留言板

尊敬的读者、作者、审稿人, 关于本刊的投稿、审稿、编辑和出版的任何问题, 您可以本页添加留言。我们将尽快给您答复。谢谢您的支持!

姓名
邮箱
手机号码
标题
留言内容
验证码

基于SimVP的赤道等离子体泡演化预测模型

钟佳 邹自明 吴坤 徐寄遥 陆阳 孙龙昌 袁韦

钟佳, 邹自明, 吴坤, 徐寄遥, 陆阳, 孙龙昌, 袁韦. 基于SimVP的赤道等离子体泡演化预测模型[J]. 空间科学学报. doi: 10.11728/cjss2026.02.2025-0046
引用本文: 钟佳, 邹自明, 吴坤, 徐寄遥, 陆阳, 孙龙昌, 袁韦. 基于SimVP的赤道等离子体泡演化预测模型[J]. 空间科学学报. doi: 10.11728/cjss2026.02.2025-0046
ZHONG Jia, ZOU ZiMing, WU Kun, XU JiYao, LU Yang, SUN Longchang, YUAN Wei. Evolution Prediction Model of Equatorial Plasma Bubbles Based on SimVP (in Chinese). Chinese Journal of Space Science, 2026, 46(2): 1-16 doi: 10.11728/cjss2026.02.2025-0046
Citation: ZHONG Jia, ZOU ZiMing, WU Kun, XU JiYao, LU Yang, SUN Longchang, YUAN Wei. Evolution Prediction Model of Equatorial Plasma Bubbles Based on SimVP (in Chinese). Chinese Journal of Space Science, 2026, 46(2): 1-16 doi: 10.11728/cjss2026.02.2025-0046

基于SimVP的赤道等离子体泡演化预测模型

doi: 10.11728/cjss2026.02.2025-0046 cstr: 32142.14.cjss.2025-0046
基金项目: 国家重点研发计划项目(2022YFF0711400), 中国科学院 “十四五” 网络安全和信息化规划项目(CAS-WX2022SDC-XK15, CAS-WX2022SF-0103)和中国科协青年人才托举工程项目(2021QNRC001)共同资助
详细信息
    作者简介:
    • 钟佳 男, 中国科学院国家空间科学中心, 高级工程师, 主要研究方向为空间天气数据挖掘与机器学习建模、科学可视化技术. E-mail: zhongjia@nssc.ac.cn
    通讯作者:
    • 邹自明 男, 中国科学院国家空间科学中心研究员, 国家空间科学数据中心主任, 中国科学院大学博士生导师, 主要从事空间科学与数据科学交叉领域研究, 在科学数据治理理论、标准研制、空间信息组织与互操作、日地空间大数据系统工程、空间天气领域数据挖掘与知识发现等方面开展研究. E-mail: mzou@nssc.ac.cn
  • 中图分类号: P352

Evolution Prediction Model of Equatorial Plasma Bubbles Based on SimVP

  • 摘要: 赤道等离子体泡是日落后低纬电离层中形成的低电子密度空腔结构, 其演化过程会导致无线电信号闪烁与衰减. 对赤道等离子体泡的演化进行精准预测, 在空间天气研究及卫星通信领域意义重大. 提出一个基于SimVP (Simpler yet Better Video Prediction)框架的EPB演化预测模型, 通过曲靖站历史气辉观测图像学习EPB时空演化特征, 实现对未来演化的精准预测, 通过系统实验分析了关键参数对模型性能的影响. 结果表明, 时间分辨率设为3 min, 采用6 帧输入图和6 帧输出图的架构时模型性能最优(结构相似度为0.989, 峰值信噪比为34.704). 实验显示, EPB空间形态复杂度对预测精度影响显著, 而光污染干扰相对有限. 提出的模型具有较好的跨台站应用鲁棒性, 该模型不仅为EPB演化提供了数据驱动的高效预测工具, 还可为受污染气辉观测数据的修复提供技术支撑.

     

  • 图  1  覆盖不同时间尺度的EPB图像序列数量分布情况

    Figure  1.  Number distribution of EPB image sequences covering different time scales

    图  2  不同SimVP模型结构[14]

    Figure  2.  Different SimVP model structures

    图  3  EPB演化预测模型损失函数值(Loss)随训练周期(Epoch)的变化

    Figure  3.  Variation of loss function value with training epochs for the EPB evolution prediction model

    图  4  EPB演化预测模型在验证集上的均方差 (MSE)和平均绝对误差 (MAE) 随训练周期 (Epoch)的变化

    Figure  4.  Variations of MSE and MAE on the validation set versus training epochs for the EPB evolution prediction model

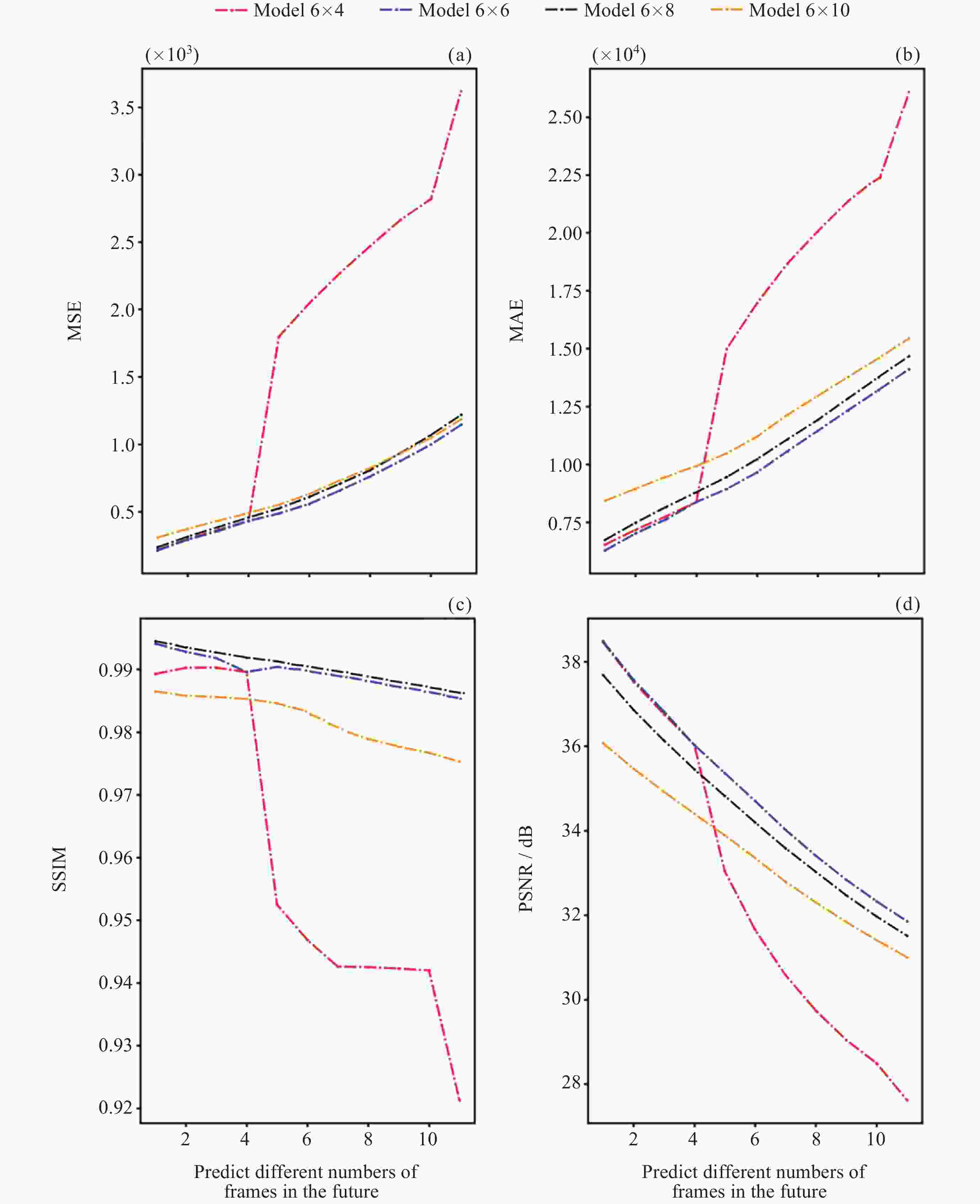
    图  5  不同数量输出帧构建的EPB演化预测模型预测未来不同数量EPB图像帧时的性能比较

    Figure  5.  Performance comparison of EPB evolution models with different output frame configurations for forecasting varying numbers of future EPB image frames

    图  6  预测未来6帧EPB图像时不同数量输入帧构建的EPB演化预测模型性能比较

    Figure  6.  Performance comparison of EPB evolution prediction models with different input frame configurations for predicting the next six frames of EPB images

    图  7  模型预测小尺度且结构简单EPB的未来6帧(18 min)图像

    Figure  7.  Model predicts six future frames (18 min) of a small-scale EPB with simple structures

    图  10  模型预测没有光污染的弱EPB未来6帧(18 min)图像,

    Figure  10.  Model predicts six future frames (18 min) of weak EPBs

    图  8  模型预测大尺度且结构复杂EPB的未来6帧(18 min)图像

    Figure  8.  Model predicts six future frames (18 min) of a large-scale EPB with complex structures

    图  9  模型预测强光污染条件下EPB的未来6帧(18 min)图像

    Figure  9.  Model predicts six future frames (18 min) of EPBs under strong light pollution conditions.

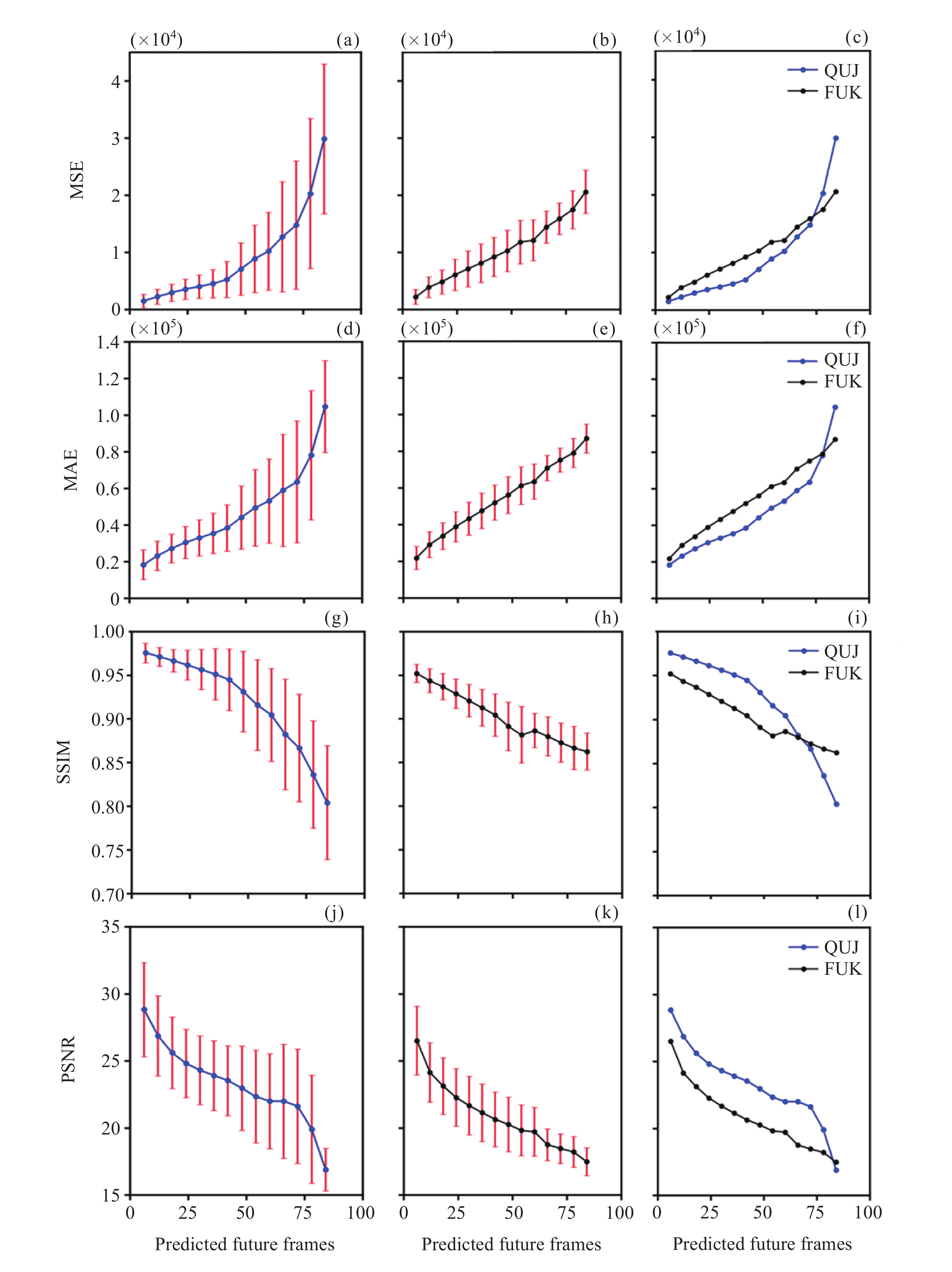
    图  11  模型针对曲靖站和富克站气辉观测数据的预测性能比较(红色竖线代表一个标准误差大小)

    Figure  11.  Comparison of model prediction performance for airglow observation data between Qujing Station and Fuke Station (red vertical bars indicating one standard error)

    表  1  实验变量设计

    Table  1.   Design of experimental variables

    实验维度 研究目标 参数设置
    时间分辨率($ t $)/min 最优观测时间间隔 $ t $∈ {3, 3.8, 5.18, 8.14}
    输入帧长度($ {{N}}_{\text{pre}} $)/frame 前序观测时长的影响 $ {{N}}_{\text{pre}} $∈ {4, 6, 8, 10, 12, 14}
    输出帧长度($ {{N}}_{\text{aft}} $)/frame 预测时间跨度的极限 $ {{N}}_{\text{aft}} $∈ {4, 6, 8,10}
    下载: 导出CSV

    表  2  不同时间分辨率的模型输入输出参数设置

    Table  2.   Configuration of input/output parameters for models with different temporal resolutions

    模型名称 $ {{N}}_{\text{pre}} $ $ {{N}}_{\text{aft}} $ $ t $/min $ {{T}}_{\text{1}}-{{T}}_{\text{0}} $/min $ {{T}}_{\text{2}}-{{T}}_{\text{1}} $/min
    Model 4×4 4 4 8.14 24.42 32.56
    Model 6×6 6 6 5.18 25.9 31.08
    Model 8×8 8 8 3.8 26.6 30.4
    Model 10×10 10 10 3 27 30
    下载: 导出CSV

    表  3  不同时间尺度输出的模型参数设置

    Table  3.   Parameter configuration for models with varying output time scales

    模型名称 $ {{N}}_{\text{pre}} $ $ {{N}}_{\text{aft}} $ Time/min
    $ t $ $ {{T}}_{\text{1}}-{{T}}_{\text{0}} $ $ {{T}}_{2}-{{T}}_{1} $
    Model 6×4 6 4 3 15 12
    Model 6×6 6 6 3 15 18
    Model 6×8 6 8 3 15 24
    Model 6×10 6 10 3 15 30
    下载: 导出CSV

    表  4  不同时间尺度输入的模型参数设置

    Table  4.   Parameter configuration for models with varying input time scales

    模型名称 $ {{N}}_{\text{pre}} $ $ {{N}}_{\text{aft}} $ Time/min
    $ t $ $ {{T}}_{\text{1}}-{{T}}_{\text{0}} $ $ {{T}}_{2}-{{T}}_{1} $
    Model 4×6 4 6 3 9 18
    Model 6×6 6 6 3 15 18
    Model 8×6 8 6 3 21 18
    Model 10×6 10 6 3 27 18
    Model 12×6 12 6 3 33 18
    Model 14×6 14 6 3 39 18
    下载: 导出CSV

    表  5  EPB演化预测模型训练中使用的部分超参数

    Table  5.   Some hyperparameters used in the training of the EPB evolution prediction model

    Parameter Value
    Loss function MSE
    $ {{N}}_{\text{pre}} $ 6
    $ {{N}}_{\text{aft}} $ 6
    Epoch 1000
    Scheduler 0.001
    N_S 4
    N_T 8
    Hid_S 64
    Hid_T 256
    Batchsize 1
    下载: 导出CSV

    表  6  不同时间分辨率模型的性能比较

    Table  6.   Performance comparison of models with different temporal resolutions

    预测类型MSEMAESSIMPSNR
    Model 4×41586.78817551.6150.97829.843
    Model 6×61477.65116772.3860.97630.038
    Model 8×81152.50414463.2740.97731.518
    Model 10×101120.87713889.4690.98231.860
    下载: 导出CSV
  • [1] OTT E. Theory of Rayleigh-Taylor bubbles in the equatorial ionosphere[J]. Journal of Geophysical Research: Space Physics, 1978, 83(A5): 2066-2070 doi: 10.1029/JA083iA05p02066
    [2] KELLEY M C, HEELIS R A. The Earth’s Ionosphere: Plasma Physics and Electrodynamics[M]. 2nd ed. New York: Academic Press, 2009
    [3] TAKAHASHI H, TAYLOR M J, PAUTET P D, et al. Simultaneous observation of ionospheric plasma bubbles and mesospheric gravity waves during the spreadfex campaign[J]. Annales Geophysicae, 2009, 27(4): 1477-1487 doi: 10.5194/angeo-27-1477-2009
    [4] WU K, XU J Y, ZHU Y J, et al. Occurrence characteristics of branching structures in equatorial plasma bubbles: a statistical study based on all-sky imagers in China[J]. Earth and Planetary Physics, 2021, 5(5): 407-415 doi: 10.26464/EPP2021044
    [5] YOKOYAMA T. A review on the numerical simulation of equatorial plasma bubbles toward scintillation evaluation and forecasting[J]. Progress in Earth and Planetary Science, 2017, 4(1): 37 doi: 10.1186/s40645-017-0153-6
    [6] SULTAN P J. Linear theory and modeling of the Rayleigh-Taylor instability leading to the occurrence of equatorial spread F[J]. Journal of Geophysical Research: Space Physics, 1996, 101(A12): 26875-26891 doi: 10.1029/96JA00682
    [7] RETTERE J M. Forecasting low-latitude radio scintillation with 3-D ionospheric plume models: 1. plume model[J]. Journal of Geophysical Research: Space Physics, 2010, 115(A3): A03306 doi: 10.1029/2008ja013839
    [8] HUBA J D, JOYCE G. Global modeling of equatorial plasma bubbles[J]. Geophysical Research Letters, 2010, 37(17): L17104 doi: 10.1029/2010GL044281
    [9] AARONS J. Global morphology of ionospheric scintillations[J]. Proceedings of the IEEE, 1982, 70(4): 360-378 doi: 10.1109/proc.1982.12314
    [10] SU S Y, CHAO C K, LIU C H. On monthly/seasonal/longitudinal variations of equatorial irregularity occurrences and their relationship with the postsunset vertical drift velocities[J]. Journal of Geophysical Research: Space Physics, 2008, 113(A5): A05307 doi: 10.1029/2007ja012809
    [11] REDDY S A, FORSYTH C, ARULIAH A, et al. Predicting swarm equatorial plasma bubbles via machine learning and shapley values[J]. JGR Space Physics, 2023, 128(6): e2022JA031183 doi: 10.1029/2022JA031183
    [12] GITHIO L, LIU H X, ARAFA A A, et al. A machine learning approach for estimating the drift velocities of equatorial plasma bubbles based on all-sky imager and GNSS observations[J]. Advances in Space Research, 2024, 74(11): 6047-6064 doi: 10.1016/j.asr.2024.08.067
    [13] ZHAO X K, LI G Z, XIE H Y, et al. A novel short-term prediction model for regional equatorial plasma bubble irregularities in East and Southeast Asia[J]. Space Weather, 2025, 23(2): e2024SW004224 doi: 10.1029/2024SW004224
    [14] GAO Z Y, TAN C, WU L R, et al. SimVP: simpler yet better video prediction[C]//Proceedings of the 2022 IEEE/CVF Conference on Computer Vision and Pattern Recognition (CVPR). New Orleans: IEEE, 2022: 3160-3170
    [15] HU Z J, HAN B, ZHANG Y S, et al. Modeling of ultraviolet aurora intensity associated with interplanetary and geomagnetic parameters based on neural networks[J]. Space Weather, 2021, 19(11): e2021SW002751 doi: 10.1029/2021SW002751
    [16] JIANG J N, ZOU Z M, LU Y. A ConvLSTM-based prediction model of aurora evolution during the substorm expansion phase[J]. Earth and Space Science, 2023, 10(4): e2022EA002721 doi: 10.1029/2022EA002721
    [17] LIU L, ZOU S S, YAO Y B, et al. Forecasting global ionospheric TEC using deep learning approach[J]. Space Weather, 2020, 18(11): e2020SW002501 doi: 10.1029/2020SW002501
    [18] LIU P, YOKOYAMA T, SORI T, et al. Channel mixer layer: multimodal fusion toward machine reasoning for spatiotemporal predictive learning of ionospheric total electron content[J]. Space Weather, 2024, 22(12): e2024SW004121 doi: 10.1029/2024SW004121
    [19] SHIH C Y, LIN C Y T, LIN S Y, et al. Forecasting of global ionosphere maps with multi-day lead time using Transformer-based neural networks[J]. Space Weather, 2024, 22(2): e2023SW003579 doi: 10.1029/2023SW003579
    [20] GAO P D, CAI J H, WANG Z, et al. Prediction of ionograms with/without Spread-F at Hainan by a combined spatio-temporal neural network[J]. Space Weather, 2024, 22(1): e2023SW003727 doi: 10.1029/2023SW003727
    [21] DOSOVITSKIY A, BEYER L, KOLESNIKOV A, et al. An image is worth 16x16 words: transformers for image recognition at scale[OL]. arXiv preprint arXiv: 2010.11929, 2020. DOI:10.48550/arXiv.2010.11929
    [22] KIRANYAZ S, AVCI O, ABDELJABER O, et al. 1D convolutional neural networks and applications: a survey[J]. Mechanical Systems and Signal Processing, 2021, 151: 107398 doi: 10.1016/j.ymssp.2020.107398
    [23] AARONS J. The longitudinal morphology of equatorial F‐layer irregularities relevant to their occurrence[J]. Space Science Reviews, 1993, 63(3-4): 209-243 doi: 10.1007/BF00750769
    [24] SINGH S, BAMGBOYE D K, MCCLURE J P, et al. Morphology of equatorial plasma bubbles[J]. Journal of Geophysical Research: Space Physics, 1997, 102(A9): 20019-20029 doi: 10.1029/97JA01724
    [25] GHEINI M, REN X, MAY J. Cross-attention is all you need: adapting pretrained transformers for machine translation[OL]. arXiv preprint arXiv: 2104.08771, 2021
    [26] CHEN Z, LIU Y, SUN H. Physics-informed learning of governing equations from scarce data[J]. Nature Communications, 2021, 12(1): 6136 doi: 10.1038/s41467-021-26434-1
  • 加载中
图(11) / 表(6)
计量
  • 文章访问数:  598
  • HTML全文浏览量:  146
  • PDF下载量:  45
  • 被引次数: 

    0(来源:Crossref)

    0(来源:其他)

出版历程
  • 收稿日期:  2025-03-31
  • 修回日期:  2025-05-05
  • 网络出版日期:  2025-07-11

目录

    /

    返回文章
    返回