Volume 45 Issue 4
Aug.  2025
Turn off MathJax
Article Contents
MO Xingjian, LIANG Wei, ZHAO Xianglei, LEI Xiangxu, ZHAO You. Analysis of COSMOS 1408 Debris Cloud Evolution (in Chinese). Chinese Journal of Space Science, 2025, 45(4): 1038-1046 doi: 10.11728/cjss2025.04.2024-0089
Citation: MO Xingjian, LIANG Wei, ZHAO Xianglei, LEI Xiangxu, ZHAO You. Analysis of COSMOS 1408 Debris Cloud Evolution (in Chinese). Chinese Journal of Space Science, 2025, 45(4): 1038-1046 doi: 10.11728/cjss2025.04.2024-0089

Analysis of COSMOS 1408 Debris Cloud Evolution

doi: 10.11728/cjss2025.04.2024-0089 cstr: 32142.14.cjss.2024-0089
  • Received Date: 2024-07-10
  • Accepted Date: 2025-07-10
  • Rev Recd Date: 2024-12-30
  • Available Online: 2024-12-31
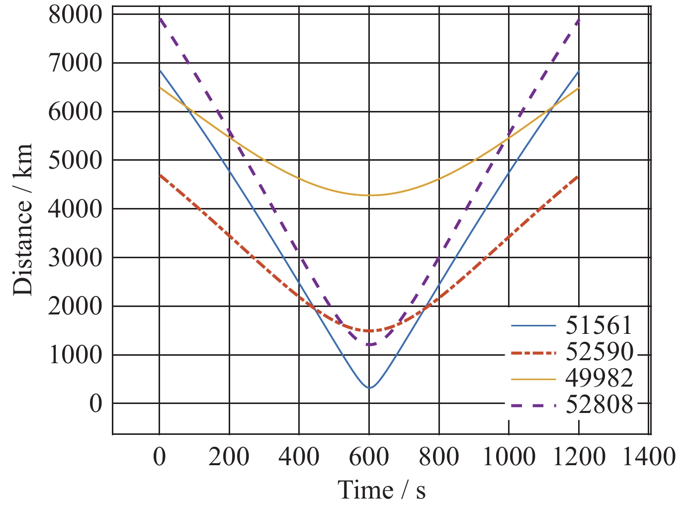
  • The number of spacecrafts in Earth orbit continues to increase, leading to growing density in near-Earth space. Statistics show that existing space debris primarily originates from approximately 640 breakup events. Studying satellite breakup events is crucial for maintaining space environment safety. On 15 November 2021, Russia conducted an anti-satellite test, destroying a defunct satellite — COSMOS 1408. The event generated a debris cloud consisting of approximately 1800 trackable debris distributed across altitudes ranging from 200 km to 1400 km, which disperses and evolves over time, posing threats to Low Earth Orbit (LEO) satellite operations. Based on the Two-Line Element (TLE) data of COSMOS 1408 breakup event debris released by the U.S. Space Surveillance Network (SSN), this paper utilizes the Simplified General Perturbations 4 (SGP4) model to analyze the evolution of the debris cloud. The analysis primarily covers the cataloged quantity and spatiotemporal changes of the debris cloud, variations in main orbital parameters, and the impact of breakup debris on the space environment. Taking the International Space Station’s (ISS) four debris avoidance maneuvers as examples, this study investigates the evolution patterns and resulting impacts, preliminarily reconstructing the evolution process of the COSMOS 1408 anti-satellite event debris cloud and its consequences.

     

  • loading
  • [1]
    TANG Jingshi, CHENG Haowen. The origin, status and future of space debris[J]. Physics, 2021, 50(5): 317-323. DOI: 10.7693/wl20210505 (汤靖师, 程昊文. 空间碎片问题的起源、现状和发展[J]. 物理, 2021, 50(5): 317-323. DOI: 10.7693/wl20210505)
    [2]
    MUCIACCIA A, FACCHINI L, MONTARULI M F, et al. Radar observation and recontruction of Cosmos 1408 fragmentation[J]. Journal of Space Safety Engineering, 2024, 11(1): 143-149 doi: 10.1016/j.jsse.2023.11.006
    [3]
    ANZ-MEADOR P, OPIELA J, LIOU J C. History of on orbit satellite fragmentation, 16th Edition[R]. Houston: Johnson Space Center, 2022
    [4]
    庞宝君, 王东方, 肖伟科, 等. 美国DMSP-F13卫星解体事件对空间碎片环境影响分析[J]. 航天器环境工程, 2015, 32(4): 349-356 doi: 10.3969/j.issn.1673-1379.2015.04.002

    PANG Baojun, WANG Dongfang, XIAO Weike, et al. The influence of US satellite DMSP-F13 breakup event on space debris environment[J]. Spacecraft Environment Engineering, 2015, 32(4): 349-356 doi: 10.3969/j.issn.1673-1379.2015.04.002
    [5]
    刁宁辉, 刘建强, 孙从容, 等. 基于SGP4模型的卫星轨道计算[J]. 遥感信息, 2012, 27(4): 64-70 doi: 10.3969/j.issn.1000-3177.2012.04.011

    DIAO Ninghui, LIU Jianqiang, SUN Congrong, et al. Satellite orbit calculation based on SGP4 model[J]. Remote Sensing Information, 2012, 27(4): 64-70 doi: 10.3969/j.issn.1000-3177.2012.04.011
    [6]
    HE C Y, LI W, HW AD, et al. Thermospheric mass density modelling during geomagnetic quiet and weakly disturbed time[J]. Atmosphere, 2024, 15(1): 72 doi: 10.3390/atmos15010072
    [7]
    龚自正, 赵秋艳, 李明, 等. 空间碎片防护研究前沿问题与展望[J]. 空间碎片研究, 2019, 19(3): 2-13

    GONG Zizheng, ZHAO Qiuyan, LI Ming, et al. The frontier problem and prospect of space debris protection research[J]. Space Debris Research, 2019, 19(3): 2-13
    [8]
    李明, 龚自正, 刘国青. 空间碎片监测移除前沿技术与系统发展[J]. 科学通报, 2018, 63(25): 2570-2591 doi: 10.1360/N972017-00880

    LI Ming, GONG Zizheng, LIU Guoqing. Frontier technology and system development of space debris surveillance and active removal[J]. Chinese Science Bulletin, 2018, 63(25): 2570-2591 doi: 10.1360/N972017-00880
    [9]
    PASTOR A, SIMINSKI J, ESCRIBANO G, et al. Early cataloguing of fragments from break-up events[J]. Advances in Space Research, 2023, 71(10): 4222-4238 doi: 10.1016/j.asr.2023.02.016
    [10]
    PALMER C. Russian anti-satellite test spotlights space debris danger[J]. Engineering, 2022, 12(5): 3-5
    [11]
    NASA International space station maneuvers to avoid Russian ASAT fragment[J]. Orbital Debris Quarterly News, 2022, 26(3): 2-4
    [12]
    OLIVIERI L, GIACOMUZZO C, LOPRESTI S, et al. Simulation of in-space fragmentation events[J]. Aerotecnica Missili :Times New Roman;">& Spazio, 2024, 103(3): 225-232
    [13]
    LIU Y Y, CHI R Q, HU D Q, et al. The consequences of Cosmos 1408 breakup: the optimization of the breakup model and the influence of debris clouds[J]. Acta Astronautica, 2023, 206: 156-167 doi: 10.1016/j.actaastro.2023.02.023
    [14]
    赵广宇, 桑吉章, 陈俊宇, 等. 利用稀疏角度数据改进空间目标TLE轨道预报精度[J]. 测绘地理信息, 2021, 46(S1): 301-304 doi: 10.14188/j.2095-6045.2019214

    ZHAO Guangyu, SANG Jizhang, CHEN Junyu, et al. Improving the orbit prediction accuracy for NORAD objects using sparse angles data[J]. Journal of Geomatics, 2021, 46(S1): 301-304 doi: 10.14188/j.2095-6045.2019214
    [15]
    WANG R L, FENG S, YANG X H, et al. Breakup analysis of Cosmos 1408 satellite[J]. Journal of Space Safety Engineering, 2024, 11(2): 335-341 doi: 10.1016/j.jsse.2024.02.003
    [16]
    NASA. International space station maneuvers to avoid another Russian ASAT fragment[J]. Orbital Debris Quarterly News, 2022, 26(4): 2-8
    [17]
    NASA. ISS maneuvers twice in a week’s span to avoid potential collisions[J]. Orbital Debris Quarterly News, 2023, 27(2): 2-8
    [18]
    NASA. ISS maneuvers to avoid potential collisions twice in August 2023[J]. Orbital Debris Quarterly News, 2023, 27(4): 1-2
  • 加载中

Catalog

    通讯作者: 陈斌, bchen63@163.com
    • 1. 

      沈阳化工大学材料科学与工程学院 沈阳 110142

    1. 本站搜索
    2. 百度学术搜索
    3. 万方数据库搜索
    4. CNKI搜索

    Figures(9)  / Tables(4)

    Article Metrics

    Article Views(601) PDF Downloads(35) Cited by()
    Proportional views
    Related

    /

    DownLoad:  Full-Size Img  PowerPoint
    Return
    Return