留言板

尊敬的读者、作者、审稿人, 关于本刊的投稿、审稿、编辑和出版的任何问题, 您可以本页添加留言。我们将尽快给您答复。谢谢您的支持!

姓名
邮箱
手机号码
标题
留言内容
验证码

嫦娥七号任务测月雷达定标方法及实现

李玉喜 沈绍祥 卢伟 唐传军 李士东 李忠鹏 何望栋 方广有

李玉喜, 沈绍祥, 卢伟, 唐传军, 李士东, 李忠鹏, 何望栋, 方广有. 嫦娥七号任务测月雷达定标方法及实现[J]. 空间科学学报, 2026, 46(2): 507-519. doi: 10.11728/cjss2026.02.2025-0102
引用本文: 李玉喜, 沈绍祥, 卢伟, 唐传军, 李士东, 李忠鹏, 何望栋, 方广有. 嫦娥七号任务测月雷达定标方法及实现[J]. 空间科学学报, 2026, 46(2): 507-519. doi: 10.11728/cjss2026.02.2025-0102
LI Yuxi, SHEN Shaoxiang, LU Wei, TANG Chuanjun, LI Shidong, LI Zhongpeng, HE Wangdong, FANG Guangyou. Calibration Method and Implementation for the Lunar Penetrating Radar on Chang’E-7 Mission (in Chinese). Chinese Journal of Space Science, 2026, 46(2): 507-519 doi: 10.11728/cjss2026.02.2025-0102
Citation: LI Yuxi, SHEN Shaoxiang, LU Wei, TANG Chuanjun, LI Shidong, LI Zhongpeng, HE Wangdong, FANG Guangyou. Calibration Method and Implementation for the Lunar Penetrating Radar on Chang’E-7 Mission (in Chinese). Chinese Journal of Space Science, 2026, 46(2): 507-519 doi: 10.11728/cjss2026.02.2025-0102

嫦娥七号任务测月雷达定标方法及实现

doi: 10.11728/cjss2026.02.2025-0102 cstr: 32142.14.cjss.2025-0102
基金项目: 国家自然科学基金重大项目(62495034), 国家重点研发计划项目(2025YFF0513100)和国家自然科学基金面上项目(62471457)共同资助
详细信息
    作者简介:
    • 李玉喜 男, 1984年4月出生于河南省孟州市, 现为中国科学院空天信息创新研究院副研究员, 主要研究方向为星载探测雷达系统的研制、探地雷达(GPR)信号处理技术等. E-mail: liyx002994@aircas.ac.cn
  • 中图分类号: V416.6

Calibration Method and Implementation for the Lunar Penetrating Radar on Chang’E-7 Mission

  • 摘要: 嫦娥七号搭载的测月雷达旨在探测月球次表层结构. 为确保探测数据的有效性, 并提升数据解译的准确性与一致性, 提出一套适用于航天级穿透雷达的系统定标方法, 包括全系统增益标定与系统传递函数标定等. 基于该方法, 对测月雷达进行系统定标, 明确其在轨运行的最优参数配置. 在此参数设置下, 雷达系统各项性能指标均达到设计要求: 低频通道与高频通道的系统增益分别为171.02 dB与169.70 dB, 分别满足400 m与40 m探测深度的需求. 所获取的接收时变增益曲线及系统传递函数经模拟月壤试验验证, 可为月面探测科学数据提供有效的校准基准. 该定标方案可为未来深空探测任务中的雷达系统校准提供技术参考与范式.

     

  • 图  1  Chang’E-7测月雷达器布局

    Figure  1.  Layout diagram of the Chang’E-7 LPR

    图  2  Chang’E-7测月雷达数据脉冲压缩处理流程

    Figure  2.  Pulse compression processing flowchart of Chang’E-7 LPR

    图  3  发射功率定标测试结果

    Figure  3.  Results of transmit power calibration test

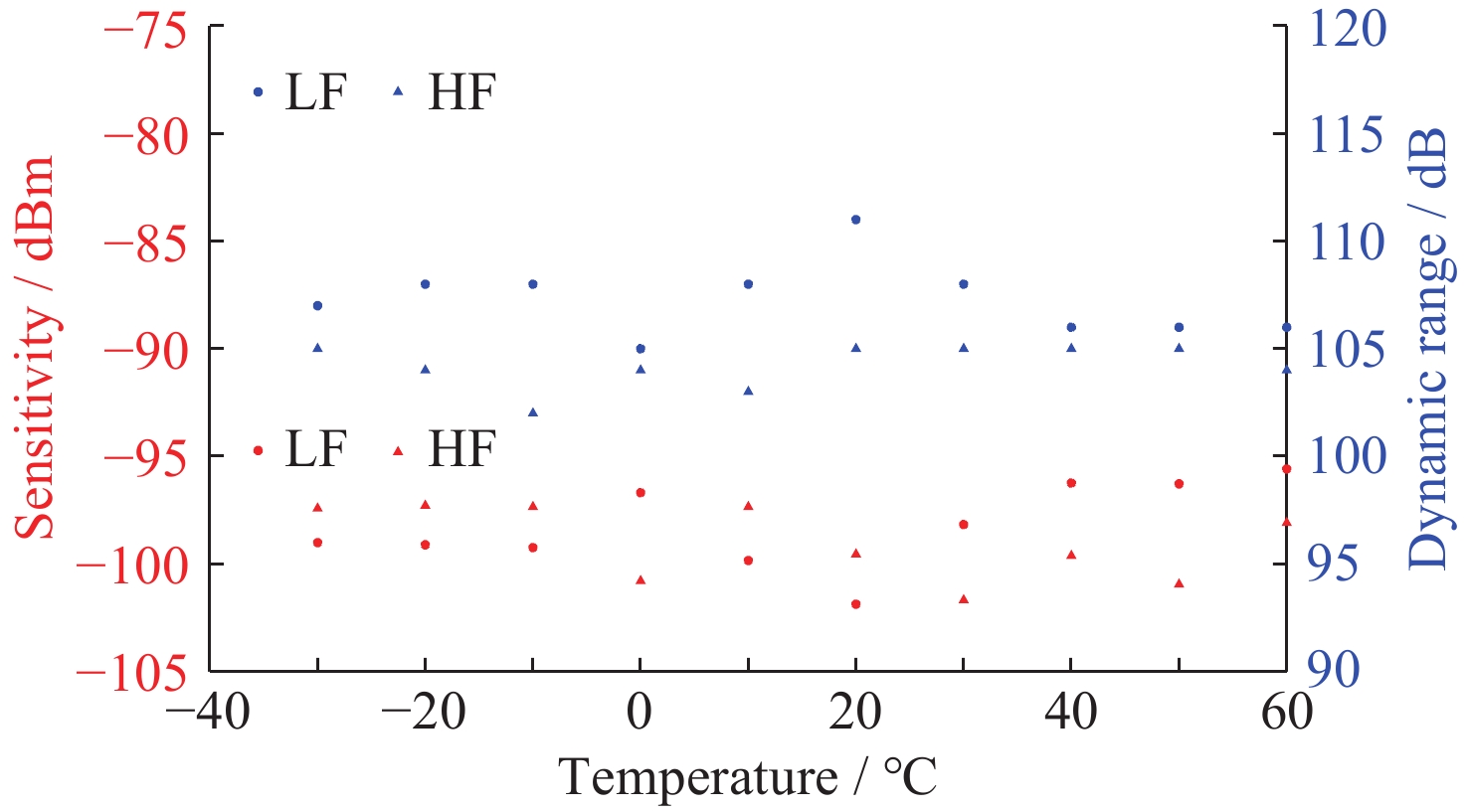
    图  4  接收机不同温度下的灵敏度和动态范围

    Figure  4.  Receiver sensitivity and dynamic range at different temperatures

    图  5  天线增益、方向图测试

    Figure  5.  Antenna gain and radiation pattern test

    图  6  高频通道天线增益测试结果

    Figure  6.  Test results of antenna gain for the HF channel

    图  7  高频天线方向图(800 MHz)

    Figure  7.  Radiation pattern of the HF antenna (800 MHz)

    图  8  低频天线增益测试结果

    Figure  8.  Test results of antenna gain for LF channel

    图  9  低频天线方向图(60 MHz)

    Figure  9.  Radiation pattern of the LF antenna (60 MHz)

    图  10  测月雷达高频通道增益曲线

    Figure  10.  Gain curve of the HF channel

    图  11  测月雷达高频通道时变增益还原结果

    Figure  11.  Time-variant gain restoration results of the HF channel

    图  12  测月雷达无反射信号获取现场

    Figure  12.  Field image of LPR non-reflective signal acquisition

    图  13  高频通道HH极化全反射回波信号

    Figure  13.  HF channel HH polarization full reflection echo signal

    图  14  高频通道HH极化无反射回波信号

    Figure  14.  HF Channel HH polarization echo signal without reflection

    图  15  系统传递函数校准探测数据. (a) 校准前信号, (b) 校准信号比对, (c) 利用校准后信号估算火山灰介电常数

    Figure  15.  Detection signal calibrating by using system transfer function. (a) Pre-calibration signal, (b) signal comparison during calibrating, (c) dielectric constant estimation of volcanic ash by using post-calibration signal

    图  16  测月雷达两通道实测信号频谱

    Figure  16.  Measured signal spectra of dual-channel LPR

    表  1  Chang’E-7测月雷达的主要技术指标要求

    Table  1.   Main technical requirements of the Chang’E-7 Lunar Penetrating Radar (LPR)

    No. Parameter Low frequency channel High frequency channel
    1 Operating frequency/MHz 10~110 100~1500
    2 Transmit power/W ≥0.2 ≥0.2
    3 Receiver dynamic range/dB ≥80 ≥70
    4 Receiver sensitivity/dBm ≤–80 ≤–70
    5 Antenna polarization HH HH, HV
    6 Thickness resolution Better than 2 m (εr=6.0) Better than 15 cm (εr=3.0)
    7 Penetration depth/m ≥400 (εr=6.0) ≥40 (εr=3.0)
    8 Design lifetime/a ≥8
    下载: 导出CSV
  • [1] YE P J, PENG J. Deep space exploration and its prospect in China[J]. Strategic Study of CAE, 2006, 8(10): 13-18
    [2] 王晶金, 李成智. 中国嫦娥探月工程的实践历程与创新初探[J]. 工程研究, 2024, 16(3): 364-374 doi: 10.3724/j.issn.1674-4969.23011111

    WANG Jingjin, LI Chengzhi. Practical history and innovation of China’s Chang’E lunar project[J]. Journal of Engineering Studies, 2024, 16(3): 364-374 doi: 10.3724/j.issn.1674-4969.23011111
    [3] 叶培建, 黄江川, 孙泽洲, 等. 中国月球探测器发展历程和经验初探[J]. 中国科学: 技术科学, 2014, 44(6): 543-558 doi: 10.1360/N092014-00150

    YE Peijian, HUANG Jiangchuan, SUN Zezhou, et al. The process and experience in the development of Chinese lunar probe[J]. Scintia Sinica Technologica, 2014, 44(6): 543-558 doi: 10.1360/N092014-00150
    [4] 孙泽洲, 张廷新, 张熇, 等. 嫦娥三号探测器的技术设计与成就[J]. 中国科学: 技术科学, 2014, 44(4): 331-343 doi: 10.1360/092014-37

    SUN Zezhou, ZHANG Tingxin, ZHANG He, et al. The technical design and achievements of Chang’E-3 probe[J]. Scientia Sinica Technologica, 2014, 44(4): 331-343 doi: 10.1360/092014-37
    [5] 胡浩, 裴照宇, 李春来, 等. 无人月球采样返回工程总体设计——嫦娥五号任务[J]. 中国科学: 技术科学, 2021, 51(11): 1275-1286 doi: 10.1360/SST-2021-0155

    HU Hao, PEI Zhaoyu, LI Chunlai, et al. Overall design of unmanned lunar sampling and return project—Chang’E-5 mission[J]. Scientia Sinica Technologica, 2021, 51(11): 1275-1286 doi: 10.1360/SST-2021-0155
    [6] LI C L, HU H, YANG M F, et al. Characteristics of the lunar samples returned by the Chang’E-5 mission[J]. National Science Review, 2022, 9(2): nwab188 doi: 10.1093/nsr/nwab188
    [7] LI C L, HU H, YANG M F, et al. Nature of the lunar far-side samples returned by the Chang’E-6 mission[J]. National Science Review, 2024, 11(11): nwae328 doi: 10.1093/nsr/nwae328
    [8] 余后满, 饶炜, 张益源, 等. “嫦娥七号”探测器任务综述[J]. 深空探测学报(中英文), 2023, 10(6): 567-576 doi: 10.15982/j.issn.2096-9287.2023.20230119

    YU Houman, RAO Wei, ZHANG Yiyuan, et al. Mission analysis and spacecraft design of Chang’E-7[J]. Journal of Deep Space Exploration, 2023, 10(6): 567-576 doi: 10.15982/j.issn.2096-9287.2023.20230119
    [9] WANG C, JIA Y Z, XUE C B, et al. Scientific objectives and payload configuration of the Chang’E-7 mission[J]. National Science Review, 2024, 11(2): nwad329 doi: 10.1093/nsr/nwad329
    [10] 傅晓晶, 蔡晓东, 刘一鸣, 等. “嫦娥七号”探测器多器协同综合测试技术[J]. 深空探测学报(中英文), 2023, 10(6): 577-585 doi: 10.15982/j.issn.2096-9287.2023.20230103

    FU Xiaojing, CAI Xiaodong, LIU Yiming, et al. Comprehensive testing technology for multi spacecraft collaboration in Chang’E-7 lunar probe[J]. Journal of Deep Space Exploration, 2023, 10(6): 577-585 doi: 10.15982/j.issn.2096-9287.2023.20230103
    [11] ASTM International. ASTM D6087-22 Standard Test Method for Evaluating Asphalt-covered Concrete Bridge Decks using Ground Penetrating Radar[S]. West Conshohocken, PA: ASTM International, 2022
    [12] MAHMOUDZADEH ARDEKANI M R, LAMBOT S. Full-wave calibration of time- and frequency-domain ground-penetrating radar in far-field conditions[J]. IEEE Transactions on Geoscience and Remote Sensing, 2014, 52(1): 664-678 doi: 10.1109/TGRS.2013.2243458
    [13] PAJEWSKI L, VRTUNSKI M, BUGARINOVIĆ Ž, et al. GPR system performance compliance according to COST action TU1208 guidelines[J]. Ground Penetrating Radar, 2018, 1(2): GPR-1-2-1
    [14] CROCI R, FOIS F, FLAMINI E, et al. Calibration report of the SHARAD instrument[C]//2007 4th International Workshop on Advanced Ground Penetrating Radar. Aula Magna Partenope: IEEE, 2007: 241-245. DOI: 10.1109/AGPR.2007.386560
    [15] BENEDIX W S, PLETTEMEIER D, WOLF K, et al. External calibration of GPR antenna accommodated on a rover[C]//Proceedings of the 4th European Conference on Antennas and Propagation. Barcelona: IEEE, 2010: 1-4
    [16] CAMPBELL B A, MORGAN G A, BERNARDINI F, et al. Calibration of Mars reconnaissance orbiter Shallow Radar (SHARAD) data for subsurface probing and surface reflectivity studies[J]. Icarus, 2021, 360: 114358. DOI: 10.1016/j.icarus.2021.114358
    [17] HERVÉ Y, CIARLETTI V, LE GALL A, et al. The WISDOM radar on board the ExoMars 2022 Rover: characterization and calibration of the flight model[J]. Planetary and Space Science, 2020, 189: 104939 doi: 10.1016/j.pss.2020.104939
    [18] 沈绍祥, 赵博, 卢伟, 等. 嫦娥七号探测器有效载荷分系统测月雷达正样设计报告: KTY-CEY200-7-X JB 43[R]. 北京: 中国科学院空天信息创新研究院, 2024

    SHEN Shaoxiang, ZHAO Bo, LU Wei, et al. Final Design Report of the Lunar Penetrating Radar Flight Model for Chang’E-7 Payload Subsystem: KTY-CEY200-7-X JB 43[R]. Beijing: Aerospace Information Research Institute, Chinese Academy of Sciences, 2024
    [19] 李玉喜. 嫦娥五号有效载荷月壤结构探测仪定标与验证研究[D]. 北京: 中国科学院大学, 2019

    LI Yuxi. Research on Calibration and Verification of Lunar Penetrating Array Radar for Chang’E-5 Payload[D]. Beijing: University of Chinese Academy of Sciences, 2019
    [20] CARRIER III W D, OLHOEFT G R, MENDELL W. Physical Properties of the Lunar Surface[M]. Cambridge: Cambridge University Press, 1991
    [21] LI C L, SU Y, PETTINELLI E, et al. The Moon’s farside shallow subsurface structure unveiled by Chang’E-4 Lunar Penetrating Radar[J]. Science Advances, 2020, 6(9): eaay6898 doi: 10.1126/sciadv.aay6898
    [22] ZHANG J H, ZHOU B, LIN Y T, et al. Lunar regolith and substructure at Chang’E-4 landing site in South Pole–Aitken basin[J]. Nature Astronomy, 2020, 5(1): 25-30 doi: 10.1038/s41550-020-1197-x
    [23] NOON D A, STICKLEY G F, LONGSTAFF D. A frequency-independent characterisation of GPR penetration and resolution performance[J]. Journal of Applied Geophysics, 1998, 40(1/2/3): 127-137 doi: 10.1016/S0926-9851(98)00008-1
    [24] SU Y, WANG R G, DENG X J, et al. Hyperfine structure of regolith unveiled by Chang’E-5 lunar regolith penetrating radar[J]. IEEE Transactions on Geoscience and Remote Sensing, 2022, 60: 5110414. DOI: 1109/TGRS.2022.3148200
    [25] 李玉喜, 沈绍祥, 卢伟, 等. 嫦娥七号探测器有效载荷分系统测月雷达定标试验大纲: KTY-CEY200-7-X DG 02[R]. 北京: 中国科学院空天信息创新研究院, 2024

    LI Yuxi, SHEN Shaoxiang, LU Wei, et al. Calibration Test Outline of the Lunar Penetrating Radar for Chang’E-7 Payload Subsystem: KTY-CEY200-7-X DG 02[R]. Beijing: Aerospace Information Research Institute, Chinese Academy of Sciences, 2024
    [26] 李玉喜, 沈绍祥, 卢伟, 等. 嫦娥七号探测器有效载荷分系统测月雷达正样件定标试验总结: KTY-CEY200-7-X SB 26[R]. 北京: 中国科学院空天信息创新研究院, 2024

    LI Yuxi, SHEN Shaoxiang, LU Wei, et al. Calibration Test Summary of the Lunar Penetrating Radar Flight Model for Chang’E-7 Payload Subsystem: KTY-CEY200-7-X SB 26[R]. Beijing: Aerospace Information Research Institute, Chinese Academy of Sciences, 2024
  • 加载中
图(16) / 表(1)
计量
  • 文章访问数:  641
  • HTML全文浏览量:  292
  • PDF下载量:  68
  • 被引次数: 

    0(来源:Crossref)

    0(来源:其他)

出版历程
  • 收稿日期:  2025-06-30
  • 修回日期:  2025-09-20
  • 网络出版日期:  2025-09-26

目录

    /

    返回文章
    返回