留言板

尊敬的读者、作者、审稿人, 关于本刊的投稿、审稿、编辑和出版的任何问题, 您可以本页添加留言。我们将尽快给您答复。谢谢您的支持!

姓名
邮箱
手机号码
标题
留言内容
验证码

单台站地磁Kpest指数数据集(2022-2024年)

王晶 钟秋珍 罗冰显 王霄 赵明亮 程永宏 沈华

王晶, 钟秋珍, 罗冰显, 王霄, 赵明亮, 程永宏, 沈华. 单台站地磁Kpest指数数据集(2022-2024年)[J]. 空间科学学报. doi: 10.11728/cjss2026.02.2025-0131
引用本文: 王晶, 钟秋珍, 罗冰显, 王霄, 赵明亮, 程永宏, 沈华. 单台站地磁Kpest指数数据集(2022-2024年)[J]. 空间科学学报. doi: 10.11728/cjss2026.02.2025-0131
WANG Jing, ZHONG Qiuzhen, LUO Bingxian, WANG Xiao, ZHAO Mingliang, CHENG Yonghong, SHEN Hua. A Dataset of Geomagnetic Kpest Index from Individual Stations (2022-2024) (in Chinese). Chinese Journal of Space Science, 2026, 46(2): 1-8 doi: 10.11728/cjss2026.02.2025-0131
Citation: WANG Jing, ZHONG Qiuzhen, LUO Bingxian, WANG Xiao, ZHAO Mingliang, CHENG Yonghong, SHEN Hua. A Dataset of Geomagnetic Kpest Index from Individual Stations (2022-2024) (in Chinese). Chinese Journal of Space Science, 2026, 46(2): 1-8 doi: 10.11728/cjss2026.02.2025-0131

单台站地磁Kpest指数数据集(2022-2024年)

doi: 10.11728/cjss2026.02.2025-0131 cstr: 32142.14.cjss.2025-0131
详细信息
    作者简介:
    • 王晶 女, 1978年12月出生于辽宁省抚顺市, 现为中国科学院国家空间科学中心副研究员, 主要研究方向为空间环境监测数据应用、空间环境指数建模等. E-mail: jwang@nssc.ac.cn
    通讯作者:
    • 钟秋珍 女, 1974年8月出生于河南省唐河县, 现为中国科学院国家空间科学中心研究员、硕士研究生导师, 主要研究方向为空间环境预报方法与模型. E-mail: zhongqz@nssc.ac.cn
  • 中图分类号: P353.7

A Dataset of Geomagnetic Kpest Index from Individual Stations (2022-2024)

  • 摘要: 2011年中国科学院国家空间科学中心建立了中国科学院空间环境监测网, 地磁台站分别位于漠河、北京、廊坊、三亚、富克. 通过融合处理这5个地磁台站磁通门磁力仪H分量监测数据, 发展一种可以有效识别地磁规则日变化, 反映地磁扰动季节变化和地方时效应, 并且适合中国地磁台网分布特性的估算地磁指数Kpest. 本数据集包含2022-2024年5个地磁台站的地磁指数Kpest, 能够改变目前官方Kp指数发布延迟2周因而无法满足业务需求的现状, 为空间天气预报服务提供数据支撑.

     

  • 图  1  磁通门磁力仪工作原理

    Figure  1.  Working principle diagram of magnetic flux gate magnetometer

    图  2  2024年1月30-31日北京台站地磁H分量数据修正前后对比

    Figure  2.  Comparison of the data of the H component of the geomagnetic field in Beijing station before and after correction on 30-31 Jan. 2024

    图  3  QDC生成过程

    Figure  3.  Process of QDC generation

    图  4  5个台站KKpest转换系数

    Figure  4.  conversion coefficients of K to Kpest for 5 stations

    图  5  Kpest指数文件示例

    Figure  5.  Kpest index file

    图  6  不同地磁扰动下的数据集响应

    Figure  6.  Dataset response under different geomagnetic disturbances

    图  7  5个台站Kpest指数与官方Kp指数差值分布

    Figure  7.  Differences distribution between the Kpest indices of 5 stations and the official Kp index

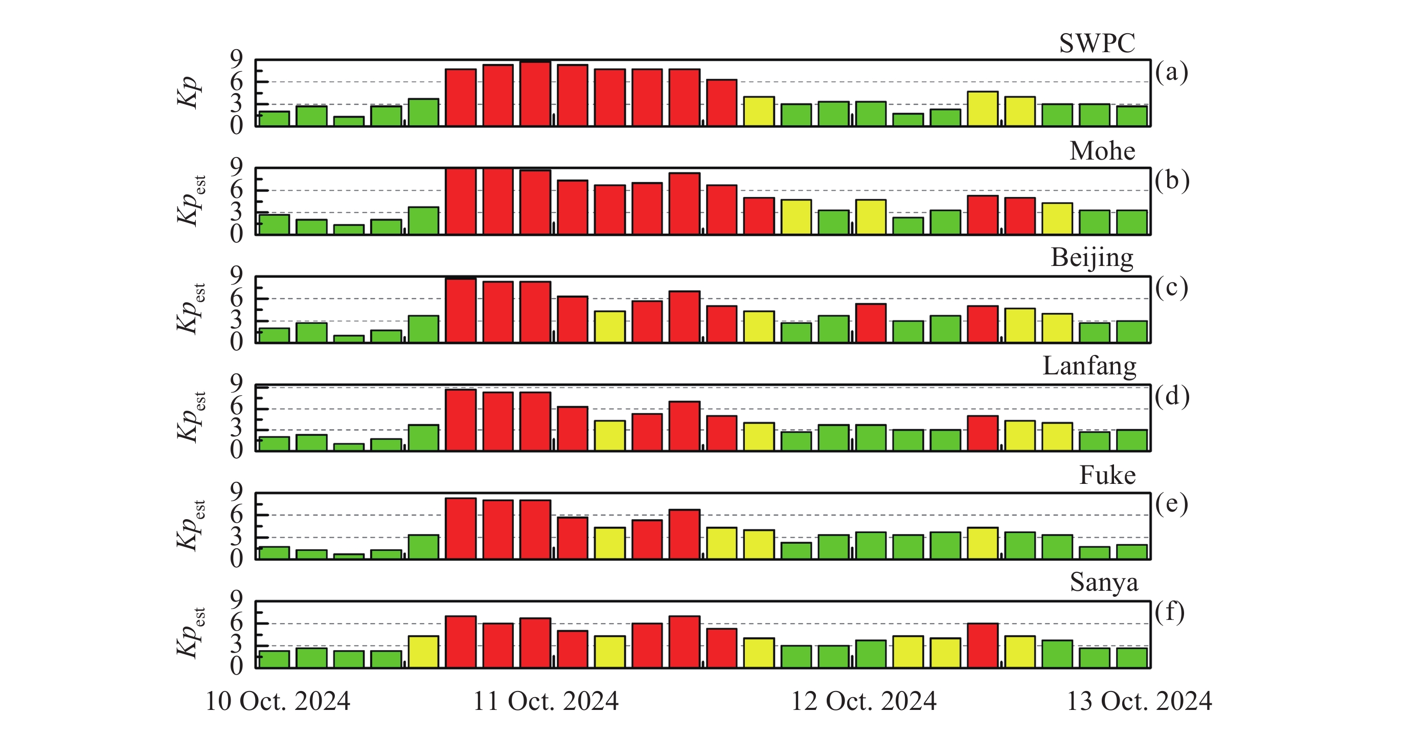
    图  8  2024年10月10-12日5个台站Kpest指数与官方Kp指数的对比

    Figure  8.  Comparison of the Kpest index of 5 stations with the official Kp index during 10-12 October 2024

    表  1  监测网5个地磁台站位置信息

    Table  1.   Location information of 5 geomagnetic stations in the monitoring network

    序号 台站名称 地理纬度/(°)N 地理经度/(°)E 地磁纬度/(°)N 地磁经度/(°)E
    1 漠河 53.49 122.34 43.12 191.37
    2 北京 40.30 116.19 29.76 186.85
    3 廊坊 39.50 116.70 28.97 187.33
    4 富克 19.50 109.10 8.94 180.66
    5 三亚 18.44 108.97 7.89 180.54
    下载: 导出CSV

    表  2  K指数与地磁扰幅对照

    Table  2.   K index and geomagnetic disturbance amplitude comparison table

    K 0 1 2 3 4 5 6 7 8 9
    amin/nT 0 3 6 12 24 40 70 120 200 300
    下载: 导出CSV

    表  3  Kpest指数数据记录格式

    Table  3.   Kpest index data recording format

    参数 格式 值域 无效填充值
    1 年、月、日、时 A10
    2 漠河台站K指数 I1 0~9 NaN
    3 漠河台站Kpest指数 F3.1 0~9 NaN
    4 北京台站K指数 I1 0~9 NaN
    5 北京台站Kpest指数 F3.1 0~9 NaN
    6 廊坊台站K指数 I1 0~9 NaN
    7 廊坊台站Kpest指数 F3.1 0~9 NaN
    8 三亚台站K指数 I1 0~9 NaN
    9 三亚台站Kpest指数 F3.1 0~9 NaN
    10 富克台站K指数 I1 0~9 NaN
    11 富克台站Kpest指数 F3.1 0~9 NaN
    下载: 导出CSV
  • [1] 徐文耀. 地球电磁现象物理学[M]. 合肥: 中国科学技术大学出版社, 2009

    XU Wenyao. Physics of Electromagnetic Phenomena of the Earth[M]. Hefei: University of Science and Technology of China Press, 2009
    [2] WELLING D T, ANDRÉ M, DANDOURAS I, et al. The earth: plasma sources, losses, and transport processes[J]. Space Science Reviews, 2015, 192(1/2/3/4): 145-208 doi: 10.1007/978-1-4939-3544-4_5
    [3] EMERY B A, COUMANS V, EVANS D S, et al. Seasonal, Kp, solar wind, and solar flux variations in long-term single-pass satellite estimates of electron and ion auroral hemispheric power[J]. Journal of Geophysical Research: Space Physics, 2008, 113(A6): A06311 doi: 10.1029/2007JA012866
    [4] GOLDSTEIN J, DE PASCUALE S, KLETZING C, et al. Simulation of van Allen probes plasmapause encounters[J]. Journal of Geophysical Research: Space Physics, 2014, 119(9): 7464-7484 doi: 10.1002/2014JA020252
    [5] PIERRARD V, GOLDSTEIN J, ANDRÉ N, et al. Recent progress in physics-based models of the plasmasphere[J]. Space Science Reviews, 2009, 145(1/2): 193-229 doi: 10.1007/978-1-4419-1323-4_7
    [6] DENTON M H, HENDERSON M G, JORDANOVA V K, et al. An improved empirical model of electron and ion fluxes at geosynchronous orbit based on upstream solar wind conditions[J]. Space Weather, 2016, 14(7): 511-523 doi: 10.1002/2016SW001409
    [7] KORTH H, THOMSEN M F, BOROVSKY J E, et al. Plasma sheet access to geosynchronous orbit[J]. Journal of Geophysical Research: Space Physics, 1999, 104(A11): 25047-25061 doi: 10.1029/1999JA900292
    [8] CARPENTER D L, ANDERSON R R. An ISEE/whistler model of equatorial electron density in the magnetosphere[J]. Journal of Geophysical Research: Space Physics, 1992, 97(A2): 1097-1108 doi: 10.1029/91JA01548
    [9] TSYGANENKO N A. A magnetospheric magnetic field model with a warped tail current sheet[J]. Planetary and Space Science, 1989, 37(1): 5-20 doi: 10.1016/0032-0633(89)90066-4
    [10] AGAPITOV O V, ARTEMYEV A V, MOURENAS D, et al. Empirical model of lower band chorus wave distribution in the outer radiation belt[J]. Journal of Geophysical Research: Space Physics, 2015, 120(12): 10425-10442 doi: 10.1002/2015JA021829
    [11] ORLOVA K, SPASOJEVIC M, SHPRITS Y. Activity-dependent global model of electron loss inside the plasmasphere[J]. Geophysical Research Letters, 2014, 41(11): 3744-3751 doi: 10.1002/2014GL060100
    [12] 王庚. 地磁Kp指数现报模式及全球K指数分布预报模式[D]. 北京: 中国科学院研究生院(空间科学与应用研究中心), 2015

    WANG Geng. Algorithm for Nowcast of Kp Index and A Model for Forecast of Global K Index Distribution[D]. Beijing: Center for Space Science and Applied Research, Chinese Academy of Sciences, 2015
    [13] WING S, JOHNSON J R, JEN J, et al. Kp forecast models[J]. Journal of Geophysical Research: Space Physics, 2005, 110(A4): A04203 doi: 10.1029/2004JA010500
    [14] 王晓美, 滕云田, 马洁美, 等. 地磁矢量场观测数据一致性校正方法: 中国, 201810101718.8[P]. 2025-07-31

    WANG Xiaomen, TENG Yuntian, MA Jiemei, et al. Geomagnetic vector field observation data consistency correction method: CN, 201810101718.8[P]. 2025-07-31
    [15] TAKAHASHI K, TOTH B A, OLSON J V. An automated procedure for near-real-time Kp estimates[J]. Journal of Geophysical Research: Space Physics, 2001, 106(A10): 21017-21032
    [16] BITTERLY M, MENVIELLE M, BITTERLY J, et al. A comparison between computer derived (FMI method) and hand-scaled K indices at Port-aux-français and Port Alfred French observatories[C]//Proceedings of the VIth International Workshop on Geomagnetic Instruments, Data Acquisition and Processing. Bruxelles: Académie Royale de Belgique, 1997: 136-143
    [17] 王庚, 罗冰显, 刘四请, 等. 一种改进的Kp指数现报模式[J]. 空间科学学报, 2016, 36(2): 153-166 doi: 10.11728/cjss2016.02.153

    WANG Geng, LUO Bingxian, LIU Siqing, et al. An improved algorithm for nowcast of Kp index[J]. Chinese Journal of Space Science, 2016, 36(2): 153-166 doi: 10.11728/cjss2016.02.153
  • 加载中
图(8) / 表(3)
计量
  • 文章访问数:  679
  • HTML全文浏览量:  195
  • PDF下载量:  22
  • 被引次数: 

    0(来源:Crossref)

    0(来源:其他)

出版历程
  • 收稿日期:  2025-07-31
  • 修回日期:  2025-12-09
  • 网络出版日期:  2025-12-16

目录

    /

    返回文章
    返回