留言板

尊敬的读者、作者、审稿人, 关于本刊的投稿、审稿、编辑和出版的任何问题, 您可以本页添加留言。我们将尽快给您答复。谢谢您的支持!

姓名
邮箱
手机号码
标题
留言内容
验证码

某舱外载荷设备热控设计及验证

齐晓巧 朱清淋 杨雷 乔志宏

齐晓巧, 朱清淋, 杨雷, 乔志宏. 某舱外载荷设备热控设计及验证[J]. 空间科学学报. doi: 10.11728/cjss2026.02.2025-0050
引用本文: 齐晓巧, 朱清淋, 杨雷, 乔志宏. 某舱外载荷设备热控设计及验证[J]. 空间科学学报. doi: 10.11728/cjss2026.02.2025-0050
QI Xiaoqiao, ZHU Qinglin, YANG Lei, QIAO Zhihong. Thermal Control Design and Verification of Extravehicular Load Equipment (in Chinese). Chinese Journal of Space Science, 2026, 46(2): 392-402 doi: 10.11728/cjss2026.02.2025-0050
Citation: QI Xiaoqiao, ZHU Qinglin, YANG Lei, QIAO Zhihong. Thermal Control Design and Verification of Extravehicular Load Equipment (in Chinese). Chinese Journal of Space Science, 2026, 46(2): 392-402 doi: 10.11728/cjss2026.02.2025-0050

某舱外载荷设备热控设计及验证

doi: 10.11728/cjss2026.02.2025-0050 cstr: 32142.14.cjss.2025-0050
基金项目: 中国载人航天工程空间站载荷研制项目(T0182411PN), 博士科研启动基金项目(BKY-2022-11)和廊坊市科技支撑计划项目(2022011018, 2022011024)共同资助
详细信息
    通讯作者:
    • 齐晓巧 女, 1987年10月出生于河北省保定市, 现为北华航天工业学院机电工程学院讲师, 硕士导师, 主要研究方向为机械设计理论研究、结构热控设计、减振降噪研究等. E-mail: qixiaoqiao315@163.com
  • 中图分类号: V524

Thermal Control Design and Verification of Extravehicular Load Equipment

  • 摘要: 为了解决某舱外载荷设备在轨运行时因温度波动导致频率稳定性和传递精度下降的问题, 提出一套以被动热控为主、主动热控为辅的高效热控方案. 方案采用单相液冷冷板作为主散热面, 10单元多层隔热组件进行全方位包覆, 并利用高导热材料实现高效热传导; 同时辅以加热片与TEC半导体陶瓷片进行精确控温. 通过有限元仿真分析高低温工况下的温度分布并进行优化设计, 将关键部件温度变化控制在±0.5 K以内. 地面常温热平衡实验和在轨数据结果表明, 该方案有效抑制了温度波动对载荷设备的干扰, 显著提升了设备整体温度均匀性, 使光电二极管等敏感器件工作于最佳温度范围(25~50℃), 舱外载荷温度敏感器件温度变化速率优于0.1 K·min–1, 满足了高精度时频传输系统的在轨稳定性要求, 可为同类航天载荷设备热控设计提供重要参考.

     

  • 图  1  各器件在设备结构中的布局位置

    Figure  1.  Layout of each device in the structure

    图  2  器件散热途径

    Figure  2.  Heat dissipation channels of the device

    图  3  结构布局设计的整体情况

    Figure  3.  Overall situation of structural layout design

    图  4  飞行姿态及热模型

    Figure  4.  Flight attitude and thermal model

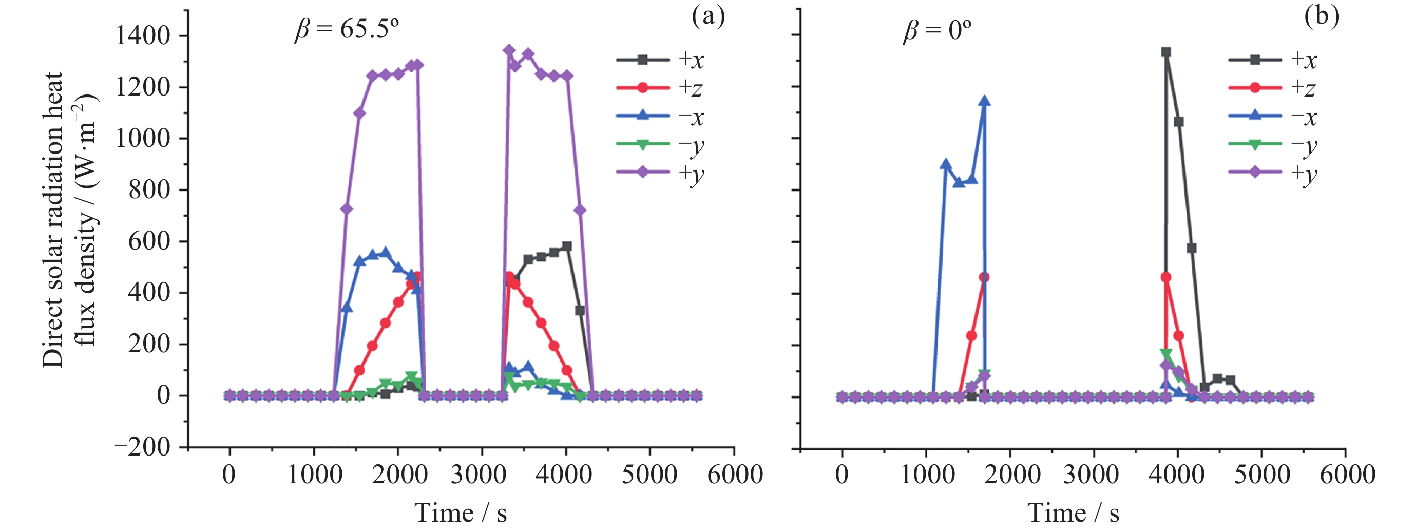
    图  5  β角为65.5°和0°时各朝向面到达太阳直射的辐射强度

    Figure  5.  Intensity of direct solar radiation reaching each orientation plane at β = 65.5° and β = 0°

    图  6  高温工况下温度分布情况

    Figure  6.  Temperature distribution under high temperature conditions

    图  7  高温工况下光电二极管温度随时间的变化曲线

    Figure  7.  Photodiode temperature curve with time under high temperature condition

    图  8  低温工况下温度分布情况.

    Figure  8.  Temperature distribution under low temperature conditions

    图  9  低温工况二极管温度随时间变化曲线

    Figure  9.  Curve of diode temperature with time in low temperature condition

    图  10  常温热平衡实验各模块温度随时间的变化曲线

    Figure  10.  Temperature change curve of each module in normal temperature hot vacuum test with time

    图  11  激光时频传递载荷在轨热控遥测数据曲线

    Figure  11.  Data curve of on-orbit thermal control telemetry of laser time-frequency transfer load

    图  12  一轨内二极管热控遥测数据曲线

    Figure  12.  Telemetry data curve of diode’s thermal control within one orbital pass

    表  1  某舱外载荷设备关键器件温控需求

    Table  1.   Temperature control requirements of key components of laser time-frequency transmission load

    Key device name Operating temperature range/℃ Optimum operating temperature
    range (thermal control target)/℃
    FPGA –55~+125 –45~+85
    Diode –55~+65 25~+50
    Timepiece –55~+65 25~+50
    Optical module –40~+85 –40~+85
    Power module –55~+125 –55~+85
    EMI filter –55~+125 –55~+85
    下载: 导出CSV

    表  2  热模型热物性参数选取

    Table  2.   Selection of thermal physical property parameters of the thermal model

    Number Materials Specific heat capacity/
    (J·kg–1·K–1)
    Thermal conductivity/
    (W·m–1·K–1)
    Density/(kg·m–3)
    1 Stainless steel 477 14.9 7900
    2 TC4 411 6.8 4440
    3 2 A12 924 151 2780
    4 3 A21 1092 181 2730
    5 7075 2810 960 140
    6 Quartz glass 800 1.4 2200
    7 Polytetrafluoroethylene 1000 0.24 2200
    8 6061 953 155 2700
    9 Multi-layer insulation component
    10 Fr4 600 10 1687
      多层绝缘组件的有效发射率为0.03.
    下载: 导出CSV

    表  3  热模型接触热阻选取

    Table  3.   Selection of contact thermal resistance in the thermal model

    Number Name Contact form Contact heat transfer
    coefficient/(W·m–2·K–1)
    1 Between frames Apply thermal grease 1000
    2 Power module and installation base plate Apply thermal grease 1000
    3 Filter and installation base plate Apply thermal grease 1000
    4 Heat dissipation plate and casing Apply thermal grease 1000
    5 TEC heat dissipation bracket and housing Apply thermal grease 1000
    6 Heat dissipation plate and timer Insulating heat-conducting pad: 1 mm
    7 Heat dissipation plate and optical module Insulating heat-conducting pad: 1 mm
    8 Heat dissipation and FPGA Insulating heat-conducting pad: 1 mm
    9 Reflector and upper cover plate TC4 (2.5 mm)
    下载: 导出CSV

    表  4  舱外载荷设备器件热耗及结壳热阻

    Table  4.   Heat consumption of extravehicular payload equipment and components and thermal resistance of the crust

    Number Device type Packaging Power
    consumption/W
    Crust formation thermal
    resistance/(K·W–1)
    1 FPGA BGA148 3 0.2
    2 1553 Chip DIP70 0.5 6.8
    3 Optical fiber 1553 SOP4 10
    4 ACTEL CQFP84 0.4 3.8
    5 Timer chip HTQFP 1.5 0.6
    6 Comparator WQFN 0.37 3.8
    7 Single-pole double-throw analog switch SOT-23 0.5 12.3
    8 Level converter μMAX 0.7 17.0
    9 DC/DC converter Welded hermetic 4.5 1.1
    10 Total 21.47
    下载: 导出CSV

    表  5  不同β角下卫星各个面到达的周期平均热流密度(单位: W·m–2 )

    Table  5.   Periodic average heat flux densities reached by each surface of the satellite at different β angles (Unit: W·m–2)

    β /(°) Types of external heat flow +x +z x y +y
    –65.5 Total external heat flow 188.3 353.3 198.7 114.2 537.1
    Direct sunlight 91.1 94.2 94.8 13.9 424.5
    Earth reflection 23.1 48.5 25.2 22.7 29.7
    Infrared of the Earth 74.0 210.6 78.7 77.6 82.8
    0 Total external heat flow 203.9 361.9 231.3 161.9 149.7
    Direct sunlight 81.1 35.9 96.5 10.7 9.7
    Earth reflection 53.8 115.8 59.4 67.1 60.7
    Infrared of the Earth 69.1 210.2 75.3 84.1 79.4
    65.5 Total external heat flow 217.0 358.6 215.2 634.1 133.3
    Direct sunlight 118.2 99.5 113.7 524.8 29.4
    Earth reflection 22.0 48.4 25.1 30.2 22.8
    Infrared of the Earth 76.8 210.7 76.4 79.1 81.1
    下载: 导出CSV

    表  6  舱外载荷设备分析工况

    Table  6.   Analysis of operating conditions of extravehicular payload equipment

    Working condition β/(º) Coating life Temperature of the
    load installation
    surface/℃
    Flight attitude Working mode
    High-temperature working condition –65.5 End stage 30 Three-axis stable flight Measurement mode
    Low-temperature working condition 0 Early stage 0 Three-axis stable flight Measurement mode
    下载: 导出CSV
  • [1] 姚渊博, 蒙艳松, 边朗, 等. 空间激光时频传递技术研究现状及趋势[J]. 空间电子技术, 2017, 14(5): 12-16,21

    YAO Yuanbo, MENG Yansong, BIAN Lang, et al. Research status and trends of space laser time and frequency transmission technology[J]. Space Electronic Technology, 2017, 14(5): 12-16,21
    [2] 林士峰, 李锴, 蒋桂忠, 等. 导航卫星原子钟舱温度控制方法及其验证[J]. 空间科学学报, 2019, 39(3): 381-387

    LIN Shifeng, LI Kai, JIANG Guizhong, et al. Method of temperature control and its validation for atomic clock cabin on navigation satellite[J]. Chinese Journal of Space Science, 2019, 39(3): 381-387
    [3] 王俊强, 高利军, 李运泽. 基于TEC的空间站末端回路温控系统建模及其热力学性能分析[J]. 航空动力学报, 2019, 34(7): 1483-1492 doi: 10.13224/j.cnki.jasp.2019.07.009

    WANG Junqiang, GAO Lijun, LI Yunze. Modeling and thermodynamic performance analysis of thermal control system based on terminal circuit with TEC in space station[J]. Journal of Aerospace Power, 2019, 34(7): 1483-1492 doi: 10.13224/j.cnki.jasp.2019.07.009
    [4] 刘红, 谭俊, 唐宗斌, 等. 卫星系统用激光通信载荷光学终端热控设计与试验验证[J]. 航天器环境工程, 2024, 41(1): 55-60

    LIU Hong, TAN Jun, TANG Zongbin, et al. Thermal control design and experimental verification of optical terminals for laser communication payloads of a satellite system[J]. Spacecraft Environment Engineering, 2024, 41(1): 55-60
    [5] 杨文刚, 樊学武, 王晨洁, 等. 天基望远镜探测器组件热电制冷系统设计与试验[J]. 光子学报, 2020, 49(8): 7-18 doi: 10.3788/gzxb20204908.0822001

    YANG Wengang, FAN Xuewu, WANG Chenjie, et al. Design and test of thermo electric cooling system for space based telescope detector assembly[J]. Acta Photonica Sinica, 2020, 49(8): 7-18 doi: 10.3788/gzxb20204908.0822001
    [6] 张磊, 沈苑, 祁见忠, 等. 基于热电制冷的某舱外载荷两级控温设计[J]. 航天器环境工程, 2023, 40(4): 380-386

    ZHANG Lei, SHEN Yuan, QI Jianzhong, et al. Two-stage thermal control design of an extravehicular load based on TEC[J]. Spacecraft Environment Engineering, 2023, 40(4): 380-386
    [7] 刘庆志, 易桦, 江海, 等. 星载低温光学系统热控设计与飞行验证[J]. 中国光学(中英文), 2023, 16(3): 542-549 doi: 10.37188/CO.2022-0200

    LIU Qingzhi, YI Hua, JIANG Hai, et al. Thermal control design and flight test of a satellite-borne cryogenic optical system[J]. Chinese Optics, 2023, 16(3): 542-549 doi: 10.37188/CO.2022-0200
    [8] 乔心全, 吕鲁仓, 安秀枝, 等. 亚太6E卫星平台与载荷一体化热控设计与验证[J]. 航天器工程, 2025, 34(1): 105-111 doi: 10.3969/j.issn.1673-8748.2025.01.018

    QIAO Xinquan, LV Lucang, AN Xiuzhi, et al. Integrated thermal control design and verification of platform and payload devices for APSTAR-6E Satellite[J]. Spacecraft Engineering, 2025, 34(1): 105-111 doi: 10.3969/j.issn.1673-8748.2025.01.018
    [9] 李大鹏. 平流层飞艇通信系统载荷舱热控设计[J]. 低温与超导, 2011, 39(5): 78-80 doi: 10.3969/j.issn.1001-7100.2011.05.018

    LI Dapeng. Thermal control system designed for stratospheric airship communication system gondola[J]. Cryogenics & Superconductivity, 2011, 39(5): 78-80 doi: 10.3969/j.issn.1001-7100.2011.05.018
    [10] 丰茂龙, 李刚, 雷鸣, 等. 空间站核心舱舱外大型控制力矩陀螺热控设计与验证[J]. 航天器工程, 2023, 32(6): 60-67 doi: 10.3969/j.issn.1673-8748.2023.06.009

    FENG Maolong, LI Gang, LEI Ming, et al. Thermal control design and verification for large-scale control moment gyroscope outside core module of space station[J]. Spacecraft Engineering, 2023, 32(6): 60-67 doi: 10.3969/j.issn.1673-8748.2023.06.009
    [11] 柏添, 孔林, 黄健, 等. 低倾角轨道微小遥感卫星的热设计及验证[J]. 光学精密工程, 2020, 28(11): 2497-2506 doi: 10.37188/OPE.20202811.2497

    BO Tian, KONG Lin, HUANG Jian, et al. Thermal design and verification of micro remote-sensing satellite in low inclination orbit[J]. Optics and Precision Engineering, 2020, 28(11): 2497-2506 doi: 10.37188/OPE.20202811.2497
    [12] 中国科学院空间应用工程与技术中心. 一种航天器激光时频传递载荷热控系统: 中国, 202211000166.4[P]. 2023-08-08

    Institute of Space Application Engineering and Technology, Chinese Academy of Sciences. A thermal control system for a spacecraft laser time-frequency transfer payload: CN, 202211000166.4[P]. 2023-08-08
    [13] Erdinç M, Rahmi Ü. Passive thermal control systems in spacecrafts[J]. Journal of the Brazilian Society of Mechanical Sciences and Engineering, 2023, 45(3): 160 doi: 10.1007/s40430-023-04073-5
  • 加载中
图(12) / 表(6)
计量
  • 文章访问数:  272
  • HTML全文浏览量:  103
  • PDF下载量:  25
  • 被引次数: 

    0(来源:Crossref)

    0(来源:其他)

出版历程
  • 收稿日期:  2025-04-03
  • 修回日期:  2026-01-12
  • 网络出版日期:  2026-01-13

目录

    /

    返回文章
    返回