留言板

尊敬的读者、作者、审稿人, 关于本刊的投稿、审稿、编辑和出版的任何问题, 您可以本页添加留言。我们将尽快给您答复。谢谢您的支持!

姓名
邮箱
手机号码
标题
留言内容
验证码

嫦娥七号宽谱段红外光谱成像分析仪中长波谱段的定标方法及误差分析

王梅竹 刘成玉 桂裕华 徐睿 金健 王蓉 杨扬 谢佳楠 刘馨泽 郭冰梅 何志平

王梅竹, 刘成玉, 桂裕华, 徐睿, 金健, 王蓉, 杨扬, 谢佳楠, 刘馨泽, 郭冰梅, 何志平. 嫦娥七号宽谱段红外光谱成像分析仪中长波谱段的定标方法及误差分析[J]. 空间科学学报, 2026, 46(2): 520-530. doi: 10.11728/cjss2026.02.2025-0143
引用本文: 王梅竹, 刘成玉, 桂裕华, 徐睿, 金健, 王蓉, 杨扬, 谢佳楠, 刘馨泽, 郭冰梅, 何志平. 嫦娥七号宽谱段红外光谱成像分析仪中长波谱段的定标方法及误差分析[J]. 空间科学学报, 2026, 46(2): 520-530. doi: 10.11728/cjss2026.02.2025-0143
WANG Meizhu, LIU Chengyu, GUI Yuhua, XU Rui, JIN Jian, WANG Rong, YANG Yang, XIE Jianan, LIU Xinze, GUO Bingmei, HE Zhiping. Calibration Methods and Error Analysis of the Mid- to Long-wave Bands of the Chang’E-7 Wide-band InfraRed Imaging Spectrometer (in Chinese). Chinese Journal of Space Science, 2026, 46(2): 520-530 doi: 10.11728/cjss2026.02.2025-0143
Citation: WANG Meizhu, LIU Chengyu, GUI Yuhua, XU Rui, JIN Jian, WANG Rong, YANG Yang, XIE Jianan, LIU Xinze, GUO Bingmei, HE Zhiping. Calibration Methods and Error Analysis of the Mid- to Long-wave Bands of the Chang’E-7 Wide-band InfraRed Imaging Spectrometer (in Chinese). Chinese Journal of Space Science, 2026, 46(2): 520-530 doi: 10.11728/cjss2026.02.2025-0143

嫦娥七号宽谱段红外光谱成像分析仪中长波谱段的定标方法及误差分析

doi: 10.11728/cjss2026.02.2025-0143 cstr: 32142.14.cjss.2025-0143
基金项目: 国家杰出青年科学基金项目(62125505), 国家自然科学基金项目(62375278), 中国科学院青年创新促进会项目(2022239), 上海市 “科技创新行动计划”启明星扬帆专项(24YF2754000), 中国科学院上海技术物理研究所创新专项(CX-480)和探月工程嫦娥七号任务项目共同资助
详细信息
    作者简介:
    • 王梅竹 女, 1991年1月出生于天津市, 博士, 现为中国科学院上海技术物理研究所副研究员, 主要研究方向为深空成像光谱仪探测模式设计与数据定量化. E-mail: mzhwang@mail.sitp.ac.cn
    • 刘成玉 男, 1985年12月出生于吉林省和龙市, 博士, 现为中国科学院上海技术物理研究所高级工程师, 主要研究方向为红外高光谱遥感定标与数据处理、红外高光谱遥感应用等. E-mail: liuchengyu@mail.sitp.ac.cn
    通讯作者:
    • 金健 男, 1988年出生于浙江省杭州市, 硕士, 现为中国科学院上海技术物理研究所高级工程师, 主要研究方向为空间光谱载荷设计、红外探测器的信号调理及光谱信息获取软件优化. E-mail: jinjian@mail.sitp.ac.cn
    • 何志平 男, 1977 年 7 月出生于江西省, 博士, 现为中国科学院上海技术物理研究所二级研究员、研究室主任, 国家杰出青年科学基金获得者, 享受国务院政府特殊津贴. 主要研究方向为前沿光电探测技术, 主持构建地外物质勘探装备技术体系, 研制的光谱探测仪器应用于嫦娥、天问等重大工程. E-mail: hzping@mail.sitp.ac.cn
  • 中图分类号: P691

Calibration Methods and Error Analysis of the Mid- to Long-wave Bands of the Chang’E-7 Wide-band InfraRed Imaging Spectrometer

  • 摘要: 嫦娥七号任务轨道器拟搭载宽谱段红外光谱成像分析仪(Wide-band InfraRed Imaging Spectrometer, WIRIS), 将获取覆盖可见至长波红外(0.45~10 µm)的月球表面高光谱图像与热辐射信息, 为月球表面矿物成分识别、热环境与水/羟基探测等科学研究提供数据. 相比现有月球环绕光谱探测载荷, 为提升对硅酸盐矿物克里斯蒂安森特征(Christiansen Feature)、分子水等关键波段的定量反演能力, WIRIS在继承天问一号火星矿物光谱分析仪设计的基础上, 将高光谱成像谱段拓展至中长波红外(3.3~10 μm), 并通过同步温度测量, 有效降低了3 μm波段水/羟基特征反演中的热校正不确定性. 本文围绕WIRIS新拓展的中长波谱段定量化应用需求, 提出适应该波段的光谱、辐射与几何定标方法, 并结合实验数据分析了定标过程中的误差来源与不确定度. 研究结果可为WIRIS中长波红外数据的物理量反演及科学应用提供关键的技术支撑与方法基础.

     

  • 图  1  嫦娥七号宽谱段红外光谱成像分析仪

    Figure  1.  WIRIS onboard the Chang’E-7 mission

    图  2  光谱定标数据高斯函数拟合曲线

    Figure  2.  Gaussian function fitting curve of spectral calibration data

    图  3  宽谱段红外光谱成像分析仪光谱定标系统 (a) 及测试场景 (b)

    Figure  3.  Schematic diagram of spectral calibration system (a) and test scenarios (b) for the WIRIS

    图  4  黑体辐射定标测试原理 (a) 与真空罐内设置情况 (b)

    Figure  4.  Diagram of the blackbody radiation calibration test (a) and the settings inside the vacuum tank (b)

    图  5  几何定标平台 (a) 与测试场景 (b)

    Figure  5.  Geometric calibration platform (a) and test scenarios (b)

    图  6  中长波通道光谱定标结果

    Figure  6.  Spectral calibration results of MWIR and LWIR

    图  7  绝对辐射定标不确定度因子

    Figure  7.  Absolute radiometric calibration uncertainty factors

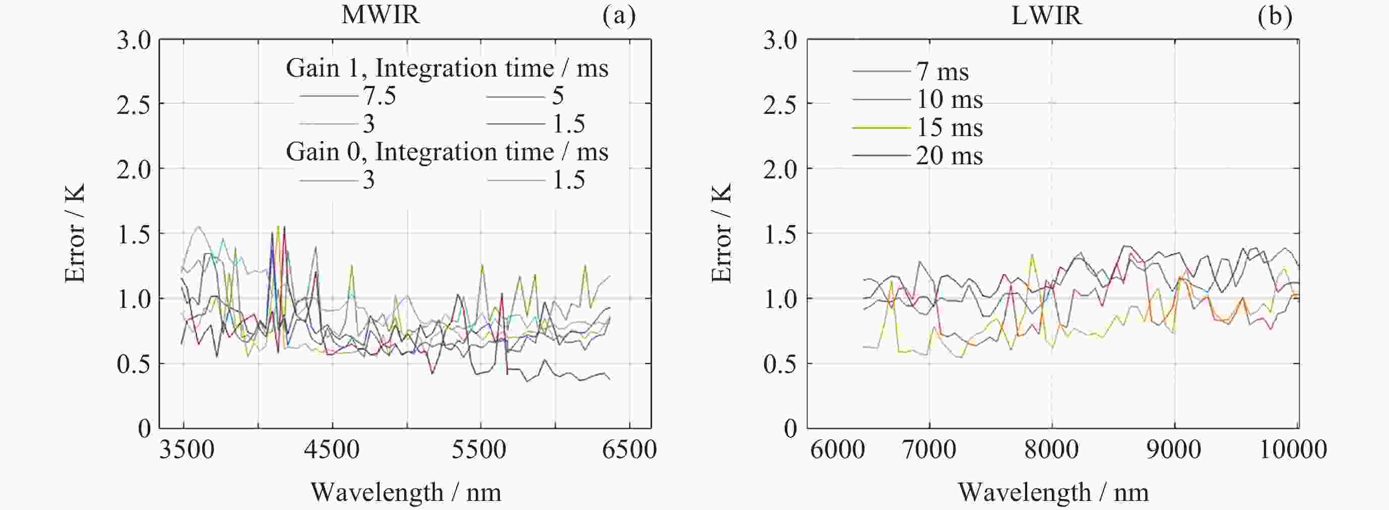
    图  8  中长波通道相对辐射定标误差

    Figure  8.  Relative radiometric calibration error of MWIR and LWIR channels

    图  9  中长波通道绝对辐射定标误差

    Figure  9.  Absolute radiometric calibration error of MWIR and LWIR channels

    图  10  中长波通道辐射定标线性度

    Figure  10.  Radiometric calibration linearity of MWIR and LWIR channels

    图  11  中长波通道辐射定标辐射亮度与实际入瞳辐射亮度的对比

    Figure  11.  Comparison between radiometric calibration radiance and actual entrance pupil radiometric brightness of MWIR and LWIR channels

    表  1  国际上主要的月球环绕探测成像光谱载荷性能对比

    Table  1.   Performance comparisons of the main imaging spectrometers for lunar orbit exploration

    载荷
    IIM M3 Diviner IIRS HVM3 LTM WIRIS
    年份 2007 2008 2009 2019 2025 2025 2026
    任务 嫦娥一号
    (中国)
    月船一号
    (印度、美国)
    月球勘测轨道
    飞行器(美国)
    月船二号
    (印度)
    月球开拓者
    (美国)
    月球开拓者
    (美国)
    嫦娥七号
    (中国)
    光谱范围/μm 0.48~0.96 0.43~3.0 0.35~400
    3通道 (7.80,
    8.25, 8.55)
    0.8~5.0 0.6~3.6 7.0~10.0
    6~100
    11通道 (7, 7.25, 7.5, 7.8, 8, 8.28, 8.55, 8.75, 9, 9.5, 10)
    0.45~10.0
    光谱
    分辨率/nm
    7.62 @0.48 μm
    29 @0.96 μm
    15 20~25 约15 <500 @7~10 μm ≤10 @ 0.45~
    3.0 μm
    ≤200 @ 3.0~
    10 μm
    瞬时视场/mrad 1 0.7 3.4×6.7 0.4 0.7 0.25 0.18
    下载: 导出CSV

    表  2  嫦娥七号宽谱段红外光谱成像分析仪的主要技术指标要求

    Table  2.   Main technical specifications of WIRIS onboard the Chang’E-7 mission

    名称 主要参数与性能要求
    光谱范围/μm 0.45~10.0
    光谱分辨率/nm 优于10 (0.45~3.0 μm), 优于200 (3.0~10.0 μm)
    空间分辨率/mrad ≤ 0.2 (0.45~3.0 μm), ≤0.3 (3.0~10.0 μm)
    视场角/(°) ≥3.8
    系统静态传函 >0.1 (Nyquist, 全波段)
    动态范围/dB ≥40 (0.45~3.0 μm)
    等效信噪比 ≥150 (0.45~3.3 μm, 60°太阳高度角, 月面反照率0.09)
    ≥100 (0.45~3.3 μm, 5°太阳高度角, 月面反照率0.09)
    噪声等效温差/K 0.2 (400 K, 3.3~6.5 μm); 0.4 (300 K, 6.5~10.0 μm)
    下载: 导出CSV

    表  3  光谱定标中的误差分析

    Table  3.   Analysis of spectral error in spectral calibration

    光谱范围
    /μm
    误差项/ nm 合成误差
    单色仪 环境
    计算
    波长精度
    重复性
    光谱分辨率 步进
    拟合
    3.0~6.0 0.2 0.075 2.74 0.002 0.05 0.1 2.751
    6.0~10.0 0.2 0.075 5.48 0.002 0.05 0.1 5.485
    下载: 导出CSV

    表  4  辐射定标误差统计

    Table  4.   Statistics of radiometric calibration errors

    谱段 相对辐射定标误差/K 绝对辐射定标误差/K
    中波红外区 (3.3~6.5 μm) ≤0.68 ≤1.56
    长波红外区 (6.5~10 μm) ≤0.95 ≤1.40
    下载: 导出CSV

    表  5  内方位元素测试结果

    Table  5.   Inner orientation element test results

    内方位元素 通道
    中波 长波
    空间维主像点位置/pixel 245 274
    单机焦距/mm 168.008 167.400
    单机IFOV/mrad 0.179 0.179
    单机视场/(°) 4.535 4.529
    下载: 导出CSV
  • [1] 余后满, 饶炜, 张益源, 等. “嫦娥七号”探测器任务综述[J]. 深空探测学报(中英文), 2023, 10(6): 567-576

    YU Houman, RAO Wei, ZHANG Yiyuan, et al. Mission analysis and spacecraft design of Chang’E-7[J]. Journal of Deep Space Exploration, 2023, 10(6): 567-576
    [2] WANG C, JIA Y Z, XUE C B, et al. Scientific objectives and payload configuration of the Chang’E-7 mission[J]. National Science Review, 2024, 11(2): nwad329 doi: 10.1093/nsr/nwad329
    [3] 赵葆常, 杨建峰, 常凌颖, 等. 嫦娥一号卫星成像光谱仪光学系统设计与在轨评估[J]. 光子学报, 2009, 38(3): 479-483

    ZHAO Baochang, YANG Jianfeng, CHANG Lingying, et al. Optical design and on-orbit performance evaluation of the imaging spectrometer for Chang’e-1 lunar satellite[J]. Acta Photonica Sinica, 2009, 38(3): 479-483
    [4] HARUYAMA J, MATSUNAGA T, OHTAKE M, et al. Global lunar-surface mapping experiment using the Lunar Imager/Spectrometer on SELENE[J]. Earth, Planets and Space, 2008, 60(4): 243-255 doi: 10.1186/BF03352788
    [5] GREEN R O, PIETERS C, MOUROULIS P, et al. The Moon Mineralogy Mapper (M3) imaging spectrometer for lunar science: instrument description, calibration, on-orbit measurements, science data calibration and on-orbit validation[J]. Journal of Geophysical Research: Planets, 2011, 116(E10): E00G19 doi: 10.1029/2011je003797
    [6] CHOWDHURY A R, BANERJEE A, JOSHI S R, et al. Imaging infrared spectrometer onboard Chandrayaan-2 orbiter[J]. Current Science, 2020, 118(3): 368-375
    [7] PAIGE D A, FOOTE M C, GREENHAGEN B T, et al. The lunar reconnaissance orbiter diviner lunar radiometer experiment[J]. Space Science Reviews, 2010, 150(1/4): 125-160
    [8] GREENHAGEN B T, LUCEY P G, WYATT M B, et al. Global silicate mineralogy of the moon from the diviner lunar radiometer[J]. Science, 2010, 329(5998): 1507-1509 doi: 10.1126/science.1192196
    [9] LUCEY P G, GREENHAGEN B, DONALDSON HANNA K, et al. Christiansen feature map from the lunar reconnaissance orbiter diviner lunar radiometer experiment: improved corrections and derived mineralogy[J]. Journal of Geophysical Research: Planets, 2021, 126(6): e2020JE006777 doi: 10.1029/2020JE006777
    [10] EHLMANN B L, KLIMA R L, SEYBOLD C C, et al. NASA’s lunar trailblazer mission: a pioneering small satellite for lunar water and lunar geology[C]//2022 IEEE Aerospace Conference. Big Sky: IEEE, 2022: 1-14
    [11] HE Z P, XU R, LI C L, et al. Mars Mineralogical Spectrometer (MMS) on the Tianwen-1 mission[J]. Space Science Reviews, 2021, 217(2): 27 doi: 10.1007/s11214-021-00804-z
    [12] 何志平, 桂裕华, 李津宁, 等. 面向月球环绕探测的光谱成像: 研究现状与技术挑战[J]. 光学学报, 2022, 42(17): 1730001 doi: 10.3788/AOS202242.1730001

    HE Zhiping, GUI Yuhua, LI Jinning, et al. Spectral imaging for lunar orbit exploration: research status and technical challenges[J]. Acta Optica Sinica, 2022, 42(17): 1730001 doi: 10.3788/AOS202242.1730001
    [13] 韩艳雪. 低温长波红外高光谱成像仪关键技术研究[D]. 长春: 中国科学院大学(中国科学院长春光学精密机械与物理研究所), 2023

    HAN Yanxue. Study on Key Technologies of Cryogenic Long-wave Infrared Hyperspectral Imager[D]. Changchun: University of Chinese Academy of Sciences (Changchun Institute of Optics, Fine Mechanics and Physics, Chinese Academy of Sciences), 2023
    [14] HONNIBALL C I, LUCEY P G, LI S, et al. Molecular water detected on the sunlit Moon by SOFIA[J]. Nature Astronomy, 2020, 5(2): 121-127 doi: 10.1038/s41550-020-01222-x
    [15] LI J N, WANG M Z, WU B, et al. Thermal removal method for Chang’e-5 multispectral data using a heat conduction model and real terrain[J]. IEEE Transactions on Geoscience and Remote Sensing, 2023, 61: 5002806 doi: 10.1109/tgrs.2023.3281813/mm1
  • 加载中
图(11) / 表(5)
计量
  • 文章访问数:  570
  • HTML全文浏览量:  361
  • PDF下载量:  57
  • 被引次数: 

    0(来源:Crossref)

    0(来源:其他)

出版历程
  • 收稿日期:  2025-08-24
  • 修回日期:  2025-11-29
  • 网络出版日期:  2026-01-13

目录

    /

    返回文章
    返回