留言板

尊敬的读者、作者、审稿人, 关于本刊的投稿、审稿、编辑和出版的任何问题, 您可以本页添加留言。我们将尽快给您答复。谢谢您的支持!

姓名
邮箱
手机号码
标题
留言内容
验证码

分体式金刚石/铜微通道散热研究

冯小明 马祥 张永海 王帅 李彬

冯小明, 马祥, 张永海, 王帅, 李彬. 分体式金刚石/铜微通道散热研究[J]. 空间科学学报, 2025, 45(6): 1588-1596. doi: 10.11728/cjss2025.06.2024-0184
引用本文: 冯小明, 马祥, 张永海, 王帅, 李彬. 分体式金刚石/铜微通道散热研究[J]. 空间科学学报, 2025, 45(6): 1588-1596. doi: 10.11728/cjss2025.06.2024-0184
FENG Xiaoming, MA Xiang, ZHANG Yonghai, WANG Shuai, LI Bin. Research on Heat Dissipation of Split Diamond/Copper Microchannels (in Chinese). Chinese Journal of Space Science, 2025, 45(6): 1588-1596 doi: 10.11728/cjss2025.06.2024-0184
Citation: FENG Xiaoming, MA Xiang, ZHANG Yonghai, WANG Shuai, LI Bin. Research on Heat Dissipation of Split Diamond/Copper Microchannels (in Chinese). Chinese Journal of Space Science, 2025, 45(6): 1588-1596 doi: 10.11728/cjss2025.06.2024-0184

分体式金刚石/铜微通道散热研究

doi: 10.11728/cjss2025.06.2024-0184 cstr: 32142.14.cjss.2024-0184
基金项目: 国家重点研发计划项目(2022 YFF0503502), 超硬材料磨具国家重点实验室开放课题(GXNGJSKL-2022-02)和西安交通大学青年拔尖人才支持计划项目共同资助
详细信息
    作者简介:
    • 冯小明 男, 1994年6月出生于陕西渭南, 现为西安交通大学化学工程与技术学院硕士研究生, 研究方向为金刚石/铜复合材料及微通道相变散热. E-mail: 1753352179@qq.com
    通讯作者:
    • 张永海 男, 1986年7月出生于内蒙古通辽, 现为西安交通大学化学工程与技术学院教授, 博士生导师, 主要研究方向为功率器件热管理技术开发与理论研究、航空航天热管理技术开发与理论研究、掺氢天然气安全事故特征和演化规律研究等. E-mail: zyh002@xjtu.edu.cn
  • 中图分类号: TK124

Research on Heat Dissipation of Split Diamond/Copper Microchannels

  • 摘要: 随着航天器功能部件热流密度激增, 相关电子设备的寿命和可靠性面临着严峻的散热问题. 将微通道散热技术与高导热金刚石/铜复合材料相结合, 为解决航天器的散热难题提供了有效途径. 本文设计了一种分体式金刚石/铜微通道散热系统, 并与纯铜微通道系统对比. 以HFE-7100为工质, 研究了不同流速、不同肋高下两种微通道系统的传热特性. 当流速为0.7 m·s–1, 随着肋高的增加, 临界功率下金刚石/铜比纯铜微通道系统的芯片表面温度低12, 19, 19.6℃, 传热系数最大提升分别为27.8%, 30.1%, 28.1%. 两种微通道系统的压差在对流段几乎相同, 进入核态沸腾后, 金刚石/铜微通道系统压差整体略高, 最大增加了11.8%.

     

  • 图  1  微通道换热实验系统原理

    Figure  1.  Schematic of microchannel heat exchange experimental system

    图  2  分体式金刚石/铜微通道三维结构(a)以及试验段功能区(b)与铜肋板背面结构及主要尺寸代号(c)

    Figure  2.  Three-dimensional view of split diamond/copper microchannel structure (a), schematic diagram of test section profiles and work material flow paths (b), and copper ribbed plate backside structure and its main size code (c)

    图  3  实验换热原理

    Figure  3.  Schematic of experimental heat transfer principle

    图  4  不同肋高的微通道散热系统的芯片表面温度

    Figure  4.  Chip surface temperature of microchannel cooling system with different rib heights

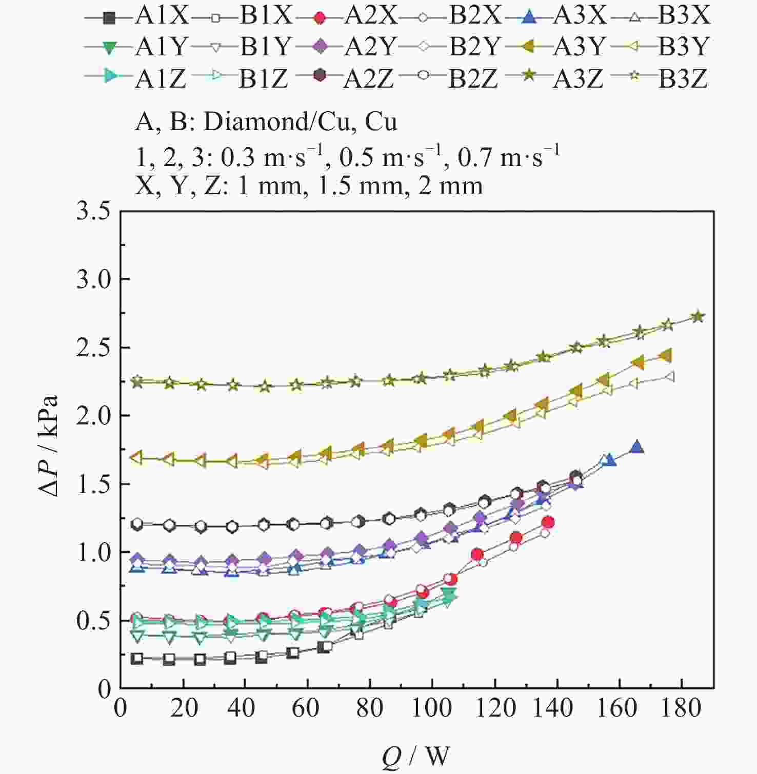
    图  5  不同工况下的压差变化

    Figure  5.  Variation of differential pressure of microchannel system under different operating conditions

    图  6  不同工况下的微通道平均传热系数

    Figure  6.  Average heat transfer coefficients of microchannels under different operating conditions

    表  1  试验段材料主要尺寸

    Table  1.   Main materials dimensions of the test section

    名称 代号 尺寸/mm
    微通道铜肋板 H1×H2 45×61
    微通道尺寸 L4×L1×L5 1×24×(1, 1.5, 2)
    肋尺寸 L3×L1×L5 1×24×(1, 1.5, 2)
    金刚石/铜散热片 30×40×3
    下载: 导出CSV

    表  2  实验使用材料的主要物性

    Table  2.   Main physical properties of experimental materials

    名称 物性名称 物性值
    HFE-7100 沸点/℃ 61
    密度/(kg·m–3) 1520
    比热容/(J·kg–1·K–1) 1183
    运动学黏度/(mm2·s–1) 0.38
    金刚石/铜 热导率/(W·m–1·K–1) 700
    密度/(kg·m–3) 5850
    比热容/(J·kg–1·K –1) 434.5
    表面粗糙度 Ra1.6
    热导率/(W·m–1·K–1) 400
    密度/(kg·m–3) 8960
    比热容/(J·kg–1·K–1) 390
    下载: 导出CSV

    表  3  实验设备主要参数及换热系数影响因素的相对误差

    Table  3.   Main parameters of the experimental equipment and relative error of factors affecting heat transfer coefficient

    名称 测量范围 相对误差/(%)
    T1型热电偶 (直径0.08 mm) –200~200℃ ±0.34
    T2型热电偶 (直径1 mm) –200~250℃ ±0.42
    压差变送器 0~10 kPa ±3.3
    直流电源电压 0~300 V ±0.65
    直流电源电流 0~5 A 2.2
    热效率计算误差 11.7
    TTin 3.6
    流道换热面积 0.5
    下载: 导出CSV

    表  4  9种工况下的两种微通道芯片表面的最大温差 (单位: ℃)

    Table  4.   Maximum temperature difference between two microchannel chip surfaces under 9 operating conditions (Unit: ℃)

    肋高/ mm流速/ (m·s–1)
    0.30.50.7
    18.310.712
    1.516.818.419
    213.419.319.6
    下载: 导出CSV
  • [1] BELHARDJ S, MIMOUNI S, SAIDANE A, et al. Using microchannels to cool microprocessors: a transmission-line-matrix study[J]. Microelectronics Journal, 2003, 34(4): 247-253 doi: 10.1016/S0026-2692(03)00004-1
    [2] TUCKERMAN D B, PEASE R F W. High-performance heat sinking for VLSI[J]. IEEE Electron Device Letters, 1981, 2(5): 126-129 doi: 10.1109/EDL.1981.25367
    [3] BLOSCHOCK K P, BAR-COHEN A. Advanced thermal management technologies for defense electronics[C]//Proceedings of SPIE 8405, Defense Transformation and Net-Centric Systems. Baltimore: SPIE, 2012
    [4] YU X G, XU K, MIAO J Y, et al. Design and on-board validation of pumped two-phase fluid loop for high heat flux removal[J]. Journal of Astronautics, 2017, 38(2): 192-197
    [5] ALAM T, LI W M, CHANG W, et al. Favourably regulating two-phase flow regime of flow boiling HFE-7100 in microchannels using silicon nanowires[J]. Scientific Reports, 2021, 11(1): 11131 doi: 10.1038/s41598-021-89466-z
    [6] WANG H T, CHEN Z H, GAO J G. Influence of geometric parameters on flow and heat transfer performance of micro-channel heat sinks[J]. Applied Thermal Engineering, 2016, 107: 870-879 doi: 10.1016/j.applthermaleng.2016.07.039
    [7] JING D L, HE L. Numerical studies on the hydraulic and thermal performances of microchannels with different cross-sectional shapes[J]. International Journal of Heat and Mass Transfer, 2019, 143: 118604 doi: 10.1016/j.ijheatmasstransfer.2019.118604
    [8] QU W L, MALA G M, LI D Q. Pressure-driven water flows in trapezoidal silicon microchannels[J]. International Journal of Heat and Mass Transfer, 2000, 43(3): 353-364 doi: 10.1016/S0017-9310(99)00148-9
    [9] HUNG T C, YAN W M, WANG X D, et al. Optimal design of geometric parameters of double-layered microchannel heat sinks[J]. International Journal of Heat and Mass Transfer, 2012, 55(11/12): 3262-3272
    [10] BOTELER L, JANKOWSKI N, MCCLUSKEY P, et al. Numerical investigation and sensitivity analysis of manifold microchannel coolers[J]. International Journal of Heat and Mass Transfer, 2012, 55(25/26): 7698-7708
    [11] DE LOSIER C R, SUBRAMANIAN S, PONYAVIN V, et al. The parametric study of an innovative offset strip-fin heat exchanger[J]. Journal of Heat Transfer, 2007, 129(10): 1453-1458 doi: 10.1115/1.2755068
    [12] LEE P S, GARIMELLA S V. Saturated flow boiling heat transfer and pressure drop in silicon microchannel arrays[J]. International Journal of Heat and Mass Transfer, 2008, 51(3/4): 789-806
    [13] TRAN N, ZHANG C P, DANG T, et al. Numerical and experimental studies on pressure drop and performance index of an aluminum microchannel heat sink[C]//Proceedings of the 2012 International Symposium on Computer, Consumer and Control. Taichung, China: IEEE, 2012
    [14] SINGH R, AKBARZADEH A, MOCHIZUKI M, et al. Thermal characterization of copper microchannel heat sink for power electronics cooling[J]. Journal of Thermophysics and Heat Transfer, 2009, 23(2): 371-380 doi: 10.2514/1.40033
    [15] MOLINA J M, NARCISO J, WEBER L, et al. Thermal conductivity of Al–SiC composites with monomodal and bimodal particle size distribution[J]. Materials Science and Engineering: A, 2008, 480(1/2): 483-488
    [16] ZWEBEN C. Advanced materials for optoelectronic packaging[J]. Semiconductor International, 2002, 25(10): S5-S6,S8
    [17] BAI G Z, ZHANG Y J, DAI J J, et al. Tunable coefficient of thermal expansion of Cu-B/diamond composites prepared by gas pressure infiltration[J]. Journal of Alloys and Compounds, 2019, 794: 473-481 doi: 10.1016/j.jallcom.2019.04.252
    [18] JIA J H, BAI S X, XIONG D G, et al. Effect of tungsten based coating characteristics on microstructure and thermal conductivity of diamond/Cu composites prepared by pressueless infiltration[J]. Ceramics International, 2019, 45(8): 10810-10818 doi: 10.1016/j.ceramint.2019.02.156
    [19] ABYZOV A M, KIDALOV S V, SHAKHOV F M. High thermal conductivity composites consisting of diamond filler with tungsten coating and copper (silver) matrix[J]. Journal of Materials Science, 2011, 46(5): 1424-1438 doi: 10.1007/s10853-010-4938-x
    [20] MAŃKOWSKI P, DOMINIAK A, DOMAŃSKI R, et al. Thermal conductivity enhancement of copper-diamond composites by sintering with chromium additive[J]. Journal of Thermal Analysis and Calorimetry, 2014, 116(2): 881-885 doi: 10.1007/s10973-013-3604-3
    [21] HUANG S H, GUO H, ZHANG Z, et al. Comparative study on the properties and microscopic mechanism of Ti coating and W coating diamond-copper composites[J]. Materials Research Express, 2020, 7(7): 076517 doi: 10.1088/2053-1591/aba55d
    [22] HU H B, KONG J. Improved thermal performance of diamond-copper composites with boron carbide coating[J]. Journal of Materials Engineering and Performance, 2014, 23(2): 651-657 doi: 10.1007/s11665-013-0780-z
    [23] LIU R X, LUO G Q, LI Y, et al. Microstructure and thermal properties of diamond/copper composites with Mo2C in-situ nano-coating[J]. Surface and Coatings Technology, 2019, 360: 376-381 doi: 10.1016/j.surfcoat.2018.12.116
    [24] HASSELMAN D P H, JOHNSON L F. Effective thermal conductivity of composites with interfacial thermal barrier resistance[J]. Journal of Composite Materials, 1987, 21(6): 508-515 doi: 10.1177/002199838702100602
    [25] YANG L, SUN L, BAI W W, et al. Thermal conductivity of Cu-Ti/diamond composites via spark plasma sintering[J]. Diamond and Related Materials, 2019, 94: 37-42 doi: 10.1016/j.diamond.2019.02.014
    [26] WANG L H, LI J W, BAI G Z, et al. Interfacial structure evolution and thermal conductivity of Cu-Zr/diamond composites prepared by gas pressure infiltration[J]. Journal of Alloys and Compounds, 2019, 781: 800-809 doi: 10.1016/j.jallcom.2018.12.053
    [27] SANG J Q, YUAN Y, YANG W L, et al. Exploring the underlying causes of optimizing thermal conductivity of copper/diamond composites by interface thickness[J]. Journal of Alloys and Compounds, 2022, 891: 161777 doi: 10.1016/j.jallcom.2021.161777
    [28] MOFFAT R J. Describing the uncertainties in experimental results[J]. Experimental Thermal and Fluid Science, 1988, 1(1): 3-17 doi: 10.1016/0894-1777(88)90043-X
  • 加载中
图(6) / 表(4)
计量
  • 文章访问数:  1165
  • HTML全文浏览量:  371
  • PDF下载量:  108
  • 被引次数: 

    0(来源:Crossref)

    0(来源:其他)

出版历程
  • 收稿日期:  2024-12-13
  • 修回日期:  2025-02-28
  • 网络出版日期:  2025-03-11

目录

    /

    返回文章
    返回