留言板

尊敬的读者、作者、审稿人, 关于本刊的投稿、审稿、编辑和出版的任何问题, 您可以本页添加留言。我们将尽快给您答复。谢谢您的支持!

姓名
邮箱
手机号码
标题
留言内容
验证码

恒星掩星方法在大气氧气密度探测中的应用与进展

李政 吴小成 胡雄 闫召爱

李政, 吴小成, 胡雄, 闫召爱. 恒星掩星方法在大气氧气密度探测中的应用与进展[J]. 空间科学学报, 2025, 45(5): 1358-1375. doi: 10.11728/cjss2025.05.2025-0083
引用本文: 李政, 吴小成, 胡雄, 闫召爱. 恒星掩星方法在大气氧气密度探测中的应用与进展[J]. 空间科学学报, 2025, 45(5): 1358-1375. doi: 10.11728/cjss2025.05.2025-0083
LI Zheng, WU Xiaocheng, HU Xiong, YAN Zhaoai. Applications and Advances of Stellar Occultation Technique in Atmospheric Oxygen Density Measurement (in Chinese). Chinese Journal of Space Science, 2025, 45(5): 1358-1375 doi: 10.11728/cjss2025.05.2025-0083
Citation: LI Zheng, WU Xiaocheng, HU Xiong, YAN Zhaoai. Applications and Advances of Stellar Occultation Technique in Atmospheric Oxygen Density Measurement (in Chinese). Chinese Journal of Space Science, 2025, 45(5): 1358-1375 doi: 10.11728/cjss2025.05.2025-0083

恒星掩星方法在大气氧气密度探测中的应用与进展

doi: 10.11728/cjss2025.05.2025-0083 cstr: 32142.14.cjss.2025-0083
基金项目: 太阳活动与空间天气全国重点实验室自主课题项目资助(E5262QA2)
详细信息
    作者简介:
    • 李政 男, 1996年9月出生于浙江省丽水市, 现为中国科学院国家空间科学中心工程师, 主要研究方向为临近空间飞行环境光电遥感探测技术. E-mail: lizheng182@mails.ucas.ac.cn
    通讯作者:
    • 吴小成 男, 1981年1月出生于安徽省合肥市, 现为中国科学院国家空间科学中心研究员, 硕士生导师, 主要研究方向为数据同化技术研究、掩星技术研究等. E-mail: xcwu@nssc.ac.cn
  • 中图分类号: P356

Applications and Advances of Stellar Occultation Technique in Atmospheric Oxygen Density Measurement

  • 摘要: 临近空间大气氧气密度是研究地球大气结构、热力学特性和空间天气过程的关键参数, 对研究大气建模预报、空间目标轨道预测等具有重要科学和应用价值. 然而, 传统探测手段在垂直分辨率、全球覆盖和长期监测方面存在局限. 恒星掩星技术作为一种被动遥感方法, 通过分析日光或星光穿过大气时的吸收特征, 为氧气密度探测提供了解决方案. 该技术已发展出140~160 nm紫外舒曼龙格吸收带与760 nm红外A吸收带的双波段探测体系. 其紫外吸收带凭借强吸收特性适用于130 km以上高层大气探测, 而红外A波段通过高分辨率光谱分析实现了10~85 km范围内氧气密度、温度及气压的同步反演. 然而, 温度敏感性、星源信号强度等挑战仍需突破. 本文首次系统比较了紫外与红外波段在氧气探测中的互补优势, 分析了从OAO-2到GOLD等多代载荷的技术演进, 并对未来发展方向进行了展望. 该综述不仅为大气遥感研究提供了技术参考, 还揭示了双波段协同探测潜力, 为下一代大气探测任务的设计指明方向.

     

  • 图  1  恒星掩星探测原理

    Figure  1.  Principle of stellar occultation detection

    图  2  (a) 氧分子吸收截面, 150 nm紫外氧气SR连续吸收带, (b) 受温度影响较大的760 nm红外氧气吸收A带

    Figure  2.  Oxygen absorption cross-section: the 150 nm Schumann-Runge continuum absorption band (a) and the strongly temperature-dependent 760 nm oxygen A-band (b)

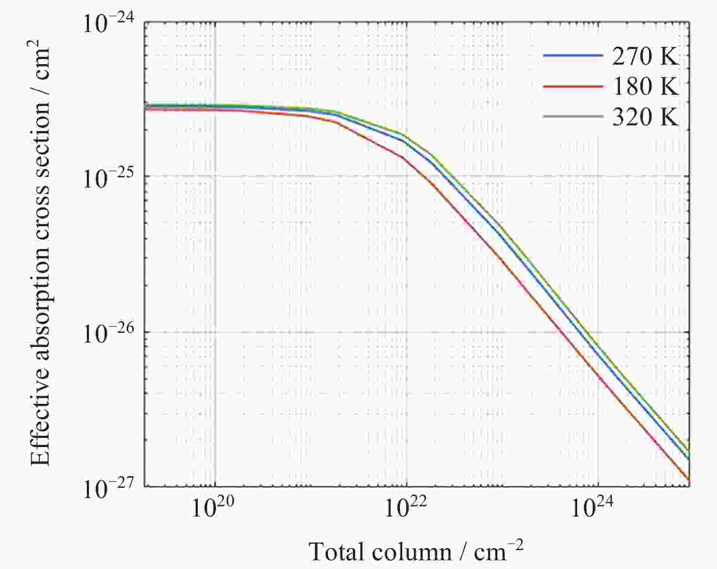
    图  3  不同分子数对应有效吸收截面

    Figure  3.  Effective absorption cross-section as a function of molecular number density

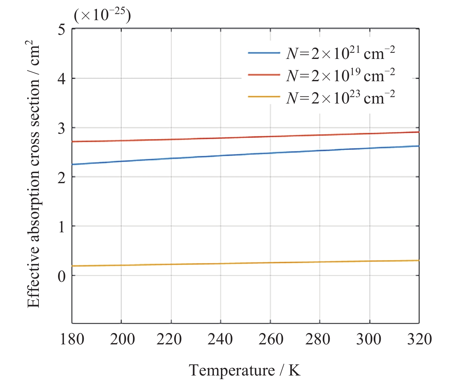
    图  4  有效吸收截面随温度的变化

    Figure  4.  Effective absorption cross-section as a function of temperature

    图  5  POAM系列仪器光学头部组件

    Figure  5.  Optical head assembly of the POAM instrument

    图  6  POAM氧气探测通道波段设计

    Figure  6.  POAM oxygen channel band design

    图  7  ILAS仪器平面结果(单位: mm)

    Figure  7.  ILAS instrument planar structure (Unit: mm)

    图  8  一次典型的不同切线海拔ILAS掩日红外光谱测量

    Figure  8.  A typical ILAS occultation infrared spectral at different tangent altitudes

    图  9  通过ILAS探测氧气得到的温度剖面与HALOE结果对比

    Figure  9.  Comparison of temperature profiles derived from ILAS oxygen measurements with HALOE results

    图  10  GOMOS光路

    Figure  10.  GOMOS optical path

    图  11  GOMOS掩星探测结果与POAM结果对比

    Figure  11.  Comparison of GOMOS measurements with POAM results

    图  12  (a) ALGOM氧气密度反演结果对ECMWF大气密度的比值, (b) GOMOS官方氧气密度反演结果对ECMWF大气密度的比值

    Figure  12.  (a) Ratio of ALGOM retrieved oxygen density to ECMWF air density, (b) ratio of GOMOS oxygen density product to ECMWF air density

    图  13  MAESTRO掩日仪器照片

    Figure  13.  Photo of MAESTRO solar occultation instrument

    图  14  掩星编号ss3004: MAESTRO与其他探测数据的温压探测结果与差异

    Figure  14.  Occultation ss3004: comparison of temperature/pressure profiles between MAESTRO and other measurements

    图  15  掩星编号ss3004的预期系统、随机和总误差

    Figure  15.  Expected systematic, random, and total errors of occultation ss3004

    图  16  搭载在国际空间站ELC-4区域 (a) 的SAGE III掩日仪 (b)

    Figure  16.  SAGE III solar occultation instrument (b) mounted on the International Space Station’s ELC-4 platform (a)

    图  17  SAGE III以1 nm分辨率探测切点海拔20 km吸收光谱

    Figure  17.  SAGE III measured absorption spectra at 20 km tangent altitude with 1 nm spectral resolution

    图  18  典型SAGE III温度探测结果对比

    Figure  18.  Comparison of a typical SAGE III temperature retrieval results

    图  19  OAO-2卫星平台(a)与紫外望远镜系统(b)

    Figure  19.  OAO-2 satellite platform (a) and the ultraviolet telescope system (b)

    图  20  OAO-2探测到的一次掩星事件归一化光强(a)及其氧气密度反演结果(b)

    Figure  20.  Normalized light intensity of an occultation event detected by OAO-2 (a) and its retrieved oxygen density profile (b)

    图  21  UVISI仪器

    Figure  21.  UVISI instrument

    图  22  从UVISI掩星中反演得到的氧气密度剖面(黑点表示单个剖面, 红线表示加权平均剖面及±1标准差范围)

    Figure  22.  UVISI retrieved O2 density (The black dots represent individual profiles, while the red line denotes the weighted average profile along with the ±1 standard deviation range)

    图  23  GOLD仪器光路设计

    Figure  23.  Optical path design of GOLD instrument

    图  24  GOLD观测的2019-2021冬至日25°S-25°N氧气密度曲线

    Figure  24.  GOLD detected oxygen profiles at 25°S-25°N during December solstices from 2019 to 2021

    表  1  当前实施过氧气探测研究的掩星仪

    Table  1.   Occultation instruments that have conducted oxygen detection

    探测波段 载荷名称 搭载卫星 实施机构 实施
    年份
    轨道 探测方式 光谱分
    辨率/nm
    其他主要探测内容 氧气探测高度/km 垂直分
    辨率/km
    氧分子红外A吸收带 POAM II/III SPOT 3/4 NASA 1993/
    1998
    太阳同步轨道, 倾角98°, 822 km 掩日光
    度计
    气溶胶,
    O3, H2O, NO2
    20~60 1~2
    ILAS ADEOS MOEJ 1996 太阳同步轨道, 倾角98°, 800 km 掩日光
    谱仪
    0.17 气溶胶, O3, H2O, 氮氧化物 10~60 1
    GOMOS ENVISAT ESA 2002 太阳同步轨道, 倾角99°, 785 km 掩星光
    谱仪
    0.2 O3, H2O, 氮氧化物, 气溶胶 15~80 1
    MAESTRO SCISAT CSA 2003 近地轨道, 倾角74°, 650 km 低分辨率掩日光谱仪 2 O3, H2O, 氮氧化物 30~80 1~2
    SAGE III ISS NASA 2017 近地轨道, 倾角52°, 420 km 掩日与掩
    月光谱仪
    1.4 气溶胶, O3, H2O, 氮氧化物 10~85 1
    氧分子紫外SR吸
    收带
    Spectrometers OAO-2 NASA 1968 近地轨道, 倾角35°, 750 km 掩星光度计与光谱仪 0.5 天体光谱, 星际介质, O3 120~200 1.5
    UVISI MSX JHU 1996 近地轨道, 倾角99°, 900 km 掩星光
    谱仪
    0.5 空间碎片, 天体光谱, 气辉, 气溶胶, O3 130~200 1.5
    GOLD SES-14 UCF 2018 地球静止轨道, 定点47.5° W, 35786 km 掩星光
    谱仪
    0.2 电子密度, 气辉, O, N2, NO 130~200 5~10
    下载: 导出CSV
  • [1] HAYS P B, ROBLE R G. Stellar spectra and atmospheric composition[J]. Journal of the Atmospheric Sciences, 1968, 25(6): 1141-1153 doi: 10.1175/1520-0469(1968)025<1141:SSAAC>2.0.CO;2
    [2] FRIEDMAN H, LICHTMAN S W, BYRAM E T. Photon counter measurements of solar X-rays and extreme ultraviolet light[J]. Physical Review, 1951, 83(5): 1025-1030 doi: 10.1103/PhysRev.83.1025
    [3] HAYS P B, ROBLE R G. Stellar occultation measurements of molecular oxygen in the lower thermosphere[J]. Planetary and Space Science, 1973, 21(3): 339-348 doi: 10.1016/0032-0633(73)90032-9
    [4] PITTS M C, THOMASON L W. SAGE III temperature and pressure retrievals: initial results[C]//Proceedings of SPIE 4882, Remote Sensing of Clouds and the Atmosphere VII. Crete: SPIE, 2003: 62-70. DOI: 10.1117/12.463004
    [5] SUGITA T, YOKOTA T, NAKAJIMA T, et al. Temperature and pressure retrievals from O2 A-band absorption measurements made by ILAS: retrieval algorithm and error analyses[C]//Proceedings of SPIE 4150, Optical Remote Sensing of the Atmosphere and Clouds II. Sendai: SPIE, 2001: 94-105. DOI: 10.1117/12.416949
    [6] GREER K R, LASKAR F, EASTES R W, et al. The molecular oxygen density structure of the lower thermosphere as seen by GOLD and models[J]. Geophysical Research Letters, 2022, 49(8): e2022GL098800 doi: 10.1029/2022GL098800
    [7] LI Z, WU X C, TU C, et al. Research on stellar occultation detection with bandpass filtering for oxygen density retrieval[J]. Remote Sensing, 2023, 15(14): 3681 doi: 10.3390/rs15143681
    [8] LI Z, WU X C, TU C, et al. Oxygen and air density retrieval method for single-band stellar occultation measurement[J]. Remote Sensing, 2024, 16(11): 2006 doi: 10.3390/rs16112006
    [9] ZHANG S M, WU X C, SUN M C, et al. Using onion-peeling method to inverse ozone density based on the stellar occultation technology in the near space region[J]. Spectroscopy and Spectral Analysis, 2022, 42(1): 203-209 (张斯敏, 吴小成, 孙明晨, 等. 星光掩星剥洋葱法反演臭氧密度[J]. 光谱学与光谱分析, 2022, 42(1): 203-209 doi: 10.3964/j.issn.1000-0593(2022)01-0203-07

    ZHANG S M, WU X C, SUN M C, et al. Using onion-peeling method to inverse ozone density based on the stellar occultation technology in the near space region[J]. Spectroscopy and Spectral Analysis, 2022, 42(1): 203-209 doi: 10.3964/j.issn.1000-0593(2022)01-0203-07
    [10] STAMNES K. RADIATION TRANSFER IN THE ATMOSPHERE | Ultraviolet radiation[M]//NORTH G R, PYLE J, ZHANG F Q. Encyclopedia of Atmospheric Sciences. 2nd ed. London: Academic Press, 2015: 37-44
    [11] BEVILACQUA R M, SHETTLE E P, HORNSTEIN J S, et al. Polar ozone and aerosol measurement experiment (POAM-II)[C]//Proceedings of SPIE 2266, Optical Spectroscopic Techniques and Instrumentation for Atmospheric and Space Research. San Diego: SPIE, 1994: 374-382
    [12] LUCKE R L, KORWAN D R, BEVILACQUA R M, et al. The Polar Ozone and Aerosol Measurement (POAM) III instrument and early validation results[J]. Journal of Geophysical Research: Atmospheres, 1999, 104(D15): 18785-18799 doi: 10.1029/1999JD900235
    [13] LUMPE J D, BEVILACQUA R M, HOPPEL K W, et al. POAM II retrieval algorithm and error analysis[J]. Journal of Geophysical Research: Atmospheres, 1997, 102(D19): 23593-23614 doi: 10.1029/97JD00906
    [14] LUMPE J D, BEVILACQUA R M, HOPPEL K W, et al. POAM III retrieval algorithm and error analysis[J]. Journal of Geophysical Research: Atmospheres, 2002, 107(D21): 4575
    [15] NAKAJIMA H, SUZUKI M, MATSUZAKI A, et al. Characteristics and performance of the Improved Limb Atmospheric Spectrometer (ILAS) in orbit[J]. Journal of Geophysical Research: Atmospheres, 2002, 107(D24): 8213
    [16] KYRÖLÄ E, TAMMINEN J, LEPPELMEIER G W, et al. GOMOS on Envisat: an overview[J]. Advances in Space Research, 2004, 33(7): 1020-1028 doi: 10.1016/S0273-1177(03)00590-8
    [17] Finnish Meteorological Institute. GOMOS Algorithm Theoretical Basis Document [R]. Helsinki: Finnish Meteorological Institute, 2012
    [18] BLANOT L, BERTAUX J, HAUCHECORNE A, et al. ALGOM: improvements for GOMOS O2 and H2O Profiles Retrieval [R]. Sophia-Antipolis: ACRI-ST, 2017
    [19] BAZUREAU A, GOUTAIL F. Validation of ENVISAT products using POAM III O3, NO2, H2O and O2 Profiles[R]. Italy: ESA Special Publication, 2003
    [20] MCELROY C T, NOWLAN C R, DRUMMOND J R, et al. The ACE-MAESTRO instrument on SCISAT: description, performance, and preliminary results[J]. Applied Optics, 2007, 46(20): 4341-4356 doi: 10.1364/AO.46.004341
    [21] NOWLAN C R. Atmospheric Temperature and Pressure Measurements from the ACE-MAESTRO Space Instrument[D]. Toronto: University of Toronto, 2006
    [22] NOWLAN C R, MCELROY C T, DRUMMOND J R. Measurements of the O2 A- and B-bands for determining temperature and pressure profiles from ACE-MAESTRO: forward model and retrieval algorithm[J]. Journal of Quantitative Spectroscopy and Radiative Transfer, 2007, 108(3): 371-388 doi: 10.1016/j.jqsrt.2007.06.006
    [23] CISEWSKI M, ZAWODNY J, GASBARRE J, et al. The Stratospheric Aerosol and Gas Experiment (SAGE III) on the international space station (ISS) mission[C]//Proceedings of SPIE 9241, Sensors, Systems, and Next-Generation Satellites XVIII. Amsterdam: SPIE, 2014: 924107
    [24] WIESSINGER S, REDDY F. 50th Anniversary of NASA’s OAO 2 Mission [OL]. GREENBELT: NASA’s Goddard Space Flight Center. (2018-12-11) [2025-05-29]. https://svs.gsfc.nasa.gov/12916
    [25] HEFFERNAN K J, HEISS J E, BOLDT J D, et al. The UVISI instrument[J]. Johns Hopkins APL Technical Digest, 1996, 17(2): 198-214
    [26] VERVACK JR R J, YEE J H, SWARTZ W H, et al. The MSX/UVISI stellar occultation experiments: proof-of-concept demonstration of a new approach to remote sensing of earth’s atmosphere[J]. Johns Hopkins APL Technical Digest, 2014, 32(5): 803-821
    [27] EASTES R W, MCCLINTOCK W E, BURNS A G, et al. The Global-scale Observations of the Limb and Disk (GOLD) mission[J]. Space Science Reviews, 2017, 212(1/2): 383-408
    [28] LUMPE J D, MCCLINTOCK W E, EVANS J S, et al. A new data set of thermospheric molecular oxygen from the Global-scale Observations of the Limb and Disk (GOLD) mission[J]. Journal of Geophysical Research: Space Physics, 2020, 125(4): e2020JA027812 doi: 10.1029/2020JA027812
  • 加载中
图(24) / 表(1)
计量
  • 文章访问数:  508
  • HTML全文浏览量:  211
  • PDF下载量:  61
  • 被引次数: 

    0(来源:Crossref)

    0(来源:其他)

出版历程
  • 收稿日期:  2025-05-29
  • 修回日期:  2025-07-30
  • 网络出版日期:  2025-07-30

目录

    /

    返回文章
    返回