留言板

尊敬的读者、作者、审稿人, 关于本刊的投稿、审稿、编辑和出版的任何问题, 您可以本页添加留言。我们将尽快给您答复。谢谢您的支持!

姓名
邮箱
手机号码
标题
留言内容
验证码

嫦娥七号中能质子探测器的定标及仿真分析

侯东辉 张珅毅 沈国红 张贤国 权子达 王丽萍 袁斌 张焕新 王春琴 朱桂平 方美华

侯东辉, 张珅毅, 沈国红, 张贤国, 权子达, 王丽萍, 袁斌, 张焕新, 王春琴, 朱桂平, 方美华. 嫦娥七号中能质子探测器的定标及仿真分析[J]. 空间科学学报, 2026, 46(2): 444-453. doi: 10.11728/cjss2026.02.2025-0109
引用本文: 侯东辉, 张珅毅, 沈国红, 张贤国, 权子达, 王丽萍, 袁斌, 张焕新, 王春琴, 朱桂平, 方美华. 嫦娥七号中能质子探测器的定标及仿真分析[J]. 空间科学学报, 2026, 46(2): 444-453. doi: 10.11728/cjss2026.02.2025-0109
HOU Donghui, ZHANG Shenyi, SHEN Guohong, ZHANG Xianguo, QUAN Zida, WANG Liping, YUAN Bin, ZHANG Huanxin, WANG Chunqin, ZHU Guiping, FANG Meihua. Calibration and Simulation Analysis of the Medium-energy Proton Detector on Chang’E-7 (in Chinese). Chinese Journal of Space Science, 2026, 46(2): 444-453 doi: 10.11728/cjss2026.02.2025-0109
Citation: HOU Donghui, ZHANG Shenyi, SHEN Guohong, ZHANG Xianguo, QUAN Zida, WANG Liping, YUAN Bin, ZHANG Huanxin, WANG Chunqin, ZHU Guiping, FANG Meihua. Calibration and Simulation Analysis of the Medium-energy Proton Detector on Chang’E-7 (in Chinese). Chinese Journal of Space Science, 2026, 46(2): 444-453 doi: 10.11728/cjss2026.02.2025-0109

嫦娥七号中能质子探测器的定标及仿真分析

doi: 10.11728/cjss2026.02.2025-0109 cstr: 32142.14.cjss.2025-0109
详细信息
    作者简介:
    • 侯东辉 女, 1992年3月出生于河北省唐山市, 现为中国科学院国家空间科学中心高级工程师, 主要研究方向为空间能量粒子探测器的仿真、设计及数据处理等. E-mail: houdonghui@nssc.ac.cn
    通讯作者:
    • 张珅毅 男, 1978年8月出生于新疆库尔勒市. 现为中国科学院国家空间科学中心研究员, 博士生导师, 主要研究方向为空间能量粒子探测器的仿真、设计及数据处理, 基于人工智能的粒子在轨识别和测量方法. E-mail: zsy@nssc.ac.cn
  • 中图分类号: V447

Calibration and Simulation Analysis of the Medium-energy Proton Detector on Chang’E-7

  • 摘要: 嫦娥七号着陆器月表探测分系统搭载的双向中能质子探测器是国际首次实现月表双指向中能质子探测, 可以提供月表朝天和对地向中能质子的能谱数据(0.03~30 MeV), 为月球粒子辐射环境建模以及载人登月辐射防护等提供重要的数据支撑. 针对中能质子探测器地面定标的特殊问题, 利用电子加速器实现质子等效能量的标定, 结合高能质子穿透后的沉积能量实现全能段验证, 并通过加速器实验与仿真相结合的方法量化电子污染抑制能力. 研究表明, 探测器能量刻度偏差优于3%; 抗电子污染能力在1.4 MeV及以下, 优于94%; 朝天向探头几何因子平均值为0.053 cm–2·sr–1; 对地向探头几何因子平均值为0.3041 cm–2·sr–1. 定标结果为在轨数据反演提供了可靠基础, 所建立的定标仿真体系对未来月球及深空带电粒子探测器校准具有重要借鉴意义.

     

  • 图  1  中能探头构成

    Figure  1.  Structure of the Medium-energy detector

    图  2  质子与电子的等效映射

    Figure  2.  Equivalent mapping of protons and electrons

    图  3  中高能电子加速器 (a) 和质子位移损伤效应模拟装置(b)

    Figure  3.  Medium/high-energy electron accelerator (a), and Proton Displacement Damage Effect Simulation Facility (PREF) (b)

    图  4  能量刻度实验流程

    Figure  4.  Energy calibration test flowchart

    图  5  磁场分布模型

    Figure  5.  Magnetic field distribution model

    图  6  磁场磁通密度模测量装置

    Figure  6.  Magnetic flux density magnitude measurement setup

    图  7  垂直入射电子在磁场偏转下的GEANT4仿真

    Figure  7.  GEANT4 simulation of electron deflection under magnetic field for vertically incident electrons

    图  8  30 keV质子以不同角度入射时磁场偏转下的GEANT4仿真

    Figure  8.  GEANT4 simulation of 30 keV protons incident at different angles under magnetic field deflection

    图  9  电子与质子在探测器中的响应谱

    Figure  9.  Electron and proton response spectra

    图  10  不同能量质子与电子在传感器中的沉积能量

    Figure  10.  Energy deposition of protons and electrons with different energies in the sensor

    图  11  中能质子探测器两路放大电路的能量刻度曲线

    Figure  11.  Energy calibration curves for the MEPD

    图  12  中能质子探测器磁偏转能力

    Figure  12.  Magnetic deflection capability of the MEPD

    图  13  中能质子探测器反符合能力

    Figure  13.  Anti-coincidence capability of the MEPD

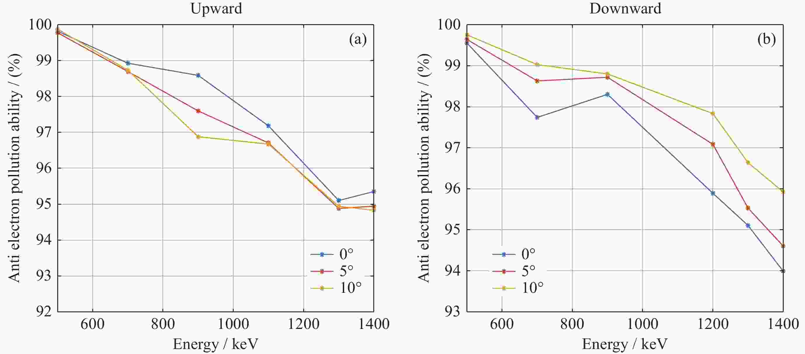
    图  14  中能质子探测器抗电子污染能力

    Figure  14.  Electron contamination suppression capability of the MEPD

    图  15  垂直入射时磁偏转能力对比

    Figure  15.  Comparison of magnetic deflection capability for vertically incident particles

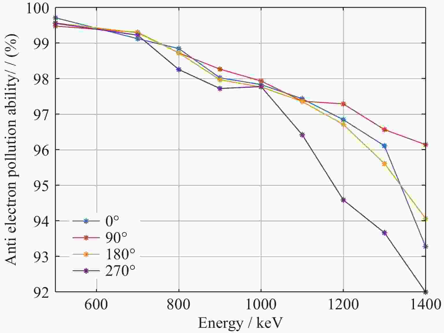
    图  16  与传感器法向夹角为5° (极角)时不同方位角的抗电子污染能力

    Figure  16.  Electron contamination suppression capability at 5° polar angle to sensor normal under different azimuthal angles

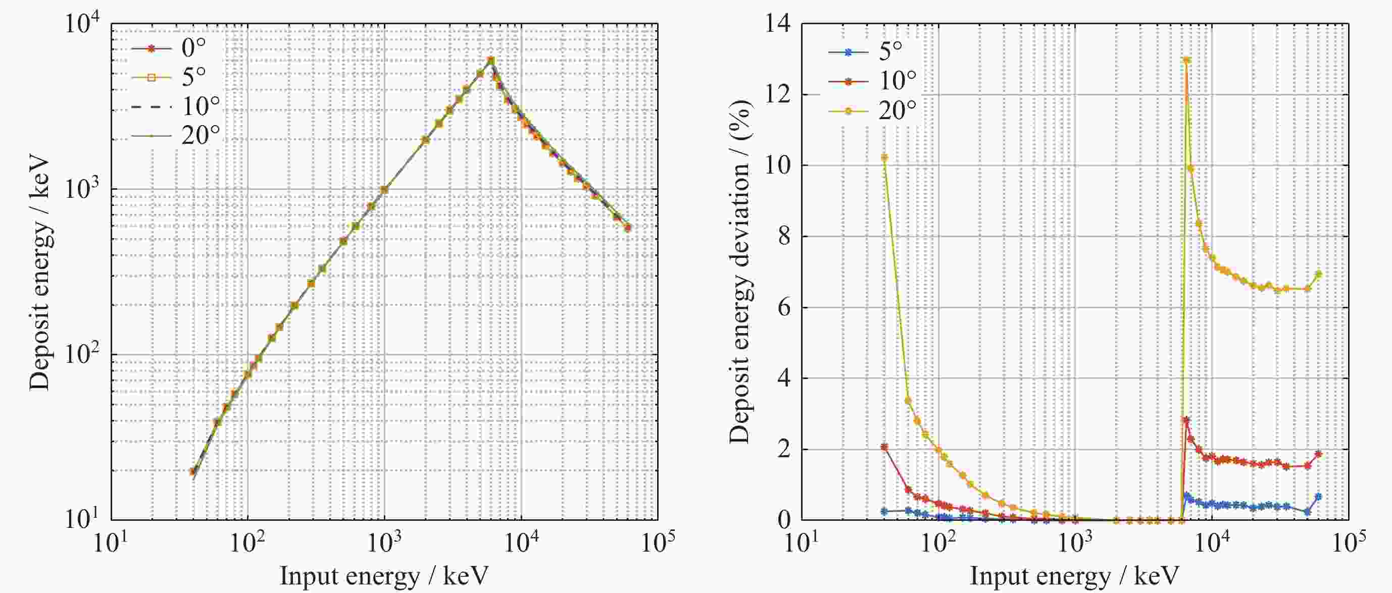
    图  17  不同角度下质子在传感器中的沉积能量. (a)不同角度不同能量下质子沉积能量, (b)不同角度沉积能量与垂直入射沉积能量的偏差

    Figure  17.  Proton energy deposition in the sensor at different incident angles. (a) Energy deposition of protons with various energies at different angles, (b) deviation of energy deposition at different angles relative to vertical incidence

    图  18  几何因子

    Figure  18.  Geometry factor

    表  1  中能质子探头的能档划分

    Table  1.   Energy channel division for the Medium-Energy Proton Detector (MEPD)

    能档能量/keV
    P130~80
    P280~170
    P3170~350
    P4350~800
    P5800~1500
    P61500~2500
    P72500~4000
    P84000~5500
    P96150~9300
    P109300~18000
    P1118000~30000
    下载: 导出CSV

    表  2  加速器关键参数

    Table  2.   Key parameters of the accelerator

    参数 中高能电子
    加速器
    质子位移损伤效应
    模拟装置
    粒子种类 电子 质子
    粒子能量/MeV 0.015~1.5 10~60
    束流能散/(%) <0.01 <0.2
    束流强度/(cm–2·s–1) 103~109 102~109
    束斑尺寸/cm 4×4 1×1~20×20
    均匀性/(%) ≥95 ≥90
    通量不稳定度/(%) <1 ≤1
    下载: 导出CSV
  • [1] WANG L P, SHEN G H, ZHANG H X, et al. Design and development of energy particle detector on China’s Chang’E-7[J]. Aerospace, 2024, 11(11): 893 doi: 10.3390/aerospace11110893
    [2] 沈国红, 黄聪, 张鹏飞, 等. 风云三号E星空间环境载荷综合探测技术[J]. 北京大学学报(自然科学版), 2024, 60(1): 145-156 doi: 10.13209/j.0479-8023.2023.096

    SHEN Guohong, HUANG Cong, ZHANG Pengfei, et al. Comprehensive detection payload technology for space environment of FY-3E satellite[J]. Acta Scientiarum Naturalium Universitatis Pekinensis, 2024, 60(1): 145-156 doi: 10.13209/j.0479-8023.2023.096
    [3] HOU D H, ZHANG X X, WANG J H, et al. Calibration of the FY-3E particle sensors: High-Energy Particle Detector (HEPD)[J]. Journal of Instrumentation, 2023, 18(7): P07050 doi: 10.1088/1748-0221/18/07/P07050
    [4] 郝梦坛, 张珅毅, 侯东辉, 等. 风云三号E星中能质子探测器标定[J]. 空间科学学报, 2023, 43(3): 558-566 doi: 10.11728/cjss2023.03.220329033

    HAO Mengtan, ZHANG Shenyi, HOU Donghui, et al. Calibration of the medium energy proton detector of FY-3E[J]. Chinese Journal of Space Science, 2023, 43(3): 558-566 doi: 10.11728/cjss2023.03.220329033
    [5] ZHANG S Y, ZHANG X G, WANG C Q, et al. The geometric factor of high energy protons detector on FY-3 satellite[J]. Science China Earth Sciences, 2014, 57(10): 2558-2566 doi: 10.1007/s11430-014-4853-0
    [6] VON ROSENVINGE T T, REAMES D V, BAKER R, et al. The high energy telescope for STEREO[J]. Space Science Reviews, 2008, 136(1): 391-435 doi: 10.1007/s11214-007-9300-5
  • 加载中
图(18) / 表(2)
计量
  • 文章访问数:  266
  • HTML全文浏览量:  166
  • PDF下载量:  40
  • 被引次数: 

    0(来源:Crossref)

    0(来源:其他)

出版历程
  • 收稿日期:  2025-07-01
  • 修回日期:  2026-01-30
  • 网络出版日期:  2026-03-12

目录

    /

    返回文章
    返回