Volume 45 Issue 4
Aug.  2025
Turn off MathJax
Article Contents
YIN Ping, ZHANG Shanshan, XU Shuo, HOU Xiuze. Use of NeQuick G Model and COSMIC-2 Occultation Data in Ionospheric Tomography Algorithm (in Chinese). Chinese Journal of Space Science, 2025, 45(4): 975-986 doi: 10.11728/cjss2025.04.2024-0077
Citation: YIN Ping, ZHANG Shanshan, XU Shuo, HOU Xiuze. Use of NeQuick G Model and COSMIC-2 Occultation Data in Ionospheric Tomography Algorithm (in Chinese). Chinese Journal of Space Science, 2025, 45(4): 975-986 doi: 10.11728/cjss2025.04.2024-0077

Use of NeQuick G Model and COSMIC-2 Occultation Data in Ionospheric Tomography Algorithm

doi: 10.11728/cjss2025.04.2024-0077 cstr: 32142.14.cjss.2024-0077
  • Received Date: 2024-06-15
  • Accepted Date: 2025-07-10
  • Rev Recd Date: 2025-03-11
  • Available Online: 2025-05-19
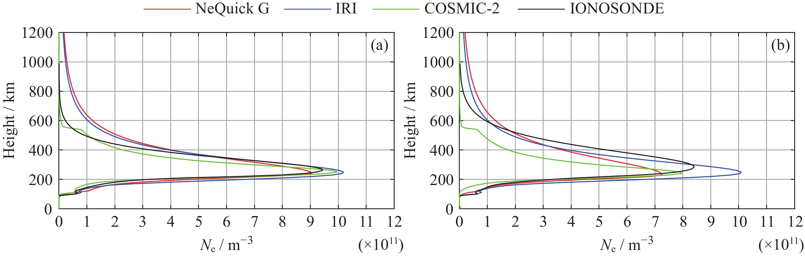
  • As effective means of ionospheric monitoring, NeQuick G model and Global Navigation Satellite System (GNSS) Constellation Observing System for Meteorology Ionosphere and Climate 2 (COSMIC-2) have been providing plenty of information for characterizing ionospheric conditions. For example, the NeQuick G model is an empirical model that can offer estimated ionospheric electron density and Total Electron Content (TEC) data at any given time and location, while COSMIC-2 yields measured electron density profiles via radio occultation techniques, thus providing direct observations of vertical ionospheric structures. With the development of ionospheric tomograhic techniques based on GNSS data, four-dimensional (spatio-temporal) distribution of electron density can be reconstructed globally even during periods of ionospheric disturbances. However, such tomographic techniques are often limited by uneven data coverage (non-uniform distribution of observation paths) and low vertical resolution in the inversion, which may reduce reconstruction accuracy. In this study, an improved three-dimensional ionospheric tomography approach is presented, adapting the Multi-Instrument Data Analysis System (MIDAS) algorithm to integrate NeQuick G model electron density profiles and COSMIC-2 occultation observations. By incorporating a background model and direct profile measurements, the tomography inversion receives additional constraints that help mitigate issues of data sparsity and improve vertical structure accuracy. Take a case study as an example, this improved MIDAS tomographic method is applied to reconstruct the ionospheric electron density distribution over the Wuhan station (WU430), China and one South Korean station (JJ433) during the period of ionospheric disturbance between November 3 and 4 in 2021. Besides, ionosonde observation data from these two stations are used as the independent measurements to evaluate the inversion results in term of peak electron density (NmF2) and peak height (hmF2) of the F2 layer, as well as electron density profiles. The comparsion results show that the improvement percentage of the Root Mean Squared Error (RMSE) of NmF2 tomographic results was up to 30.7%, and the RMSE improvement percentage of hmF2 tomographic results was up to 59.21%.

     

  • loading
  • [1]
    胡嘉宇, 甘呈坤, 辜声峰. CSES/FY3C掩星与数字测高仪探测电离层特征参数比较分析[J]. 导航定位学报, 2023, 11(4): 120-129

    HU Jiayu, GAN Chengkun, GU Shengfeng. Comparative analysis of ionospheric characteristic parameters detected by CSES/FY3C occultation and ionosonde[J]. Journal of Navigation and Positioning, 2023, 11(4): 120-129
    [2]
    YASYUKEVICH Y V, ZATOLOKIN D, PADOKHIN A, et al. Klobuchar, NeQuickG, BDGIM, GLONASS, IRI-2016, IRI-2012, IRI-Plas, NeQuick2, and GEMTEC ionospheric models: a comparison in total electron content and positioning domains[J]. Sensors, 2023, 23(10): 4773 doi: 10.3390/s23104773
    [3]
    European Union. New Version of the Galileo Open Service Signal in Space Interface Control Document Now Available[R]. European Union: OS SIS ICD, 2023
    [4]
    LEITINGER R, NAVA B, RADICELLA S. Electron density models for assessment studies - new developments[J]. Acta Geodaetica et Geophysica Hungarica, 2002, 37(2/3): 183-193 doi: 10.1556/AGeod.37.2002.2-3.7
    [5]
    GUO Meijun, XU Longxia, REN Feilong, et al. Analysis of GPS/Galileo ionospheric model accuracy[C]//Academic Exchange Center of China Satellite Navigation System Management Office Proceedings of the 14th China Satellite Navigation Annual Conference——S02 Satellite Navigation System and Enhancement. Xi’an: Xi’an Aerospace Tianhui Data Technology Co, Ltd; National Time Service Center of the Chinese Academy of Sciences, 2024
    [6]
    NIBIGIRA J D D, RATNAM V D, SIVAKRISHNA K. Performance analysis of NeQuick-G, IRI-2016, IRI-Plas 2017 and AfriTEC models over the African region during the geomagnetic storm of March 2015[J]. Geomagnetism and Aeronomy, 2023, 63(1): S83-S98
    [7]
    张震. 多GNSS掩星大气参数和边界层高度反演及质量评估[D]. 济南: 山东大学, 2022

    ZHANG Zhen. Inversion and Quality Evaluation of Atmospheric Parameters and ABLH of Multi GNSS Occultation Mission[D]. Jinan: Shandong University, 2022
    [8]
    张绍成, 虢盛, 郑沈宇, 等. COSMIC-2掩星观测与大气反演廓线质量分析[J]. 武汉大学学报(信息科学版), 2025, 50(3): 497-506

    ZHANG Shaocheng, GUO Sheng, ZHENG Shenyu, et al. Analysis of COSMIC-2 radio occultation observations and atmospheric profiles[J]. Geomatics and Information Science of Wuhan University, 2025, 50(3): 497-506
    [9]
    DEAR R M, MITCHELL C N. Ionospheric imaging at mid-latitudes using both GPS and ionosondes[J]. Journal of Atmospheric and Solar-Terrestrial Physics, 2007, 69(7): 817-825 doi: 10.1016/j.jastp.2006.06.001
    [10]
    MITCHELL C N, SPENCER P S J. A three-dimensional time-dependent algorithm for ionospheric imaging using GPS[J]. Annals of Geophysics, 2010, 46(4): 687-696
    [11]
    YIN P, MITCHELL N C, SPENCER P S J, et al. Ionospheric electron concentration imaging using GPS over the USA during the storm of July 2000[J]. Geophysical Research Letters, 2004, 31(12): L12806
    [12]
    YIN P, MITCHELL C N. Improving the vertical electron density profile in ionospheric imaging at storm time: a case study on 25-27 September 2011[J]. Journal of Geophysical Research Space Physics, 2014, 119(9): 7963-7971 doi: 10.1002/2014JA019899
    [13]
    李施佳, 蔡昌盛, 戴吾蛟, 等. 一种联合利用NeQuick模型和GPS数据的三维电离层重构方法[C]//第五届中国卫星导航学术年会论文集-S1北斗/GNSS导航应用. 南京: 中南大学地球科学与信息物理学院, 国网湖南省电力公司培训中心电力营销培训分部, 2014

    LI Shijia, CAI Changsheng, DAI Wujiao, et al. 3-Dimensional ionosphere reconstruction based on NeQuick model and GNSS data[C]//Proceedings of the 5th China Satellite Navigation Academic Annual Conference - S1 Beidou/GNSS Navigation Applications. Nanjing: School of Geoscience and Info-Physics, Central South Universit, Electric Power Marketing Department of Hunan Electrical Corporation Training Center, 2014
    [14]
    JIN S G, LI D. 3-D ionospheric tomography from dense GNSS observations based on an improved two-step iterative algorithm[J]. Advances in Space Research, 2018, 62(4): 809-820 doi: 10.1016/j.asr.2018.05.032
    [15]
    欧明, 甄卫民, 徐继生, 等. 地基GPS与掩星联合的电离层层析成像方法研究[J]. 全球定位系统, 2014, 39(5): 1-7

    OU Ming, ZHEN Weimin, XU Jisheng, et al. Computerized ionospheric tomography combining with ground-based GPS and radio occultation[J]. GNSS World of China, 2014, 39(5): 1-7
    [16]
    BRUNINI C, AZPILICUETA F, GENDE M, et al. Ground- and space-based GPS data ingestion into the NeQuick model[J]. Journal of Geodesy, 2011, 85(12): 931-939 doi: 10.1007/s00190-011-0452-4
    [17]
    European Commission. European GNSS (Galileo) open service: ionospheric correction algorithm for Galileo single frequency users[EB/OL]. (2015)[2017-09-04] https://m2.cn.bing.com/search?q=European+GNSS+%28Galileo%29+open+service%3A+Ionospheric+correction+algorithm+for+galileo+single+frequency+users+%28issue+1.+2%29&search=&form=QBLH
    [18]
    任丹丹. 基于kriging算法的WAAS电离层延迟估算研究[D]. 天津: 中国民航大学, 2020

    REN Dandan. Research for WAAS Ionospheric Delay Estimation Based on Kriging Algorithm[D]. Tianjin: Civil Aviation University of China, 2020
    [19]
    尹萍, 宁泽浩, 闫晓鹏. 基于BDS/GPS数据的中国及周边地区电离层暴层析成像研究[J]. 电波科学学报, 2022, 37(4): 653-662 doi: 10.12265/j.cjors.2021165

    YIN Ping, NING Zehao, YAN Xiaopeng. Imaging of the ionospheric storm over China and adjacent areas with BDS/GPS data[J]. Chinese Journal of Radio Science, 2022, 37(4): 653-662 doi: 10.12265/j.cjors.2021165
    [20]
    解海永, 宁百齐, 刘立波, 等. 北京地区电离层Chapman标高的统计分析[J]. 地球物理学报, 2014, 57(11): 3523-3531 doi: 10.6038/cjg20141104

    JIE Haiyong, NING Baiqi, LIU Libo, et al. Statistical analysis of the ionospheric Chapman scale height at Beijing[J]. Chinese Journal of Geophysics, 2014, 57(11): 3523-3531 doi: 10.6038/cjg20141104
    [21]
    LIANG Yu, YIN Ping. The use of ionosonde and GPS COSMIC occultation data in ionospheric tomography[C]//Proceedings of the 14th China Satellite Navigation Annual Conference - S01 Satellite Navigation Applications, Beijing: Academic Exchange Center of China Satellite Navigation System Management Office, 2024
    [22]
    王金勇, 陈必焰, 曹恒瑞. 2017-09-07~08磁暴期间全球尺度电离层扰动[J]. 大地测量与地球动力学, 2023, 43(12): 1261-1268

    WANG Jinyong, CHEN Biyan, CAO Hengrui. Global scale ionospheric disturbance during the September 7—8, 2017 geomagnetic storm[J]. Journal of Geodesy and Geodynamics, 2023, 43(12): 1261-1268
    [23]
    明飞雄, 马锦山. 磁暴期间北斗GEO卫星电离层异常研究[J]. 地理空间信息, 2023, 21(8): 100-103 doi: 10.3969/j.issn.1672-4623.2023.08.026

    MING Feixiong, MA Jinshan. Study on ionospheric anomaly during geomagnetic storm by beidou GEO satellites[J]. Geospatial Information, 2023, 21(8): 100-103 doi: 10.3969/j.issn.1672-4623.2023.08.026
    [24]
    尹汇民, 孔建, 安家春, 等. 2017年9月强磁暴及引发的电离层扰动[J]. 地球物理学进展, 2021, 36(1): 96-104 doi: 10.6038/pg2021DD0484

    YIN Huimin, KONG Jian, AN Jiachun, et al. Strong geomagnetic storm and induced ionospheric disturbance in September 2017[J]. Progress in Geophysics, 2021, 36(1): 96-104 doi: 10.6038/pg2021DD0484
  • 加载中

Catalog

    通讯作者: 陈斌, bchen63@163.com
    • 1. 

      沈阳化工大学材料科学与工程学院 沈阳 110142

    1. 本站搜索
    2. 百度学术搜索
    3. 万方数据库搜索
    4. CNKI搜索

    Figures(8)  / Tables(2)

    Article Metrics

    Article Views(366) PDF Downloads(23) Cited by()
    Proportional views
    Related

    /

    DownLoad:  Full-Size Img  PowerPoint
    Return
    Return