634
    [15] LI L Y, YU J, CAO J B, et al. Competitive influences of different plasma waves on the pitch angle distribution of energetic electrons inside and outside plasmasphere[J]. Geophysical Research Letters, 2022, 49(1): e2021GL096062 doi: 10.1029/2021GL096062
    [16] YANG Lixian, LIU Si, GAO Zhonglei, et al. Statistical study on propagation characteristics of chorus in the earth’s magnetosphere[J]. Chinese Journal of Space Science, 2024, 44(6): 998-1005 (杨立贤, 刘斯, 高中磊, 等. 地球磁层中合声波的频率与传播角分布特征[J]. 空间科学学报, 2024, 44(6): 998-1005 doi: 10.11728/cjss2024.06.2024-yg27

    YANG Lixian, LIU Si, GAO Zhonglei, et al. Statistical study on propagation characteristics of chorus in the earth’s magnetosphere[J]. Chinese Journal of Space Science, 2024, 44(6): 998-1005 doi: 10.11728/cjss2024.06.2024-yg27
    [17] XIAO F L, LIU S, TAO X, et al. Generation of extremely low frequency chorus in Van Allen radiation belts[J]. Journal of Geophysical Research: Space Physics, 2017, 122(3): 3201-3211 doi: 10.1002/2016JA023561
    [18] SANTOLÍK O, GURNETT D A, PICKETT J S, et al. Spatio‐temporal structure of storm‐time chorus[J]. Journal of Geophysical Research: Space Physics, 2003, 108(A7): 1278
    [19] LI W, THORNE R M, ANGELOPOULOS V, et al. Global distribution of whistler‐mode chorus waves observed on the THEMIS spacecraft[J]. Geophysical Research Letters, 2009, 36(9): L09104
    [20] SU Z P, ZHU H, XIAO F L, et al. Quantifying the relative contributions of substorm injections and chorus waves to the rapid outward extension of electron radiation belt[J]. Journal of Geophysical Research: Space Physics, 2014, 119(12): 10023-10040
    [21] SU Z P, ZHU H, XIAO F L, et al. Intense duskside lower band chorus waves observed by Van Allen Probes: generation and potential acceleration effect on radiation belt electrons[J]. Journal of Geophysical Research: Space Physics, 2014, 119(6): 4266-4273 doi: 10.1002/2014JA019919
    [22] HU Xiong, ZHANG Xunxie. Interaction between whistler mode wave and the electrons in the magnetosphere[J]. Chinese Journal of Space Science, 1992, 12(4): 279-286 (胡雄, 张训械. 磁层中哨声波与电子的相互作用[J]. 空间科学学报, 1992, 12(4): 279-286 doi: 10.11728/cjss1992.04.279

    HU Xiong, ZHANG Xunxie. Interaction between whistler mode wave and the electrons in the magnetosphere[J]. Chinese Journal of Space Science, 1992, 12(4): 279-286 doi: 10.11728/cjss1992.04.279
    [23] HE Tian, LIU Siqing, ZHENG Jinlei, et al. Study on high energy electron flux enhancement events and whistler chorus wave[J]. Chinese Journal of Space Science, 2013, 33(2): 170-175 (何甜, 刘四清, 郑金磊, 等. 哨声模合声波与地球同步轨道高能电子通量增强事件事例研究[J]. 空间科学学报, 2013, 33(2): 170-175 doi: 10.11728/cjss2013.02.170

    HE Tian, LIU Siqing, ZHENG Jinlei, et al. Study on high energy electron flux enhancement events and whistler chorus wave[J]. Chinese Journal of Space Science, 2013, 33(2): 170-175 doi: 10.11728/cjss2013.02.170
    [24] XIAO F L, SU Z P, ZHENG H N, et al. Three‐dimensional simulations of outer radiation belt electron dynamics including cross‐diffusion terms[J]. Journal of Geophysical Research: Space Physics, 2010, 115(A5): A05216
    [25] HE J B, JIN Y Y, XIAO F L, et al. The influence of various frequency chorus waves on electron dynamics in radiation belts[J]. Science China Technological Sciences, 2021, 64(4): 890-897 doi: 10.1007/s11431-020-1750-6
    [26] YANG C, SU Z P, XIAO F L, et al. Rapid flattening of butterfly pitch angle distributions of radiation belt electrons by whistler‐mode chorus[J]. Geophysical Research Letters, 2016, 43(16): 8339-8347 doi: 10.1002/2016GL070194
    [27] YANG C, XIAO F L, HE Y H, et al. Storm time evolution of outer radiation belt relativistic electrons by a nearly continuous distribution of chorus[J]. Geophysical Research Letters, 2018, 45(5): 2159-2167 doi: 10.1002/2017GL075894
    [28] JIN Y Y, YANG C, HE Y H, et al. Butterfly distribution of Earth’s radiation belt relativistic electrons induced by dayside chorus[J]. Science China Technological Sciences, 2018, 61(2): 212-218 doi: 10.1007/s11431-017-9067-y
    [29] KLETZING C A, BORTNIK J, HOSPODARSKY G, et al. The Electric and Magnetic Fields Instrument Suite and Integrated Science (EMFISIS): science, data, and usage best practices[J]. Space Science Reviews, 2023, 219(4): 28 doi: 10.1007/s11214-023-00973-z
    [30] BLAKE J B, CARRANZA P A, CLAUDEPIERRE S G, et al. The Magnetic Electron Ion Spectrometer (MagEIS) instruments aboard the Radiation Belt Storm Probes (RBSP) spacecraft[J]. Space Science Reviews 2013, 179(1): 383-421
    [31] BAKER D N, KANEKAL S G, HOXIE V, et al. The Relativistic Electron-Proton Telescope (REPT) investigation: design, operational properties, and science highlights[J]. Space Science Reviews, 2021, 217(5): 68 doi: 10.1007/s11214-021-00838-3
    [32] MAUK B H, FOX N J, KANEKAL S G, et al. Science objectives and rationale for the radiation belt storm probes mission[J]. Space Science Reviews, 2013, 179(1): 3-27
    [33] XIAO F L, SU Z P, ZHENG H N, et al. Modeling of outer radiation belt electrons by multidimensional diffusion process[J]. Journal of Geophysical Research: Space Physics, 2009, 114(A3): A03201
    [34] SUMMERS D. Quasi‐linear diffusion coefficients for field‐aligned electromagnetic waves with applications to the magnetosphere[J]. Journal of Geophysical Research: Space Physics, 2005, 110(A8): A08213
    [35] KURTH W S, DE PASCUALE S, FADEN J B, et al. Electron densities inferred from plasma wave spectra obtained by the waves instrument on Van Allen Probes[J]. Journal of Geophysical Research: Space Physics, 2015, 120(2): 904-914 doi: 10.1002/2014JA020857
  • 加载中
图(6)
计量
  • 文章访问数:  601
  • HTML全文浏览量:  676
  • PDF下载量:  95
  • 被引次数: 

    0(来源:Crossref)

    0(来源:其他)

出版历程
  • 收稿日期:  2024-12-16
  • 修回日期:  2025-03-18
  • 网络出版日期:  2025-03-19

目录

    /

    返回文章
    返回