Non-modal Stability Analysis of Thermocapillary Liquid Layers
-
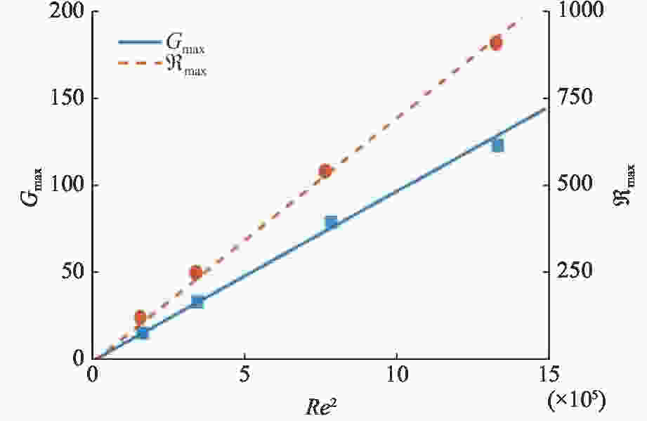
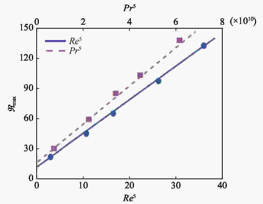
摘要: 利用非模态稳定性方法研究了亚临界情况下的热毛细液层对初始扰动和外加激励的敏感性。通过瞬态增长函数和反馈函数分别反映流场对初始扰动和外加激励的放大。研究结果表明, 小Prandtl数(Pr)下的亚临界流动对初始扰动和外加激励均十分敏感,最大扰动放大与Reynolds 数(Re)的平方近似成正比。在大Pr下,只有回流的亚临界流动存在对外加激励的显著放大,其最大值分别随Re5和Pr5呈线性增长。随着外加激励频率的增大,最优扰动波数逐渐减小。流场和温度场表明输出的扰动速度和温度量级远大于输入的量级,并且与管道流动相比存在明显不同。Abstract: The sensitivity of subcritical thermocapillary liquid layers to initial disturbances and external excitations is investigated by the non-modal stability analysis. The amplifications of initial disturbances and external excitations are measured by the growth function and response function, respectively. Results show that at small Prandtl numbers (Pr), the subcritical flows are sensitive to both initial disturbances and external excitations. The maximum amplifications are approximately proportional to the square of Reynolds number (Re). At large Pr, large amplifications to external excitations are found in the return flow. The maximum response increases linearly with Re5 and Pr5. When the frequency increases, the total wave number of the optimal response decreases. The flow and temperature fields indicate that the magnitudes of output temperature and velocity are far larger than those of input, which is significantly different from the pipe flow.
-
Key words:
- Thermocapillary /
- Non-modal stability /
- Disturbance amplification
-
图 8 线性流Pr=0.002, Ma=3, k=2,
$ \phi = {90^ \circ } $ 扰动放大对应的扰动场。(a) 输入速度场,(b) 输出速度场,(c) 输入温度场,(d) 输出温度场Figure 8. Perturbation fields corresponding to the response for the linear flow at Pr=0.002, Ma=3, k=2,
$ \phi = {90^ \circ } $ . (a) Input velocity field, (b) output velocity field, (c) input temperature field and (d) output temperature field图 9 回流Pr=150, Ma=300, k=2.3,
$ \phi = {0^ \circ } $ 扰动放大对应的扰动场。(a) 输入速度场,(b) 输出速度场,(c) 输入温度场,(d) 输出温度场Figure 9. Perturbation fields corresponding to the response for the return flow at Pr=150, Ma=300, k=2.3,
$ \phi = {0^ \circ } $ . (a) Input velocity field, (b) output velocity field, (c) input temperature field and (d) output temperature field -
[1] KARBALAEI A, KUMAR R, CHO H J. Thermocapillarity in microfluidics-a review[J]. Micromachines, 2016, 7(1): 13 doi: 10.3390/mi7010013 [2] 胡文瑞. 微重力科学概论[M]. 北京: 科学出版社, 2010 [3] WEI P S, LIU H J, LIN C L. Scaling weld or melt pool shape induced by thermocapillary convection[J]. International Journal of Heat and Mass Transfer, 2012, 55(9/10): 2328-2337 [4] DÁVALOS-OROZCO L A. Nonlinear sideband thermocapillary instability of a thin film coating the inside of a thick walled cylinder with finite thermal conductivity in the absence of gravity[J]. Microgravity Science and Technology, 2020, 32(2): 105-117 doi: 10.1007/s12217-019-09751-5 [5] 莫东鸣, 徐敏. 环形池内双层流体浮力–热毛细对流的实验研究[J]. 材料导报, 2018, 32(S2): 398-401MO Dongming, XU Min. Experiment on buoyancy-thermocapillary convection of two-layer fluid in annular pool[J]. Materials Review, 2018, 32(S2): 398-401 [6] 叶学民, 张湘珊, 李明兰, 等. 自润湿流体液滴的热毛细迁移特性[J]. 物理学报, 2018, 67(18): 184704 doi: 10.7498/aps.67.20180660YE Xuemin, ZHANG Xiangshan, LI Minglan, et al. Thermo capillary migration characteristics of self-rewetting drop[J]. Acta Physica Sinica, 2018, 67(18): 184704 doi: 10.7498/aps.67.20180660 [7] 曹文慧, 段俐, 李永强, 等. 热毛细对流自由面微弱位移信号高灵敏度相位检测系统[J]. 中国科学:技术科学, 2018, 48(8): 908-920 doi: 10.1360/N092017-00366CAO Wenhui, DUAN Li, LI Yongqiang, et al. High-sensitivity phase detecting system for measurement of weak displacement signals on the liquid free surface in thermocapillary convection[J]. Scientia Sinica Technologica, 2018, 48(8): 908-920 doi: 10.1360/N092017-00366 [8] DAVIS S H. Thermocapillary instabilities[J]. Annual Review of Fluid Mechanics, 1987, 19: 403-435 doi: 10.1146/annurev.fl.19.010187.002155 [9] SCHATZ M F, NEITZEL G P. Experiments on thermocapillary instabilities[J]. Annual Review of Fluid Mechanics, 2001, 33: 93-127 doi: 10.1146/annurev.fluid.33.1.93 [10] SMITH M K, DAVIS S H. Instabilities of dynamic thermocapillary liquid layers. Part 1. Convective instabilities[J]. Journal of Fluid Mechanics, 1983, 132: 119-144 doi: 10.1017/S0022112083001512 [11] CHAN C L, CHEN C F. Effect of gravity on the stability of thermocapillary convection in a horizontal fluid layer[J]. Journal of Fluid Mechanics, 2010, 647: 91-103 doi: 10.1017/S0022112009994046 [12] RILEY R J, NEITZEL G P. Instability of thermocapillary–buoyancy convection in shallow layers. Part 1. Characterization of steady and oscillatory instabilities[J]. Journal of Fluid Mechanics, 1998, 359: 143-164 doi: 10.1017/S0022112097008343 [13] KANG Q, WANG J, DUAN L, et al. The volume ratio effect on flow patterns and transition processes of thermocapillary convection[J]. Journal of Fluid Mechanics, 2019, 868: 560-583 doi: 10.1017/jfm.2019.108 [14] SCHMID P J. Nonmodal stability theory[J]. Annual Review of Fluid Mechanics, 2007, 39: 129-162 doi: 10.1146/annurev.fluid.38.050304.092139 [15] KERSWELL R R. Nonlinear nonmodal stability theory[J]. Annual Review of Fluid Mechanics, 2018, 50: 319-345 doi: 10.1146/annurev-fluid-122316-045042 [16] LIU R, LIU Q S. Non-modal instability in plane Couette flow of a power-law fluid[J]. Journal of Fluid Mechanics, 2011, 676: 145-171 doi: 10.1017/jfm.2011.36 [17] DAVIS J M, KATAOKA D E, TROIAN S M. Transient dynamics and structure of optimal excitations in thermocapillary spreading: precursor film model[J]. Physics of Fluids, 2006, 18(9): 092101 doi: 10.1063/1.2345372 [18] KUHLMANN H C, SCHOISSWOHL U. Flow instabilities in thermocapillary-buoyant liquid pools[J]. Journal of Fluid Mechanics, 2010, 644: 509-535 doi: 10.1017/S0022112009992953 [19] DOUMENC F, BOECK T, GUERRIER B, et al. Transient Rayleigh–Bénard–Marangoni convection due to evaporation: a linear non-normal stability analysis[J]. Journal of Fluid Mechanics, 2010, 648: 521-539 doi: 10.1017/S0022112009993417 [20] SCHMID P J, HENNINGSON D S. Stability and Transition in Shear Flows[M]. New York: Springer, 2001 [21] SAMEEN A, GOVINDARAJAN R. The effect of wall heating on instability of channel flow[J]. Journal of Fluid Mechanics, 2007, 577: 417-442 doi: 10.1017/S0022112007004636 [22] SMITH M K. Instability mechanisms in dynamic thermocapillary liquid layers[J]. Physics of Fluids, 1998, 29(10): 3182-3186 -
-
下载:



























