留言板

尊敬的读者、作者、审稿人, 关于本刊的投稿、审稿、编辑和出版的任何问题, 您可以本页添加留言。我们将尽快给您答复。谢谢您的支持!

姓名
邮箱
手机号码
标题
留言内容
验证码

面向星载应用的高性能图像压缩核设计与实现

傅志宇 张学全

傅志宇, 张学全. 面向星载应用的高性能图像压缩核设计与实现[J]. 空间科学学报. doi: 10.11728/cjss2026.01.2025-0021
引用本文: 傅志宇, 张学全. 面向星载应用的高性能图像压缩核设计与实现[J]. 空间科学学报. doi: 10.11728/cjss2026.01.2025-0021
FU Zhiyu, ZHANG Xuequan. Design and Implementation of a High-performance Image Compression Core for Spaceborne Applications (in Chinese). Chinese Journal of Space Science, 2026, 46(1): 1-13 doi: 10.11728/cjss2026.01.2025-0021
Citation: FU Zhiyu, ZHANG Xuequan. Design and Implementation of a High-performance Image Compression Core for Spaceborne Applications (in Chinese). Chinese Journal of Space Science, 2026, 46(1): 1-13 doi: 10.11728/cjss2026.01.2025-0021

面向星载应用的高性能图像压缩核设计与实现

doi: 10.11728/cjss2026.01.2025-0021 cstr: 32142.14.cjss.2025-0021
详细信息
    作者简介:
    • 傅志宇 男, 2000年1月出生于重庆市大足区, 现为中国科学院国家空间科学中心硕士研究生, 专业为计算机应用技术, 主要研究方向为星载图像处理. E-mail: fuzhiyu22@mails.ucas.ac.cn
    通讯作者:
    • 张学全 男, 1979年1月出生于吉林省白城市, 现为中国科学院国家空间科学中心高级工程师, 硕士生导师, 主要研究方向为空间综合电子技术与星上信息处理等. E-mail: zxq_cas@163.com
  • 中图分类号: TP751.1

Design and Implementation of a High-performance Image Compression Core for Spaceborne Applications

  • 摘要: 为了满足航天应用中图像数据高效存储与传输的需求, 基于FPGA设计并实现了一种符合CCSDS 122.0-B-1标准的星载高性能图像压缩核. 充分考虑算法特性与实现平台特点, 设计了新颖的编码控制逻辑与数据组织结构. 针对压缩效率这一关键指标, 设计了段大小为256的算法实现架构, 压缩效率处于同类应用前列. 通过分段压缩机制, 有效防止了误码扩散, 并支持压缩质量连续调节与图像渐进传输. 针对扫描与编码环节的性能瓶颈, 提出了全并行扫描及动态优化并行编码方法, 实测编码效率提高约50%. 压缩核支持图像最大尺寸4096×4096 pixel, 最大位深度16 bit. 通过实际测试, 压缩核吞吐率可达90.64 ×106 sample·s–1, 可满足大部分航天任务的图像压缩需求.

     

  • 图  1  编码器总体设计

    Figure  1.  General design of the encoder

    图  2  块在小波系数中的定义

    Figure  2.  Block definition in Wavlet coefficients

    图  3  压缩核顶层架构

    Figure  3.  Top-level architecture of the compression core

    图  4  流水线设计

    Figure  4.  Design of the pipeline

    图  5  离散小波变换模块架构

    Figure  5.  Architecture of discrete wavelet transform module

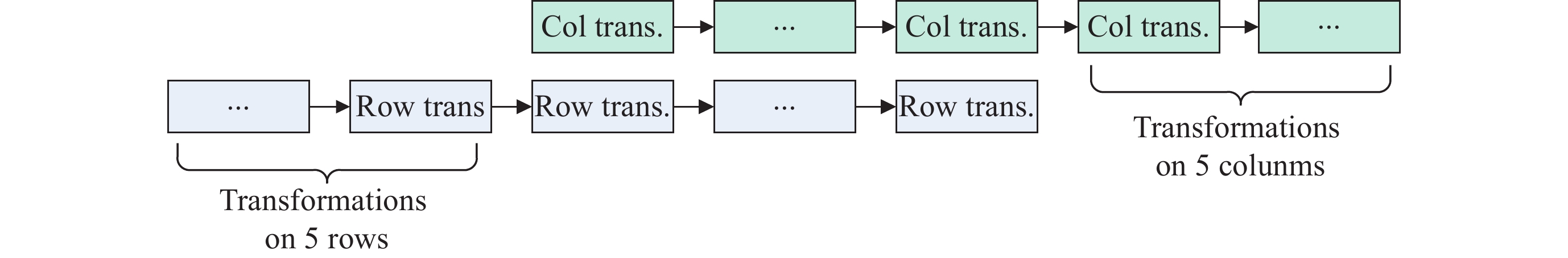
    图  6  行列变换流水线结构

    Figure  6.  Structure of row and column transformation pipeline

    图  7  段编码模块内部流水线机制

    Figure  7.  Schematic diagram of the internal pipeline of the segment encoding module

    图  8  直流群组模块结构

    Figure  8.  Structure of DC gaggle module structure

    图  9  扫描群组模块结构

    Figure  9.  Structure of Diagram of scan gaggle module

    图  10  编码群组结构模块

    Figure  10.  Structure of coding gaggle modules

    图  11  动态优化并行编码方法

    Figure  11.  Method of adaptive parallel encoding

    图  12  板级测试

    Figure  12.  Schematic diagram of board-level testing

    图  13  板级测试实验

    Figure  13.  Board-level testing

    图  14  marseille_G6_10 b在不同BPP条件下的压缩结果对比

    Figure  14.  Comparison of compression results of marseille_G6_10 b at different BPP levels

    图  15  不同算法压缩效率对比

    Figure  15.  Comparison of compression efficiency of different algorithms

    图  16  扫描与编码环节优化后时间减少百分比

    Figure  16.  Time reduction percentage after optimization of the scanning and encoding processes

    图  17  扫描环节与多核编码环节耗时

    Figure  17.  Time consumption for the scanning process and multi-core encoding process

    表  1  不同目标比特率下压缩图像的PSNR值(单位: dB)

    Table  1.   PSNR values of compressed images at different target BPP (Unit: dB)

    图像名称位深度/bitBPP=0.25BPP=0.5BPP=1BPP=2
    b1840.3542.5945.2048.90
    b2840.3442.8445.7349.75
    lunar827.6430.6835.0741.10
    ocean_2 kb11036.0339.4243.8950.71
    landesV_G7_10 b1040.9842.8845.7051.88
    marseille_G6_10 b1028.3531.5335.3541.55
    solar1241.9245.0148.7354.67
    sun_spot1248.9752.6155.5059.68
    sar16 bit1647.6449.7652.8858.50
    p160_b_f1630.0233.0936.5042.13
    下载: 导出CSV

    表  2  测试图像段编码耗时及吞吐率

    Table  2.   Time consumption of segment encoding and throughput for test images

    图像名称 位深度/bit 像素数/pixel 段编码耗时/cycle 处理速度/(sample·cycle–1) 200 MHz时的吞吐
    率(×106)/(sample·s–1)
    b1 8 1048576 2399590 0.437 87.40
    b2 8 1048576 2393047 0.438 87.64
    marstest 8 262144 569853 0.460 92.00
    lunar 8 262144 559553 0.468 93.70
    ice_2 kb1 10 4194304 9220637 0.455 90.98
    ice_2 kb4 10 4194304 8851466 0.474 94.77
    india_2 kb1 10 4194304 8934049 0.469 93.89
    india_2 kb4 10 4194304 8524784 0.492 98.40
    solar 12 1048576 2375073 0.441 88.30
    foc 12 524288 1202098 0.436 87.23
    sar16 bit 16 262144 602975 0.435 86.95
    p160_b_f 16 4194304 9700596 0.432 86.48
    下载: 导出CSV
  • [1] ZHANG Xuequan. Implementation of Onboard Image Compression System Using FPGA[D]. Beijing: Center for Space Science and Applied Research, Chinese Academy of Sciences, 2009 (张学全. 基于FPGA的星载图像压缩系统实现方法研究[D]. 北京: 中国科学院研究生院(空间科学与应用研究中心), 2009

    ZHANG Xuequan. Implementation of Onboard Image Compression System Using FPGA[D]. Beijing: Center for Space Science and Applied Research, Chinese Academy of Sciences, 2009
    [2] ZHU Jianbin, XU Yong, WANG Cuilian, et al. Image compression software design for Zhurong Mars exploration rover[J]. Journal of Deep Space Exploration, 2021, 8(5): 503-510 (朱剑冰, 徐勇, 王翠莲, 等. “祝融号”火星车图像压缩软件的设计与实现[J]. 深空探测学报(中英文), 2021, 8(5): 503-510 doi: 10.15982/j.issn.2096-9287.2021.20210065

    ZHU Jianbin, XU Yong, WANG Cuilian, et al. Image compression software design for Zhurong Mars exploration rover[J]. Journal of Deep Space Exploration, 2021, 8(5): 503-510 doi: 10.15982/j.issn.2096-9287.2021.20210065
    [3] CCSDS 122.0-B-1: Image Data Compression[S]. Washington, D. C. : Consultative Committee for Space Data Systems (CCSDS), 2005
    [4] KRANITIS N, THEODOROU G, TSIGKANOS A, et al. A reconfigurable FPGA implementation of CCSDS 122.0-B-1 image data compression for ESA PROBA-3 coronagraph system payload[C] //On-Board Payload Data Compression Workshop. Venice: ESA & CNES, 2014
    [5] CHANDRAPRABHA K, SHIAK N A, LAKSHMI A, et al. An efficient FPGA implementation of DWT based image data compression system for microsatellites[C]//Proceedings of the 8th International Conference on Advanced Computing and Communication Systems (ICACCS). Coimbatore: Indian Institute of Industrial Engineering (IEEE), 2022
    [6] SUN Jianwei, ZHANG Zhongwei, ZHENG Tie, et al. Design of lossless compression system for CCSDS on-board data based on FPGA[J]. Chinese Journal of Space Science, 2019, 39(5): 694-700 (孙建伟, 张忠伟, 郑铁, 等. 基于FPGA的CCSDS星载数据无损压缩系统设计[J]. 空间科学学报, 2019, 39(5): 694-700 doi: 10.11728/cjss2019.05.694

    SUN Jianwei, ZHANG Zhongwei, ZHENG Tie, et al. Design of lossless compression system for CCSDS on-board data based on FPGA[J]. Chinese Journal of Space Science, 2019, 39(5): 694-700 doi: 10.11728/cjss2019.05.694
    [7] ZHOU Wenjing, ZHANG Xuequan, AN Junshe, et al. Optimal Optimized implementation of bit plane encoder for CCSDS-IDC[J]. Microelectronics :Times New Roman;">& Computer, 2017, 34(9): 32-37 (周文敬, 张学全, 安军社, 等. CCSDS-IDC位平面编码的优化实现[J]. 微电子学与计算机, 2017, 34(9): 32-37 doi: 10.19304/j.cnki.issn1000-7180.2017.09.007

    ZHOU Wenjing, ZHANG Xuequan, AN Junshe, et al. Optimal Optimized implementation of bit plane encoder for CCSDS-IDC[J]. Microelectronics & Computer, 2017, 34(9): 32-37 doi: 10.19304/j.cnki.issn1000-7180.2017.09.007
    [8] HU Yonggang. Research on Bit-Plane Encoding of CCSDS Image Compression and Implementation on FPGA[D]. Xi’an: Xidian University, 2011 (胡永刚. CCSDS图像压缩算法位平面编码技术研究及其FPGA实现[D]. 西安: 西安电子科技大学, 2011

    HU Yonggang. Research on Bit-Plane Encoding of CCSDS Image Compression and Implementation on FPGA[D]. Xi’an: Xidian University, 2011
    [9] SUN Nan. Design and Realization of Airborne Large Size Image Compression System[D]. Taiyuan: North University of China, 2024 (孙楠. 机载大尺寸图像压缩系统的设计与实现[D]. 太原: 中北大学, 2024

    SUN Nan. Design and Realization of Airborne Large Size Image Compression System[D]. Taiyuan: North University of China, 2024
    [10] MACHAIRAS E, KRANITIS N. A 13.3 Gbps 9/7M discrete wavelet transform for CCSDS 122.0-B-1 image data compression on a space-grade SRAM FPGA[J]. Electronics, 2020, 9(8): 1234 doi: 10.3390/electronics9081234
    [11] DONG Mingyan, LEI Jie, WANG Keyan, et al. Highly efficient VLSI architecture for DWT with low-storage implementation[J]. Journal of Xidian University, 2016, 43(2): 35-40 (董明岩, 雷杰, 王柯俨, 等. 高效低存储DWT的VLSI结构设计[J]. 西安电子科技大学学报(自然科学版), 2016, 43(2): 35-40 doi: 10.3969/j.issn.1001-2400.2016.02.007

    DONG Mingyan, LEI Jie, WANG Keyan, et al. Highly efficient VLSI architecture for DWT with low-storage implementation[J]. Journal of Xidian University, 2016, 43(2): 35-40 doi: 10.3969/j.issn.1001-2400.2016.02.007
    [12] JIANG Z C, PAN W D, SHEN H D. Universal Golomb–Rice coding parameter estimation using deep belief networks for hyperspectral image compression[J]. IEEE Journal of Selected Topics in Applied Earth Observations and Remote Sensing, 2018, 11(10): 3830-3840 doi: 10.1109/JSTARS.2018.2864921
    [13] SAID A, PEARLMAN W A. A new, fast, and efficient image codec based on set partitioning in hierarchical trees[J]. IEEE Transactions on Circuits and Systems for Video Technology, 1996, 6(3): 243-250 doi: 10.1109/76.499834
  • 加载中
图(17) / 表(2)
计量
  • 文章访问数:  421
  • HTML全文浏览量:  105
  • PDF下载量:  16
  • 被引次数: 

    0(来源:Crossref)

    0(来源:其他)

出版历程
  • 收稿日期:  2025-02-14
  • 修回日期:  2025-06-04
  • 网络出版日期:  2025-06-06

目录

    /

    返回文章
    返回