留言板

尊敬的读者、作者、审稿人, 关于本刊的投稿、审稿、编辑和出版的任何问题, 您可以本页添加留言。我们将尽快给您答复。谢谢您的支持!

姓名
邮箱
手机号码
标题
留言内容
验证码

北斗卫星轨道中长期预报新方法及精度分析

黄进 陈艳玲 李亮 周善石 黄勇 胡小工

黄进, 陈艳玲, 李亮, 周善石, 黄勇, 胡小工. 北斗卫星轨道中长期预报新方法及精度分析[J]. 空间科学学报. doi: 10.11728/cjss2026.01.2025-0020
引用本文: 黄进, 陈艳玲, 李亮, 周善石, 黄勇, 胡小工. 北斗卫星轨道中长期预报新方法及精度分析[J]. 空间科学学报. doi: 10.11728/cjss2026.01.2025-0020
HUANG Jin, CHEN Yanling, LI Liang, ZHOU Shanshi, HUANG Yong, HU Xiaogong. New Method and Accuracy Analysis for Medium and Long-term Orbit Prediction of BDS-3 Satellites (in Chinese). Chinese Journal of Space Science, 2026, 46(1): 199-211 doi: 10.11728/cjss2026.01.2025-0020
Citation: HUANG Jin, CHEN Yanling, LI Liang, ZHOU Shanshi, HUANG Yong, HU Xiaogong. New Method and Accuracy Analysis for Medium and Long-term Orbit Prediction of BDS-3 Satellites (in Chinese). Chinese Journal of Space Science, 2026, 46(1): 199-211 doi: 10.11728/cjss2026.01.2025-0020

北斗卫星轨道中长期预报新方法及精度分析

doi: 10.11728/cjss2026.01.2025-0020 cstr: 32142.14.cjss.2025-0020
基金项目: 中国科学院战略性先导科技专项项目(XDA0350404)和国家自然科学基金项目(12173072)共同资助
详细信息
    作者简介:
    通讯作者:
    • 陈艳玲 女, 1980年12月生, 中国科学院上海天文台正高级工程师、中国科学院大学博士生导师. 主要研究方向为空间飞行器精密定轨及其应用, 近年来重点研究近地及地月空间卫星自主导航及应用. E-mail: ylchen@shao.ac.cn
  • 中图分类号: V324.2+4

New Method and Accuracy Analysis for Medium and Long-term Orbit Prediction of BDS-3 Satellites

  • 摘要: 利用光压系数与太阳高度角密切相关的特性, 提出对ECOM-5光压模型参数进行建模及预报更新的方法进行轨道长期预报, 并对该方法的轨道预报性能进行评估. 以北斗MEO/IGSO卫星为例, 对2022年1月1日至2023年6月1日内预报18组90天轨道, 以CODE北斗卫星精密星历作为参考轨道, 评估北斗卫星轨道长期预报的性能. 试验结果表明, 采用本文提出的轨道预报方法对导航卫星进行90天轨道预报: MEO卫星第30天、60天、90天预报轨道三维位置误差RMS均值分别约为180, 650, 1400 m, 轨道URE RMS的均值分别为18.79, 61.43, 124.00 m; 与精密星历轨道的倾角误差$\Delta i $的RMS均值分别为6.07, 9.76, 12.38 mas, 与精密星历轨道的升交点赤经误差$\Delta \varOmega $ RMS均值分别为6.47, 11.24, 14.88 mas; IGSO卫星预报轨道三维位置误差第30天、60天、90天RMS均值分别约为260, 1000, 2200 m, iΩ预报误差与MEO卫星相当. 因此, 可以得出结论, 该方法获得的中长期预报轨道三维位置以及轨道定向参数iΩ具有较高的精度.

     

  • 图  1  BDS-3卫星ECOM-5模型光压参数$ {{D}}_{{0}} $, $ {{Y}}_{{0}} $, $ {{B}}_{{0}} $, $ {{B}}_{\rm{c}} $, $ {{B}}_{\rm{s}} $随太阳高度角变化

    Figure  1.  Variation of ECOM-5 parameters $ {{D}}_{\rm{0}} $, $ {{Y}}_{\rm{0}} $, $ {{B}}_{\rm{0}} $, $ {{B}}_{{\mathrm{c}}} $, $ {{B}}_{{\mathrm{s}}} $ with the solar altitude angle for BDS-3 satellites

    图  2  轨道预报流程

    Figure  2.  Processing workflow of orbit prediction

    图  3  26颗卫星90天预报周期内URE与三维位置误差的时间序列变化(预报起始日期: 2022年8月1日)

    Figure  3.  Time series variation of URE and 3 D position error for 26 satellites in 90-day prediction period (Prediction start date: 1 August 2022)

    图  4  C19卫星90天预报轨道RTN和URE误差变化趋势

    Figure  4.  RTN and URE errors variation of C19 satellite’s 90-day predicted orbit

    图  5  C38卫星90天预报轨道RTN和URE误差变化趋势

    Figure  5.  RTN and URE errors variation of C38 satellite’s 90-day predicted orbit

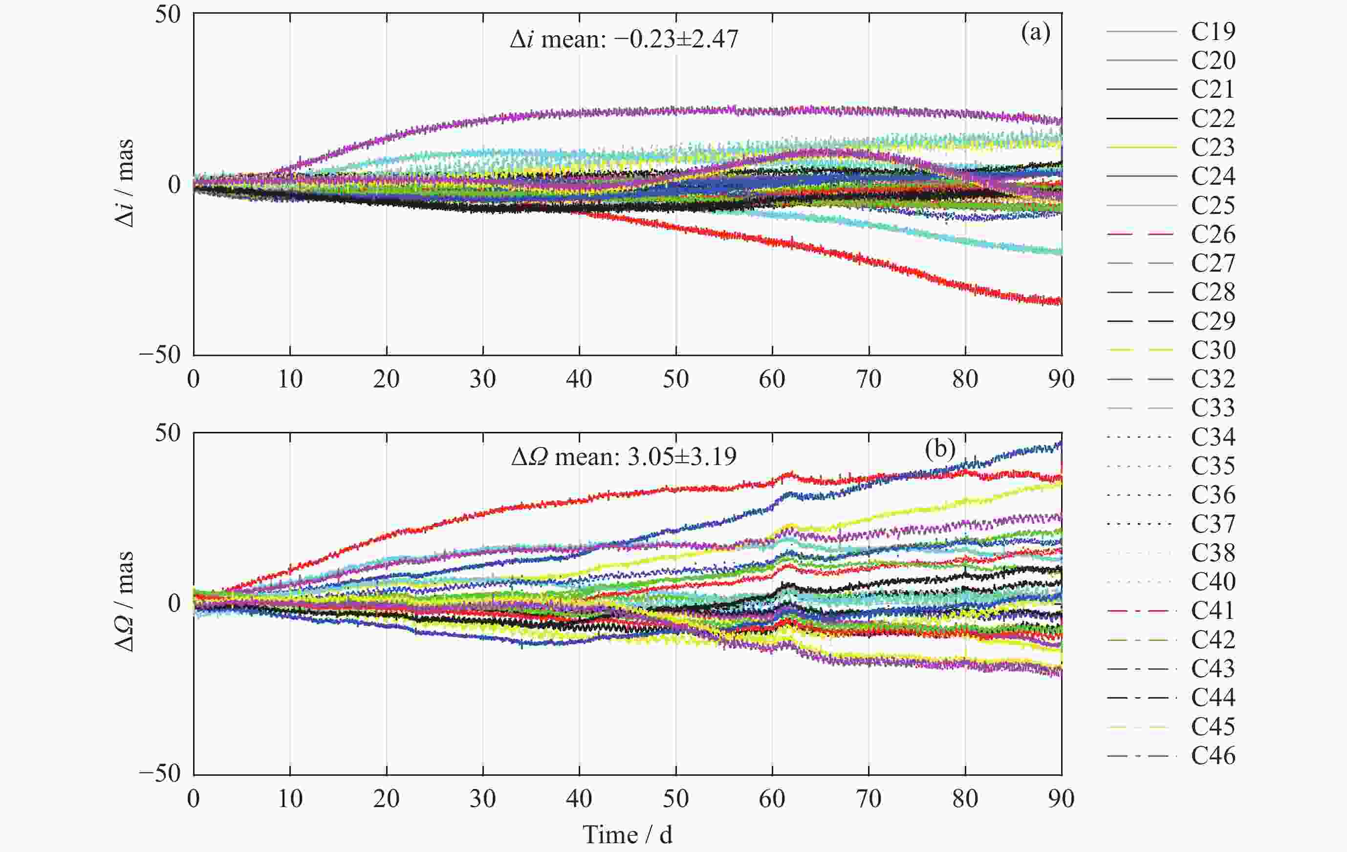
    图  6  $\Delta i $和$\Delta \varOmega $的90天时间序列变化(预报起始日期: 2022年8月1日)

    Figure  6.  Change of $\Delta i $ and $\Delta \varOmega $ errors in 90 days (Prediction start date: 1 August 2022)

    图  7  各星轨道倾角、升交点赤经预报误差第90天最大值分布

    Figure  7.  Distribution of maximum prediction errors of $\Delta i $ and $\Delta \varOmega $ for each satellite on the 90th day

    表  1  C19卫星 ECOM-5模型参数与太阳高度角函数模型拟合系数

    Table  1.   Fitting coefficients of Satellite C19 ECOM-5 model with solar altitude angle function model

    CoefficientABCD
    $ {D}_{0} $–0.144906×10–6–0.525711×10–11–0.722279×10–110.380356×10–8
    $ {Y}_{0} $–0.197577×10–9–0.888765×10–110.353819×10–110.122991×10–9
    $ {B}_{0} $0.164566×10–8–0.147844×10–100.460865×10–11–0.907190×10–9
    $ {B}_{c} $–0.816728×10–90.101913×10–8–0.343274×10–90.132983×10–8
    $ {B}_{s} $–0.333089×10–9–0.200095×10–80.347368×10–90.398325×10–9
    下载: 导出CSV

    表  2  北斗导航卫星长期预报第30天位置误差RMS值统计(单位: m)

    Table  2.   Position error RMS statistics on the 30th day of Beidou navigation satellites’ long-term orbit prediction (Unit: m)

    卫星类型 PRN ΔR
    ΔT
    ΔN
    3D
    URE
    MEO C19 7.221 125.141 0.506 125.637 14.462
    C20 6.697 113.495 0.534 114.007 13.337
    C21 6.512 88.317 0.452 88.820 11.270
    C22 6.907 176.129 0.578 176.362 17.933
    C23 9.002 126.184 0.474 126.740 15.180
    C24 8.659 99.984 0.613 100.610 13.392
    C25 8.121 112.313 1.121 112.938 13.881
    C26 8.882 225.326 1.788 225.854 23.715
    C27 9.680 87.416 0.878 88.141 12.866
    C28 10.054 440.936 1.407 441.099 41.312
    C29 8.726 169.195 1.023 169.614 18.494
    C30 9.665 341.254 1.438 341.553 32.786
    C32 6.091 141.961 1.159 142.164 14.600
    C33 5.988 266.652 0.946 266.874 25.760
    C34 10.084 161.141 0.736 161.868 18.969
    C35 10.267 272.558 0.845 272.859 27.235
    C36 7.636 280.586 1.105 280.784 27.076
    C37 7.544 114.962 0.401 115.594 13.996
    MEO C41 5.181 169.843 0.475 170.019 16.847
    C42 5.009 151.484 0.441 151.755 15.483
    C43 6.026 67.942 0.782 68.393 9.174
    C44 4.936 93.586 0.862 93.896 10.568
    C45 8.000 180.254 0.871 180.683 19.258
    C46 7.370 215.090 0.879 215.442 21.756
    均值 7.659 176.844 0.857 177.258 18.793
    IGSO C38 12.057 192.091 0.878 192.846 30.785
    C40 23.006 325.491 1.085 326.832 52.814
    均值 17.532 258.791 0.981 259.839 41.799
    下载: 导出CSV

    表  3  北斗导航卫星长期预报第60天位置误差RMS值统计(单位: m)

    Table  3.   Position error RMS statistics on the 60th day of Beidou navigation satellites’ long-term orbit prediction (Unit: m)

    卫星类型 PRN ΔR
    ΔT
    ΔN
    3 D
    URE
    MEO C19 10.558 539.251 0.980 539.440 50.420
    C20 9.817 429.150 0.992 429.411 40.718
    C21 9.720 317.703 0.825 318.274 31.725
    C22 9.783 621.583 1.098 621.850 57.573
    C23 12.882 461.512 0.806 461.892 44.309
    C24 11.532 307.503 1.191 308.034 31.434
    C25 14.264 394.126 1.847 394.785 40.146
    C26 15.182 881.259 3.000 881.824 83.382
    C27 18.504 289.352 1.497 290.328 33.195
    C28 19.363 1723.910 2.566 1724.206 157.273
    C29 16.822 652.385 1.821 652.746 62.290
    C30 18.813 1395.105 2.553 1395.270 127.309
    C32 9.988 536.658 1.738 536.846 50.015
    C33 9.478 730.198 1.307 730.376 67.442
    C34 19.638 612.447 1.262 613.217 61.315
    C35 19.704 1060.362 1.437 1060.868 98.816
    C36 10.984 1053.330 1.851 1053.455 96.053
    C37 9.747 418.462 0.735 418.670 39.664
    C41 8.274 625.139 0.893 625.284 57.301
    C42 8.115 547.748 0.840 547.864 50.460
    C43 11.113 237.917 1.205 238.510 25.565
    C44 8.739 340.791 1.395 341.224 33.294
    C45 12.700 584.656 1.052 585.045 55.507
    C46 11.773 771.800 1.042 772.098 71.669
    均值 12.802 650.656 1.428 651.036 61.427
    IGSO C38 25.337 937.171 1.709 937.753 135.005
    C40 42.832 918.530 1.752 921.830 142.093
    均值 34.084 927.850 1.731 929.791 138.549
    下载: 导出CSV

    表  4  北斗导航卫星长期预报第90天位置误差RMS值统计(单位: m)

    Table  4.   Position error RMS statistics on the 90th day of Beidou navigation satellites’ long-term orbit prediction (Unit: m)

    卫星类型 PRN ΔR
    ΔT
    ΔN
    3 D
    URE
    MEO C19 13.774 1130.630 1.419 1130.760 103.159
    C20 12.360 868.655 1.384 868.910 79.848
    C21 12.813 658.330 1.178 658.804 62.193
    C22 12.113 1227.798 1.585 1227.956 111.967
    C23 16.362 945.159 1.133 945.396 87.274
    C24 14.361 599.986 1.782 600.476 57.334
    C25 20.457 842.590 2.223 843.037 80.217
    C26 21.152 1987.638 3.560 1988.325 182.968
    C27 26.139 560.860 1.872 561.901 59.152
    C28 27.326 3723.320 3.372 3723.472 336.733
    C29 23.719 1317.467 2.401 1318.364 124.208
    C30 26.832 3035.307 3.374 3035.498 275.189
    C32 12.985 1072.854 2.121 1073.049 98.388
    C33 11.810 1285.367 1.759 1285.750 118.126
    C34 27.967 1270.683 1.658 1271.980 122.956
    C35 27.894 2332.357 1.891 2333.081 214.182
    C36 13.828 2202.922 2.181 2203.150 199.878
    C37 12.384 772.700 1.061 772.841 71.043
    C41 11.548 1303.858 1.247 1303.997 118.571
    C42 11.026 1125.251 1.235 1125.413 102.692
    C43 14.787 466.879 1.366 467.291 45.833
    C44 11.463 651.211 1.730 651.505 60.921
    C45 15.468 1044.361 1.314 1044.792 97.090
    C46 14.946 1675.416 1.345 1675.527 151.995
    均值 17.216 1344.116 1.857 1344.518 124.003
    IGSO C38 35.366 2639.648 1.975 2640.235 373.378
    C40 64.105 1703.226 2.120 1706.001 253.532
    均值 49.736 2171.437 2.047 2173.118 313.455
    下载: 导出CSV

    表  5  北斗导航卫星长期预报轨道倾角误差及升交点赤经误差统计(单位: mas)

    Table  5.   RMS error statistics of $\Delta i $ and $\Delta \varOmega $ of Beidou navigation satellites’ long-term orbit prediction (Unit: mas)

    卫星类型 卫星PRN 第30天 第60天 第90天
    $\Delta i $ $\Delta \varOmega $ $\Delta i $ $\Delta \varOmega $ $\Delta i $ $\Delta \varOmega $
    MEO C19 4.015 3.500 7.800 6.361 11.127 9.406
    C20 4.180 3.816 7.816 6.648 10.997 8.918
    C21 3.378 3.298 6.643 5.768 9.702 8.102
    C22 4.075 4.316 7.878 7.634 11.190 11.189
    C23 3.246 3.828 6.000 5.777 8.862 7.542
    C24 5.768 2.485 11.657 4.070 16.933 6.731
    C25 9.702 5.329 15.660 10.339 18.084 13.890
    C26 15.738 8.500 24.628 17.046 28.039 24.269
    C27 4.637 8.386 7.406 14.897 9.037 19.067
    C28 7.701 13.155 12.823 25.217 16.765 34.095
    C29 5.825 9.492 10.067 17.414 11.930 24.471
    C30 8.263 12.913 14.239 24.085 16.808 32.909
    C32 9.791 7.585 14.600 10.627 17.829 11.424
    C33 6.811 7.707 9.123 10.453 11.404 14.507
    C34 3.475 7.636 6.430 12.758 7.649 17.432
    C35 4.036 8.515 5.524 16.232 5.483 22.789
    C36 9.593 6.066 16.071 10.211 18.738 11.750
    C37 2.484 3.785 5.240 6.559 8.096 8.847
    C41 3.013 4.461 5.347 8.529 7.642 11.939
    C42 2.904 3.948 5.517 7.726 7.963 11.358
    C43 4.696 6.940 7.353 11.079 8.832 11.568
    C44 5.183 7.778 8.706 12.147 10.628 14.210
    C45 7.313 5.425 7.160 8.610 9.951 9.635
    C46 7.565 5.080 7.544 7.626 10.144 9.027
    均值 6.070 6.467 9.761 11.236 12.384 14.878
    IGSO C38 4.164 4.401 7.227 8.640 8.125 10.240
    C40 5.937 4.815 8.117 9.307 9.655 12.165
    均值 5.050 4.608 7.672 8.974 8.890 11.202
    下载: 导出CSV
  • [1] 全国北斗卫星导航标准化技术委员会. 北斗卫星导航术语: GB/T 39267—2020 [S]. 北京: 中国标准出版社, 2020: 11.
    [2] LIU Lin, LIU Yingchun. Deficient rank problem in autonomous orbit determination with inter-satellite link measurements[J]. Journal of Spacecraft TT :Times New Roman;">& C Technology, 2000, 19(3): 13-16 (刘林, 刘迎春. 关于星-星相对测量自主定轨中的亏秩问题[J]. 飞行器测控学报, 2000, 19(3): 13-16

    LIU Lin, LIU Yingchun. Deficient rank problem in autonomous orbit determination with inter-satellite link measurements[J]. Journal of Spacecraft TT & C Technology, 2000, 19(3): 13-16
    [3] SHANG Lin. Research on the Autonomous Orbit Determination and Time Synchronization Algorithm of Navigation Satellites[D]. Beijing: University of Chinese Academy of Sciences, 2013 (尚琳. 导航卫星自主定轨与时间同步算法研究[D]. 北京: 中国科学院大学, 2013

    SHANG Lin. Research on the Autonomous Orbit Determination and Time Synchronization Algorithm of Navigation Satellites[D]. Beijing: University of Chinese Academy of Sciences, 2013
    [4] YANG Li, GUO Feixiao, WEN Yuanlan, et al. Analysis of autonomous orbit determination for navigation constellation with one anchor station[J]. Journal of Spacecraft TT :Times New Roman;">& C Technology, 2013, 32(5): 444-448 (杨力, 郭飞霄, 文援兰, 等. 单锚固站辅助导航星座自主定轨分析[J]. 飞行器测控学报, 2013, 32(5): 444-448 doi: 10.7642/j.issn.1674-5620.2013-05-0444-05

    YANG Li, GUO Feixiao, WEN Yuanlan, et al. Analysis of autonomous orbit determination for navigation constellation with one anchor station[J]. Journal of Spacecraft TT & C Technology, 2013, 32(5): 444-448 doi: 10.7642/j.issn.1674-5620.2013-05-0444-05
    [5] LI Bo. Research on long-term autonomous orbit determination for navigation constellation based on inter-satellite orientation observation[D]. Nanjing: Nanjing University of Aeronautics and Astronautics, 2010 (李博. 基于星间定向观测的导航星座长期自主定轨技术研究[D]. 南京: 南京航空航天大学, 2010

    LI Bo. Research on long-term autonomous orbit determination for navigation constellation based on inter-satellite orientation observation[D]. Nanjing: Nanjing University of Aeronautics and Astronautics, 2010
    [6] XU Jiahui, HU Min, WANG Xuyu, et al. Security analysis for long-term evolution of medium earth orbit navigation satellite constellation[J]. Aerospace Control, 2020, 38(6): 67-73 (徐家辉, 胡敏, 王许煜, 等. 中轨道导航星座长期演化安全性分析[J]. 航天控制, 2020, 38(6): 67-73

    XU Jiahui, HU Min, WANG Xuyu, et al. Security analysis for long-term evolution of medium earth orbit navigation satellite constellation[J]. Aerospace Control, 2020, 38(6): 67-73
    [7] MAO Yue, SONG Xiaoyong, HU Xiaogong, et al. Orbit prediction accuracy analysis and improvement method for BeiDou satellites[J]. Journal of Geomatics Science and Technology, 2017, 34(2): 124-129,134 (毛悦, 宋小勇, 胡小工, 等. 北斗卫星轨道预报精度分析及改进[J]. 测绘科学技术学报, 2017, 34(2): 124-129,134 doi: 10.3969/j.issn.1673-6338.2017.02.003

    MAO Yue, SONG Xiaoyong, HU Xiaogong, et al. Orbit prediction accuracy analysis and improvement method for BeiDou satellites[J]. Journal of Geomatics Science and Technology, 2017, 34(2): 124-129,134 doi: 10.3969/j.issn.1673-6338.2017.02.003
    [8] ZHANG Weixing, LIU Wanke, GONG Xiaoying, et al. Influence of solar radiation perturbation model refinement on autonomous orbit determination of navigation satellites[J]. Geomatics and Information Science of Wuhan University, 2013, 38(6): 700-704 (张卫星, 刘万科, 龚晓颖, 等. 导航卫星自主定轨中光压模型精化方法及其影响研究[J]. 武汉大学学报·信息科学版, 2013, 38(6): 700-704

    ZHANG Weixing, LIU Wanke, GONG Xiaoying, et al. Influence of solar radiation perturbation model refinement on autonomous orbit determination of navigation satellites[J]. Geomatics and Information Science of Wuhan University, 2013, 38(6): 700-704
    [9] JI Changdong, ZHANG Meng, WANG Qiang. Research on the method of high precision orbit prediction for BDS satellite[J]. Science of Surveying and Mapping, 2020, 45(7): 18-25,32 (吉长东, 张萌, 王强. 北斗卫星轨道预报方法分析[J]. 测绘科学, 2020, 45(7): 18-25,32 doi: 10.16251/j.cnki.1009-2307.2020.07.003

    JI Changdong, ZHANG Meng, WANG Qiang. Research on the method of high precision orbit prediction for BDS satellite[J]. Science of Surveying and Mapping, 2020, 45(7): 18-25,32 doi: 10.16251/j.cnki.1009-2307.2020.07.003
    [10] SPRINGER T A, ROTHACHER M, BEUTLER G. Using the extended CODE orbit model: first experiences[M]//NEILAN R E. IGS 1996 Analysis Center Workshop. Pasadena, CA: IGS Central Bureau, 1996: 13-25
    [11] RODRIGUEZ-SOLANO C J, HUGENTOBLER U, STEIGENBERGER P. Adjustable box-wing model for solar radiation pressure impacting GPS satellites[J]. Advances in Space Research, 2012, 49(7): 1113-1128 doi: 10.1016/j.asr.2012.01.016
    [12] DACH R, BOCKMANN E. International GNSS service technical Report 2023(IGS Annual Report)[R/OL]. (2024-06-11)[2025-01-15]. https://igs.org/news/igs-technical-report-2023
    [13] SPRINGER T A, BEUTLER G, ROTHACHER M. A new solar radiation pressure model for GPS satellites[J]. GPS Solutions, 1999, 2(3): 50-62
    [14] CHEN Qiuli, YANG Hui, CHEN Zhonggui, et. al. Modeling and analysis of solar radiation pressure for GPS satellites[J]. Spacecraft Engineering, 2013, 22(2): 98-103 (陈秋丽, 杨慧, 陈忠贵, 等. GPS卫星光压摄动建模发展与启示[J]. 航天器工程, 2013, 22(2): 98-103

    CHEN Qiuli, YANG Hui, CHEN Zhonggui, et. al. Modeling and analysis of solar radiation pressure for GPS satellites[J]. Spacecraft Engineering, 2013, 22(2): 98-103
    [15] SPRINGER T A, BEUTLER G, ROTHACHER M. Improving the orbit estimates of GPS satellites[J]. Journal of Geodesy, 1999, 73(3): 147-157
    [16] LI Jie. Solar Radiation Pressure Modeling for BeiDou-3 Satellites[D]. Wuhan: Wuhan University, 2022 (李婕. 北斗三号卫星太阳光压模型精化研究[D]. 武汉: 武汉大学, 2022

    LI Jie. Solar Radiation Pressure Modeling for BeiDou-3 Satellites[D]. Wuhan: Wuhan University, 2022
    [17] BAR-SEVER Y, KUANG D D. New empirically derived solar radiation pressure model for Global Positioning System satellites during eclipse seasons[R]. IPN Progress Report 42-159, 2004: 1-11
    [18] STEIGENBERGER P, DENG Z G, GUO J, et al. BeiDou-3 orbit and clock quality of the IGS Multi-GNSS pilot project[J]. Advances in Space Research, 2022, 71(1): 355-368 doi: 10.1016/j.asr.2022.08.058
    [19] CHEN G, GUO J, GENG T, et al. Multi-GNSS orbit combination at Wuhan University: strategy and preliminary products[J]. Journal of Geodesy, 2023, 97(5): 41 doi: 10.1007/s00190-023-01732-2
    [20] BIZOUARD C, LAMBERT S, GATTANO C, et al. The IERS EOP 14C04 solution for Earth orientation parameters consistent with ITRF 2014[J]. Journal of Geodesy, 2019, 93(5): 621-633 doi: 10.1007/s00190-018-1186-3
    [21] CHEN Yanling, HU Xiaogong, ZHOU Shanshi, et al. A new autonomous orbit determination algorithm based on inter-satellite ranging measurements[J]. SCIENTIA SINICA Physica, Mechanica :Times New Roman;">& Astronomica, 2015, 45(7): 079511 (陈艳玲, 胡小工, 周善石, 等. 基于星间测距的导航卫星自主定轨新算法[J]. 中国科学: 物理学 力学 天文学, 2015, 45(7): 079511

    CHEN Yanling, HU Xiaogong, ZHOU Shanshi, et al. A new autonomous orbit determination algorithm based on inter-satellite ranging measurements[J]. SCIENTIA SINICA Physica, Mechanica & Astronomica, 2015, 45(7): 079511
    [22] GRIMES J G. Global Positioning System Standard Positioning Service Performance Standard[EB/OL]. (2008-09-01). https://rosap.ntl.bts.gov/view/dot/16930
  • 加载中
图(7) / 表(5)
计量
  • 文章访问数:  486
  • HTML全文浏览量:  100
  • PDF下载量:  38
  • 被引次数: 

    0(来源:Crossref)

    0(来源:其他)

出版历程
  • 收稿日期:  2025-02-14
  • 修回日期:  2025-05-29
  • 网络出版日期:  2025-05-30

目录

    /

    返回文章
    返回