留言板

尊敬的读者、作者、审稿人, 关于本刊的投稿、审稿、编辑和出版的任何问题, 您可以本页添加留言。我们将尽快给您答复。谢谢您的支持!

姓名
邮箱
手机号码
标题
留言内容
验证码

充液挠性航天器姿态机动终端滑模控制

吴涛涛 宋晓娟 吕书锋

吴涛涛, 宋晓娟, 吕书锋. 充液挠性航天器姿态机动终端滑模控制[J]. 空间科学学报, 2023, 43(4): 758-767. doi: 10.11728/cjss2023.04.2022-0038
引用本文: 吴涛涛, 宋晓娟, 吕书锋. 充液挠性航天器姿态机动终端滑模控制[J]. 空间科学学报, 2023, 43(4): 758-767. doi: 10.11728/cjss2023.04.2022-0038
WU Taotao, SONG Xiaojuan, LÜ Shufeng. Research on Attitude Maneuver and Vibration of Liquid-filled Flexible Spacecraft Based on Terminal Sliding Mode Control (in Chinese). Chinese Journal of Space Science, 2023, 43(4): 758-767 doi: 10.11728/cjss2023.04.2022-0038
Citation: WU Taotao, SONG Xiaojuan, LÜ Shufeng. Research on Attitude Maneuver and Vibration of Liquid-filled Flexible Spacecraft Based on Terminal Sliding Mode Control (in Chinese). Chinese Journal of Space Science, 2023, 43(4): 758-767 doi: 10.11728/cjss2023.04.2022-0038

充液挠性航天器姿态机动终端滑模控制

doi: 10.11728/cjss2023.04.2022-0038 cstr: 32142.14.cjss2023.04.2022-0038
基金项目: 国家自然科学基金项目(11962020,11862020,12172182,12132002),内蒙古自治区高等学校青年科技人才项目(NJYT23029,NJYT23067),内蒙古自治区高等学校创新团队发展计划支持项目(NMGIRT2213),内蒙古自治区直属高校基本科研业务费项目(JY20220046)和天津市自然科学基金重点项目(19JCZDJC32300)共同资助
详细信息
    作者简介:
  • 中图分类号: V435

Research on Attitude Maneuver and Vibration of Liquid-filled Flexible Spacecraft Based on Terminal Sliding Mode Control

  • 摘要: 对存在未知外界干扰、参数不确定问题的刚–液–柔多体耦合航天器姿态控制进行了研究。将液体燃料的晃动等效为球摆模型,挠性附件假设为欧拉–伯努利梁,运用拉格朗日方法建立航天器的动力学方程。将外界干扰、航天器转动惯量的参数不确定性以及液体晃动和挠性附件振动带来的耦合干扰归结为集总干扰,设计干扰观测器对其进行补偿;在干扰观测器的基础上,设计一种模糊滑模控制律。在原有的终端滑模控制基础上采用模糊控制对切换增益进行改进,达到抑制系统抖动的目的。数值仿真结果表明:所设计的模糊终端滑模控制律不仅能够实现充液挠性航天器的姿态机动,而且能够有效抑制液体晃动和挠性附件的振动,具有更好的控制性能。

     

  • 图  1  充液挠性航天器及力学模型

    Figure  1.  Schematic diagram and mechanical model of liquid-filled flexible spacecraft

    图  2  模糊输入的隶属度函数

    Figure  2.  Membership function of fuzzy input

    图  3  模糊输出$ \Delta p $的隶属度函数

    Figure  3.  Membership function of fuzzy output

    图  4  输出$ \Delta p $的模糊规则云图

    Figure  4.  Outputted cloud map of fuzzy rules

    图  5  干扰力矩及其估计值响应

    Figure  5.  Interference torque and its estimated response

    图  8  情形一姿态四元数响应

    Figure  8.  Attitude quaternion moment response in Case 1

    图  9  情形一等效球摆晃动位移响应

    Figure  9.  Equivalent ball swing displacement response in Case 1

    图  10  情形一挠性附件的三阶模态坐标响应

    Figure  10.  Third order mode coordinate response of flexible attachment in Case 1

    图  6  情形一控制力矩响应

    Figure  6.  Control moment response in Case 1

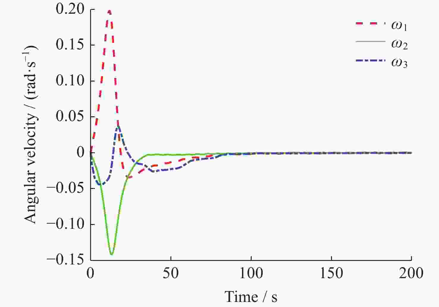
    图  7  情形一角速度响应

    Figure  7.  Angular velocity response in Case 1

    图  11  情形二控制力矩响应

    Figure  11.  Control moment response in Case 2

    图  12  情形二角速度响应

    Figure  12.  Angular velocity response in Case 2

    图  13  情形二姿态四元数响应

    Figure  13.  Attitude quaternion moment response in Case 2

    图  14  情形二等效球摆晃动位移响应

    Figure  14.  Equivalent ball swing displacement response in Case 2

    图  15  情形二挠性附件的三阶模态坐标响应

    Figure  15.  Third order modal coordinate response of flexible attachment in Case 2

  • [1] REYHANOGLU M, HERVAS J R. Robotically controlled sloshing suppression in point-to-point liquid container transfer[J]. Journal of Vibration and Control, 2013, 19(14): 2137-2144 doi: 10.1177/1077546312456865
    [2] 宋晓娟, 王宏伟, 岳宝增. 测量不确定的充液航天器自适应鲁棒容错控制[J]. 宇航学报, 2022, 43(5): 638-648

    SONG Xiaojuan, WANG Hongwei, YUE Baozeng. Adaptive robust fault tolerant control of liquid-filled spacecraft with measurement uncertainty[J]. Journal of Astronautics, 2022, 43(5): 638-648
    [3] DENG M L, YUE B Z. Attitude dynamics and control of liquid filled spacecraft with large amplitude fuel slosh[J]. Journal of Mechanics, 2017, 33(1): 125-136 doi: 10.1017/jmech.2016.60
    [4] 邓明乐, 岳宝增, 黄华. 液体大幅晃动类等效力学模型研究[J]. 宇航学报, 2016, 37(6): 631-638

    DENG Mingle, YUE Baozeng, HUANG Hua. Study on the equivalent mechanical model for large amplitude slosh[J]. Journal of Astronautics, 2016, 37(6): 631-638
    [5] NAVABI M, DAVOODI A, REYHANOGLU M. Optimum fuzzy sliding mode control of fuel sloshing in a spacecraft using PSO algorithm[J]. Acta Astronautica, 2020, 167: 331-342 doi: 10.1016/j.actaastro.2019.11.017
    [6] 刘峰, 岳宝增, 马伯乐, 等. 燃料消耗下充液航天器等效动力学建模与分析[J]. 力学学报, 2020, 52(5): 1454-1464

    LIU Feng, YUE Baozeng, MA Bole, et al. Equivalent dynamics modeling and analysis of liquid-filled spacecraft with fuel consumption[J]. Chinese Journal of Theoretical and Applied Mechanics, 2020, 52(5): 1454-1464
    [7] 于强, 王天舒. 充液航天器变质量液体大幅晃动的SPH分析方法[J]. 宇航学报, 2021, 42(1): 22-30 doi: 10.3873/j.issn.1000-1328.2021.01.003

    YU Qiang, WANG Tianshu. SPH method for large-amplitude liquid sloshing with variable mass in liquid-filled spacecraft[J]. Journal of Astronautics, 2021, 42(1): 22-30 doi: 10.3873/j.issn.1000-1328.2021.01.003
    [8] 闫玉龙, 申云峰, 岳宝增. 含板类柔性附件的充液航天器动力学研究[J]. 宇航学报, 2020, 41(5): 531-540

    YAN Yulong, SHEN Yunfeng, YUE Baozeng. Research on dynamics of liquid-filled spacecraft carrying plate-type flexible appendages[J]. Journal of Astronautics, 2020, 41(5): 531-540
    [9] 朱志浩, 郭毓, 陈庆伟. 多模态充液挠性航天器有限时间控制[J]. 南京理工大学学报, 2020, 44(2): 134-141

    ZHU Zhihao, GUO Yu, CHEN Qingwei. Finite-time control for multiple model liquid-filled flexible spacecraft[J]. Journal of Nanjing University of Science and Technology, 2020, 44(2): 134-141
    [10] DOU Liqian, DU Miaomiao, ZHANG Xiuyun, et al. Fuzzy disturbance observer-based sliding mode control for liquid-filled spacecraft with flexible structure under control saturation[J]. IEEE Access, 2019, 7: 149810-149819 doi: 10.1109/ACCESS.2019.2946961
    [11] 宋晓娟, 王宏伟, 吕书锋. 输入饱和的充液航天器抗干扰有限时间滑模控制[J]. 控制与决策, 2021, 36(5): 1078-1086

    SONG Xiaojuan, WANG Hongwei, LV Shufeng. Anti-disturbance finite-time sliding mode control for liquid-filled spacecraft with input saturation[J]. Control and Decision, 2021, 36(5): 1078-1086
    [12] 王雪冰, 吴忠. 基于干扰观测器的挠性卫星姿态滑模变结构控制[J]. 空间控制技术与应用, 2017, 43(2): 36-42 doi: 10.3969/j.issn.1674-1579.2017.02.006

    WANG Xuebing, WU Zhong. Attitude control of flexible satellites via disturbance-observer-based sliding mode controller[J]. Aerospace Control and Application, 2017, 43(2): 36-42 doi: 10.3969/j.issn.1674-1579.2017.02.006
    [13] 秦利, 刘福才, 梁利环, 等. 基于液体晃动干扰观测器的航天器混沌姿态H控制[J]. 物理学报, 2014, 63(9): 090502 doi: 10.7498/aps.63.090502

    QIN Li, LIU Fucai, LIANG Lihuan, et al. H control for spacecraft chaotic attitude motion by liquid sloshing disturbance observer[J]. Acta Physica Sinica, 2014, 63(9): 090502 doi: 10.7498/aps.63.090502
    [14] 蔡远利, 李慧洁. 终端滑模控制研究与发展现状[C]//中国自动化学会系统仿真专业委员会. 第19届中国系统仿真技术及其应用学术年会论文集. 合肥: 中国科学技术大学出版社, 2018: 12-16

    CAI Yuanli, LI Huijie. Research and development status of terminal sliding mode control[C]//System Simulation Professional Committee of China Association of Automation. Proceedings of the 19 th Chinese Annual Conference on System Simulation Technology and Its Application. Hefei: University of Science and Technology of China Press, 2018: 12-16
    [15] 袁利, 马广富, 董经纬, 等. 航天器近距离交会的固定时间终端滑模控制[J]. 宇航学报, 2018, 39(2): 195-205 doi: 10.3873/j.issn.1000-1328.2018.02.010

    YUAN Li, MA Guangfu, DONG Jingwei, et al. Fixed-time terminal sliding mode control for close-range rendezvous[J]. Journal of Astronautics, 2018, 39(2): 195-205 doi: 10.3873/j.issn.1000-1328.2018.02.010
    [16] 朱庆华, 董瑞琦, 马广富. 基于动态滑模控制的挠性航天器姿态控制[J]. 控制理论与应用, 2018, 35(10): 1430-1435 doi: 10.7641/CTA.2018.70863

    ZHU Qinghua, DONG Ruiqi, MA Guangfu. Dynamical sliding mode for flexible spacecraft attitude control[J]. Control Theory & Applications, 2018, 35(10): 1430-1435 doi: 10.7641/CTA.2018.70863
    [17] 岳宝增, 李晓玉. 航天器平移及姿态机动自适应终端滑模控制[J]. 动力学与控制学报, 2018, 16(4): 332-337

    YUE Baozeng, LI Xiaoyu. Adaptive terminal sliding mode control for spacecraft with translation and attitude maneuvers[J]. Journal of Dynamics and Control, 2018, 16(4): 332-337
    [18] 马广富, 朱庆华, 王鹏宇, 等. 基于终端滑模的航天器自适应预设性能姿态跟踪控制[J]. 航空学报, 2018, 39(6): 321763 doi: 10.7527/S1000-6893.2018.21763

    MA Guangfu, ZHU Qinghua, WANG Pengyu, et al. Adaptive prescribed performance attitude tracking control for spacecraft via terminal sliding-mode technique[J]. Acta Aeronauticaet Astronautica Sinica, 2018, 39(6): 321763 doi: 10.7527/S1000-6893.2018.21763
    [19] ZOU A M, DEV KUMAR K, HOU Z G, et al. Finite-time attitude tracking control for spacecraft using terminal sliding mode and Chebyshev neural network[J]. IEEE Transactions on Systems, Man, and Cybernetics, Part B (Cybernetics), 2011, 41(4): 950-963 doi: 10.1109/TSMCB.2010.2101592
    [20] 李升波, 李克强, 王建强, 等. 非奇异快速的终端滑模控制方法[J]. 信息与控制, 2009, 38(1): 1-8 doi: 10.3969/j.issn.1002-0411.2009.01.001

    LI Shengbo, LI Keqiang, WANG Jianqiang, et al. Nonsingular and fast terminal sliding mode control method[J]. Information and Control, 2009, 38(1): 1-8 doi: 10.3969/j.issn.1002-0411.2009.01.001
    [21] BHAT S P, BERNSTEIN D S. Finite-time stability of continuous autonomous systems[J]. SIAM Journal on Control and Optimization, 2000, 38(3): 751-766 doi: 10.1137/S0363012997321358
    [22] 支敬德, 戈新生. 基于模糊滑模控制的挠性航天器姿态机动及抖振抑制研究[J]. 应用力学学报, 2020, 37(5): 1972-1979 doi: 10.11776/cjam.37.05.D068

    ZHI Jingde, GE Xinsheng. Attitude maneuver and buffeting suppression of flexible spacecraft based on fuzzy sliding mode control[J]. Chinese Journal of Applied Mechanics, 2020, 37(5): 1972-1979 doi: 10.11776/cjam.37.05.D068
    [23] 周湛杰, 王新生, 王岩. 基于模糊自适应算法的航天器姿态控制[J]. 电机与控制学报, 2019, 23(2): 123-128 doi: 10.15938/j.emc.2019.02.016

    ZHOU Zhanjie, WANG Xinsheng, WANG Yan. Spacecraft attitude control based on fuzzy adaptive algorithm[J]. Electric Machines and Control, 2019, 23(2): 123-128 doi: 10.15938/j.emc.2019.02.016
    [24] 支敬德, 戈新生. 基于模糊PD控制的柔性航天器振动抑制研究[J]. 计算机仿真, 2022, 39(3): 52-56,209 doi: 10.3969/j.issn.1006-9348.2022.03.011

    ZHI Jingde, GE Xinsheng. Research on vibration suppression of flexible spacecraft based on fuzzy PD control[J]. Computer Simulation, 2022, 39(3): 52-56,209 doi: 10.3969/j.issn.1006-9348.2022.03.011
  • 加载中
图(15)
计量
  • 文章访问数:  638
  • HTML全文浏览量:  251
  • PDF下载量:  36
  • 被引次数: 

    0(来源:Crossref)

    0(来源:其他)

出版历程
  • 收稿日期:  2022-08-09
  • 录用日期:  2023-06-25
  • 修回日期:  2023-02-22
  • 网络出版日期:  2023-06-25

目录

    /

    返回文章
    返回