Volume 44 Issue 3
Jun.  2024
Turn off MathJax
Article Contents
WANG Tingyu, LUO Bingxian, CHEN Yanhong, SHI Yurong, WANG Jingjing, LIU Siqing. Modeling Next 3-day Kp Index Forecasting with Neural Networks and Exploring the Application of Explainable AI (in Chinese). Chinese Journal of Space Science, 2024, 44(3): 437-445 doi: 10.11728/cjss2024.03.2023-0107
Citation: WANG Tingyu, LUO Bingxian, CHEN Yanhong, SHI Yurong, WANG Jingjing, LIU Siqing. Modeling Next 3-day Kp Index Forecasting with Neural Networks and Exploring the Application of Explainable AI (in Chinese). Chinese Journal of Space Science, 2024, 44(3): 437-445 doi: 10.11728/cjss2024.03.2023-0107

Modeling Next 3-day Kp Index Forecasting with Neural Networks and Exploring the Application of Explainable AI

doi: 10.11728/cjss2024.03.2023-0107 cstr: 32142.14.cjss2024.03.2023-0107
  • Received Date: 2023-09-27
  • Rev Recd Date: 2023-11-17
  • Available Online: 2024-01-02
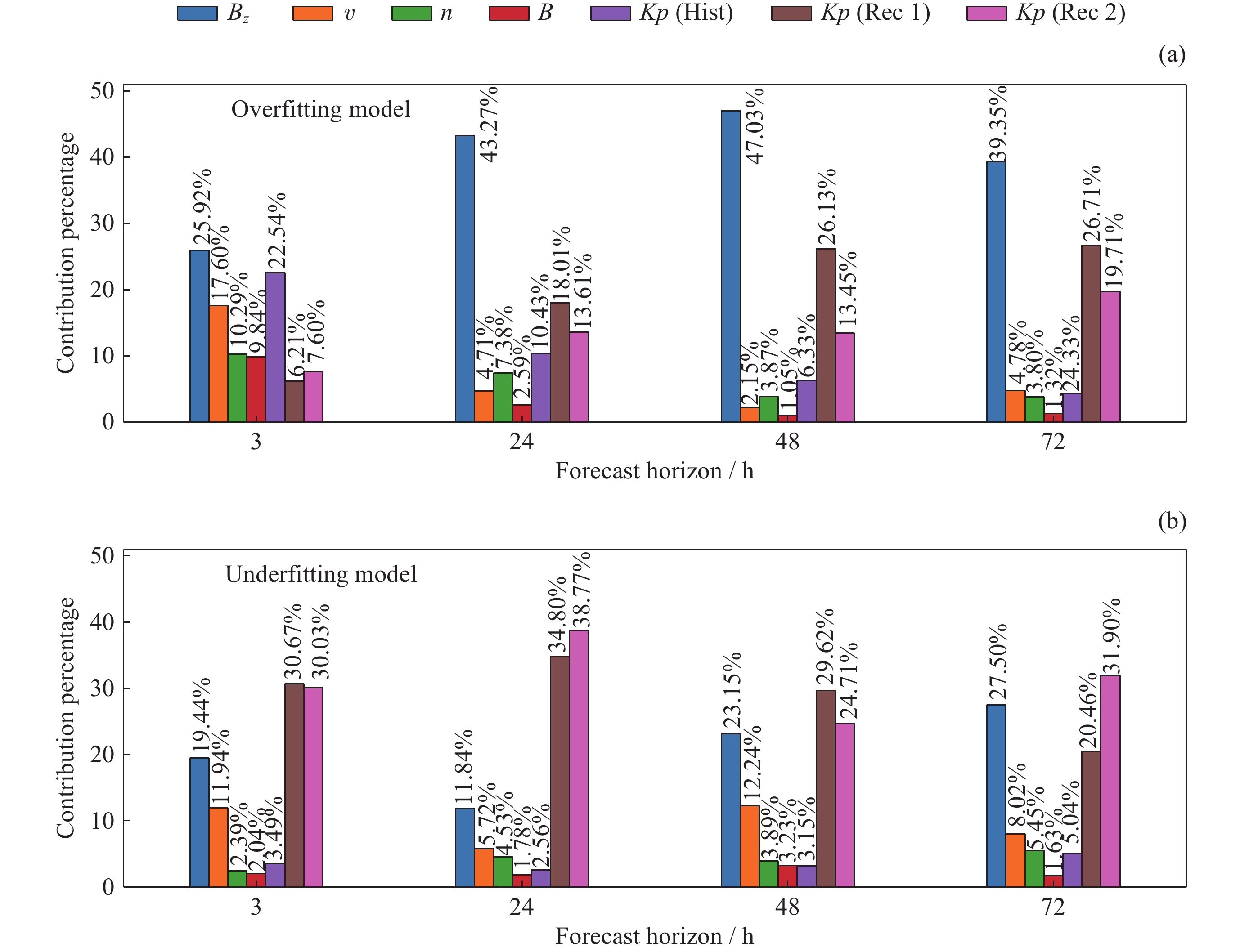
  • The current operational needs of space weather forecasting strongly require accurate predictions of the future 3-day Kp index. Such forecasts involve a multitude of predictors, including physical parameters observed at the Earth-Sun L1 point and historical characteristics of the Kp index. Therefore, previous research primarily relied on statistical or empirical methods for prediction. However, the complex coupling of multiple parameters during geomagnetic storm events has made it challenging to quantify the contributions of various predictors to Kp index forecasting over a 3-day timescale, hindering further improvements in forecast accuracy. This study builds a 3-day Kp index forecasting model based on neural network modeling and utilizes explainable AI (Artificial Intelligence) algorithm, specifically the integrated gradient algorithm, to quantify the contributions of individual predictor. The research results indicate that the southward interplanetary magnetic field contributes significantly to Kp index prediction, accounting for 37.15% of all factors, making it the primary contributor. Following this, solar wind speed contributes 15.73%, underscoring the model's ability to capture parameters aligned with physical characteristics as the primary predictive factors during training. The contribution of historical characteristics of Kp index (recurrence characteristics) gradually increases with the forecasting horizon and reaches 68.06% at a lead time of 3-day. This substantiates the strong predictive capabilities of the AI model in forecasting geomagnetic storm events induced by high-speed solar wind streams originating from coronal holes. Furthermore, this study conducts contribution analysis on two significant geomagnetic storm events that occurred in 2015 and 2017. It reveals that the predominant predictors contributing to each event differ. This underscores the model's capability to accurately capture the complex coupling of multiple parameters in geomagnetic storm forecasting. In conclusion, this research demonstrates that employing explainable AI algorithms can help quantify the contributions of various predictive factors to Kp index forecasting to some extent. This has the potential to enhance further research and improvements in 3-day Kp index AI forecasting models.

     

  • loading
  • [1]
    FANG T W, KUBARYK A, GOLDSTEIN D, et al. Space weather environment during the SpaceX starlink satellite loss in February 2022[J]. Space Weather, 2022, 20(11): e2022SW003193 doi: 10.1029/2022SW003193
    [2]
    罗冰显, 王荣兰, 刘卫, 等. “星链”卫星毁于地磁暴事件空间环境分析[J]. 国际太空, 2022(5): 35-39 doi: 10.3969/j.issn.1009-2366.2022.05.009

    LUO Bingxian, WANG Ronglan, LIU Wei, et al. Analysis of the space environment in the event of the destruction of the Starlink satellite by a geomagnetic storm[J]. Space International, 2022(5): 35-39 doi: 10.3969/j.issn.1009-2366.2022.05.009
    [3]
    MATZKA J, STOLLE C, YAMAZAKI Y, et al. The geomagnetic Kp index and derived indices of geomagnetic activity[J]. Space Weather, 2021, 19(5): e2020SW002641 doi: 10.1029/2020SW002641
    [4]
    WING S, JOHNSON J R, JEN J, et al. Kp forecast models[J]. Journal of Geophysical Research: Space Physics, 2005, 110 (A4): A04203. DOI: 10.1029/2004JA010500
    [5]
    WINTOFT P, WIK M, MATZKA J, et al. Forecasting Kp from solar wind data: input parameter study using 3-hour averages and 3-hour range values[J]. Journal of Space Weather and Space Climate, 2017, 7: A29 doi: 10.1051/swsc/2017027
    [6]
    TAN Y, HU Q H, WANG Z, et al. Geomagnetic index Kp forecasting with LSTM[J]. Space Weather, 2018, 16(4): 406-416 doi: 10.1002/2017SW001764
    [7]
    肖建军, 龚建村. 国外空间天气保障能力建设及对我国的启示[J]. 航天器环境工程, 2015, 32(1): 9-13 doi: 10.3969/j.issn.1673-1379.2015.01.002

    XIAO Jianjun, GONG Jiancun. Foreign space weather support capability building and the enlightenments to our country[J]. Spacecraft Environment Engineering, 2015, 32(1): 9-13 doi: 10.3969/j.issn.1673-1379.2015.01.002
    [8]
    LI Rong, QUAN Lin, LI Ling, et al. Review on status and development of space weather services[J/OL]. Progress in Geophysics, (2023-06-27)[2023-09-15]. https://kns.cnki.net/kcms2/article/abstract?v=3uoqIhG8C45S0n9fL2suRadTyEVl2pW9UrhTDCdPD66mi5bQfuHu-RxLnEeZBXUV7crkn5fWLWA2JP2zYD9YfcusDT2ApoMe&uniplatform=NZKPT
    [9]
    WANG J J, LUO B X, LIU S Q, et al. A machine learning-based model for the next 3-day geomagnetic index (Kp) forecast[J]. Frontiers in Astronomy and Space Sciences, 2023, 10: 1082737 doi: 10.3389/fspas.2023.1082737
    [10]
    SHPRITS Y Y, VASILE R, ZHELAVSKAYA I S. Nowcasting and predicting the Kp index using historical values and real-time observations[J]. Space Weather, 2019, 17(8): 1219-1229 doi: 10.1029/2018SW002141
    [11]
    BERNOUX G, BRUNET A, BUCHLIN É, et al. Forecasting the geomagnetic activity several days in advance using neural networks driven by solar EUV imaging[J]. Journal of Geophysical Research: Space Physics, 2022, 127(10): e2022JA030868 doi: 10.1029/2022JA030868
    [12]
    3-Day forecast | NOAA / NWS Space Weather Prediction Center[EB/OL]. [2023-09-15]. https://www.swpc.noaa.gov/products/3-day-forecast
    [13]
    Forecast Kp index–space weather[EB/OL]. [2023-09-15]. https://spaceweather.gfz-potsdam.de/products-data/forecasts/Kp-index-forecast
    [14]
    胡晓彦, 徐寄遥, 邹自明. “大数据&人工智能”驱动的空间天气科研范式变革初步探索[J]. 数据与计算发展前沿, 2023, 5(2): 24-36

    HU Xiaoyan, XU Jiyao, ZOU Ziming. Preliminary study on paradigm shift in space weather research driven by big data and artificial intelligence[J]. Frontiers of Data & Computing, 2023, 5(2): 24-36
    [15]
    HAM Y G, KIM J H, LUO J J. Deep learning for multi-year ENSO forecasts[J]. Nature, 2019, 573(7775): 568-572 doi: 10.1038/s41586-019-1559-7
    [16]
    ZHANG A X, FU T M, FENG X, et al. Deep learning-based ensemble forecasts and predictability assessments for surface ozone pollution[J]. Geophysical Research Letters, 2023, 50(8): e2022GL102611 doi: 10.1029/2022GL102611
    [17]
    WANG T Y, HUANG P. Superiority of a convolutional neural network model over dynamical models in predicting central pacific ENSO[J]. Advances in Atmospheric Sciences, 2024, 41(1): 141-154 doi: 10.1007/s00376-023-3001-1
    [18]
    SUNDARARAJAN M, TALY A, YAN Q Q. Axiomatic attribution for deep networks[C]//Proceedings of the 34th International Conference on Machine Learning. Sydney: JMLR. org, 2017: 3319-3328
    [19]
    DAS A, RAD P. Opportunities and challenges in explainable artificial intelligence (XAI): a survey[OL]. arXiv preprint arXiv: 2006.11371, 2020
    [20]
    LU Z, PU H M, WANG F C, et al. The expressive power of neural networks: a view from the width[OL]. arXiv preprint arXiv: 1709.02540, 2017
    [21]
    PAPITASHVILI N E, KING J H. OMNI 1-min data set[DS/OL]. NASA Space Physics Data Facility, 2020[2023-09-25]. https://hpde.io/NASA/NumericalData/OMNI/HighResolutionObservations/Version1/PT1M
    [22]
    KNIPP D J, GROSS N A. Understanding space weather and the physics behind it[C]//Proceedings of the American Geophysical Union, Fall Meeting 2011. Washington D C: AGU, 2011
    [23]
    AUGUSTO C R A, NAVIA C E, DE OLIVEIRA M N, et al. The 2015 summer solstice storm: one of the major geomagnetic storms of solar cycle 24 observed at ground level[J]. Solar Physics, 2018, 293(5): 84 doi: 10.1007/s11207-018-1303-8
    [24]
    HAJRA R, TSURUTANI B T, LAKHINA G S. The complex space weather events of 2017 September[J]. The Astrophysical Journal, 2020, 899(1): 3 doi: 10.3847/1538-4357/aba2c5
    [25]
    BADRUDDIN B, ASLAM O P M, DEROUICH M, et al. Forbush decreases and geomagnetic storms during a highly disturbed solar and interplanetary period, 4–10 September 2017[J]. Space Weather, 2019, 17(3): 487-496 doi: 10.1029/2018SW001941
    [26]
    HAM Y G, KIM J H, MIN S K, et al. Anthropogenic fingerprints in daily precipitation revealed by deep learning[J]. Nature, 2023, 622(7982): 301-307 doi: 10.1038/s41586-023-06474-x
  • 加载中

Catalog

    通讯作者: 陈斌, bchen63@163.com
    • 1. 

      沈阳化工大学材料科学与工程学院 沈阳 110142

    1. 本站搜索
    2. 百度学术搜索
    3. 万方数据库搜索
    4. CNKI搜索

    Figures(7)  / Tables(2)

    Article Metrics

    Article Views(735) PDF Downloads(90) Cited by()
    Proportional views
    Related

    /

    DownLoad:  Full-Size Img  PowerPoint
    Return
    Return