Volume 45 Issue 5
Oct.  2025
Turn off MathJax
Article Contents
SHEN Fang, LIAN Wanyi, TAO Xinyi. Progress in Simulations of Solar Energetic Particles Propagation in Large-scale Structures of Interplanetary Background Solar Wind (in Chinese). Chinese Journal of Space Science, 2025, 45(5): 1163-1187 doi: 10.11728/cjss2025.05.2025-yg05
Citation: SHEN Fang, LIAN Wanyi, TAO Xinyi. Progress in Simulations of Solar Energetic Particles Propagation in Large-scale Structures of Interplanetary Background Solar Wind (in Chinese). Chinese Journal of Space Science, 2025, 45(5): 1163-1187 doi: 10.11728/cjss2025.05.2025-yg05

Progress in Simulations of Solar Energetic Particles Propagation in Large-scale Structures of Interplanetary Background Solar Wind

doi: 10.11728/cjss2025.05.2025-yg05 cstr: 32142.14.cjss.2025-yg05
  • Received Date: 2025-05-14
  • Rev Recd Date: 2025-08-20
  • Available Online: 2025-08-21
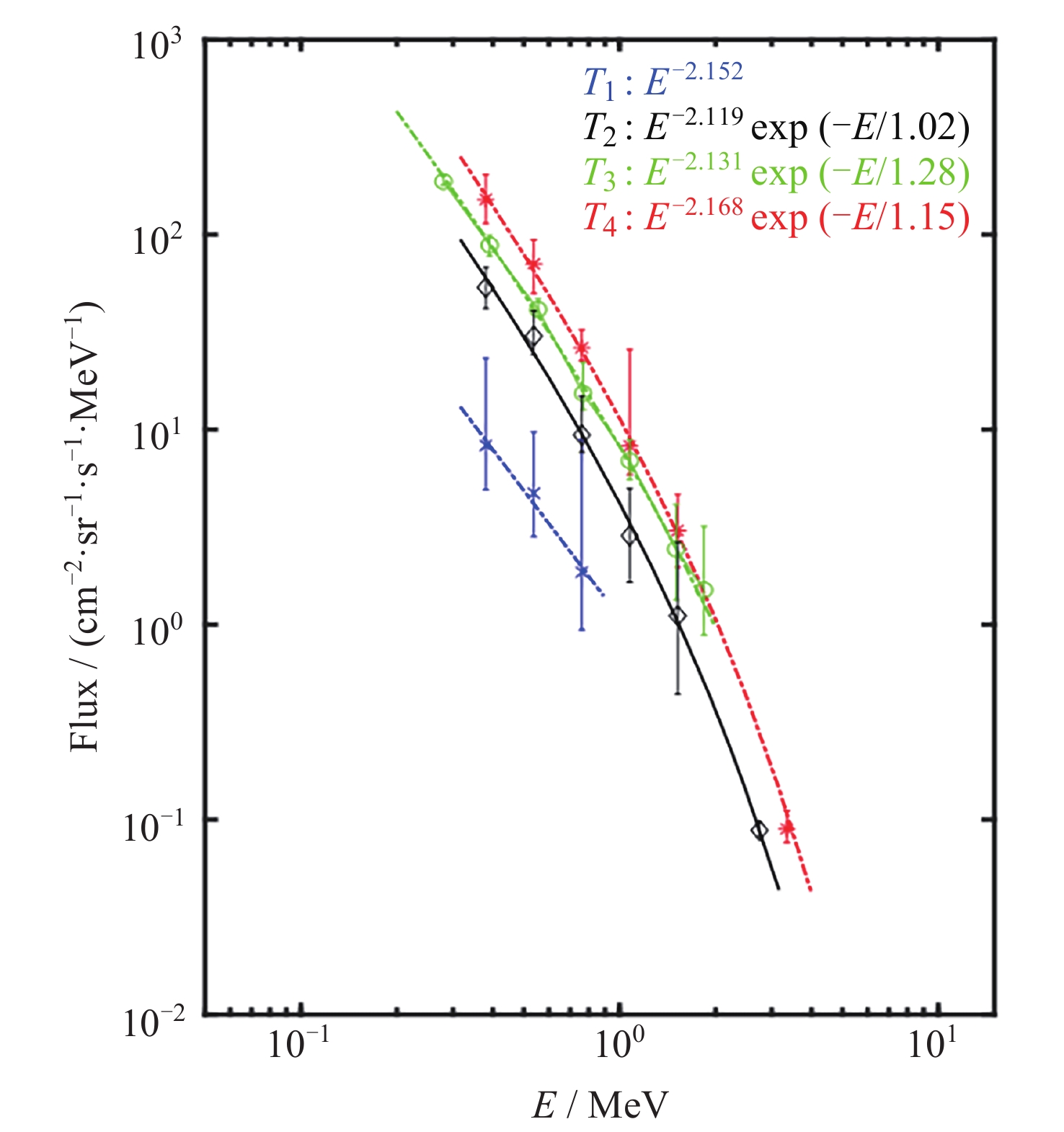
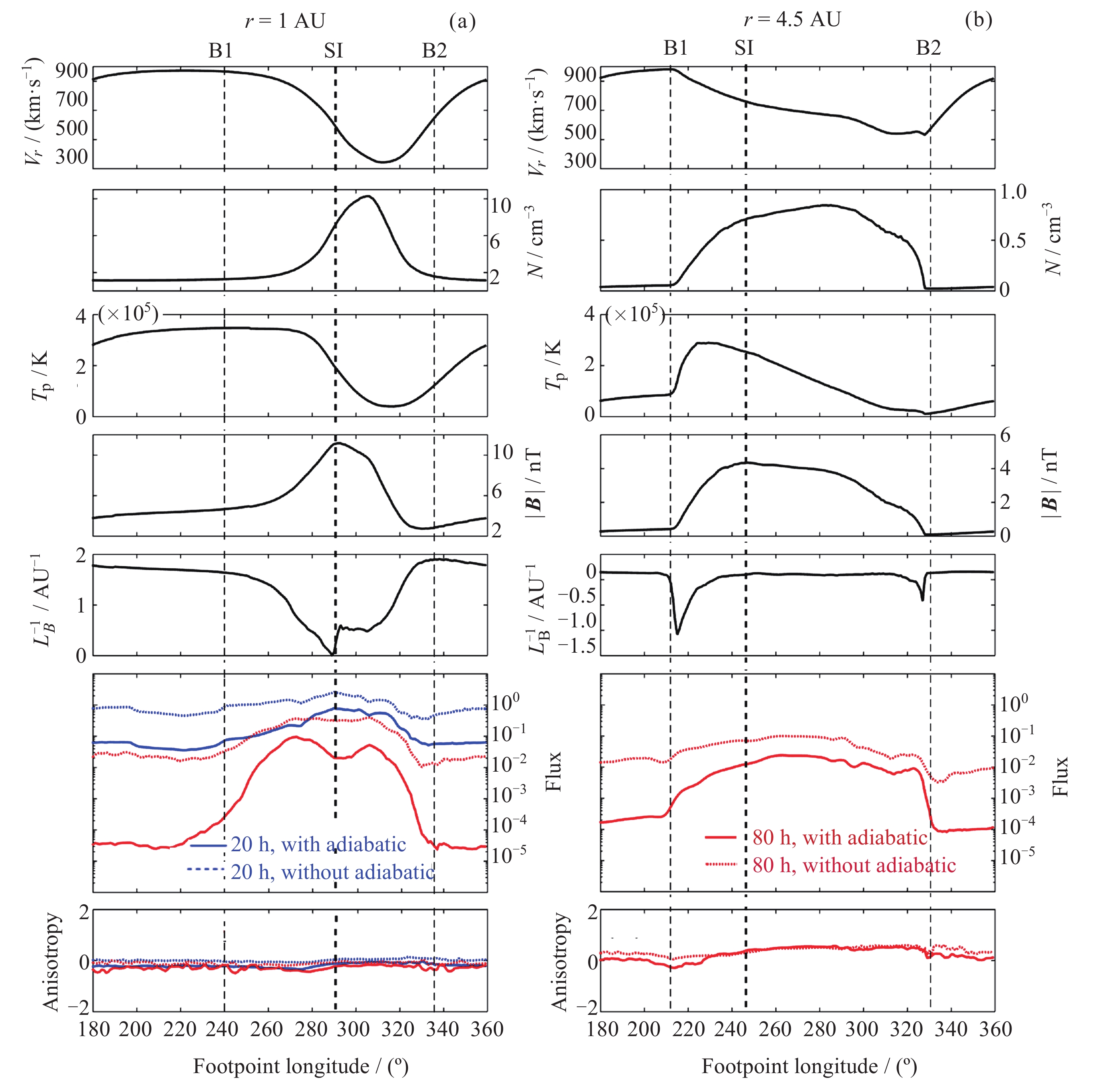
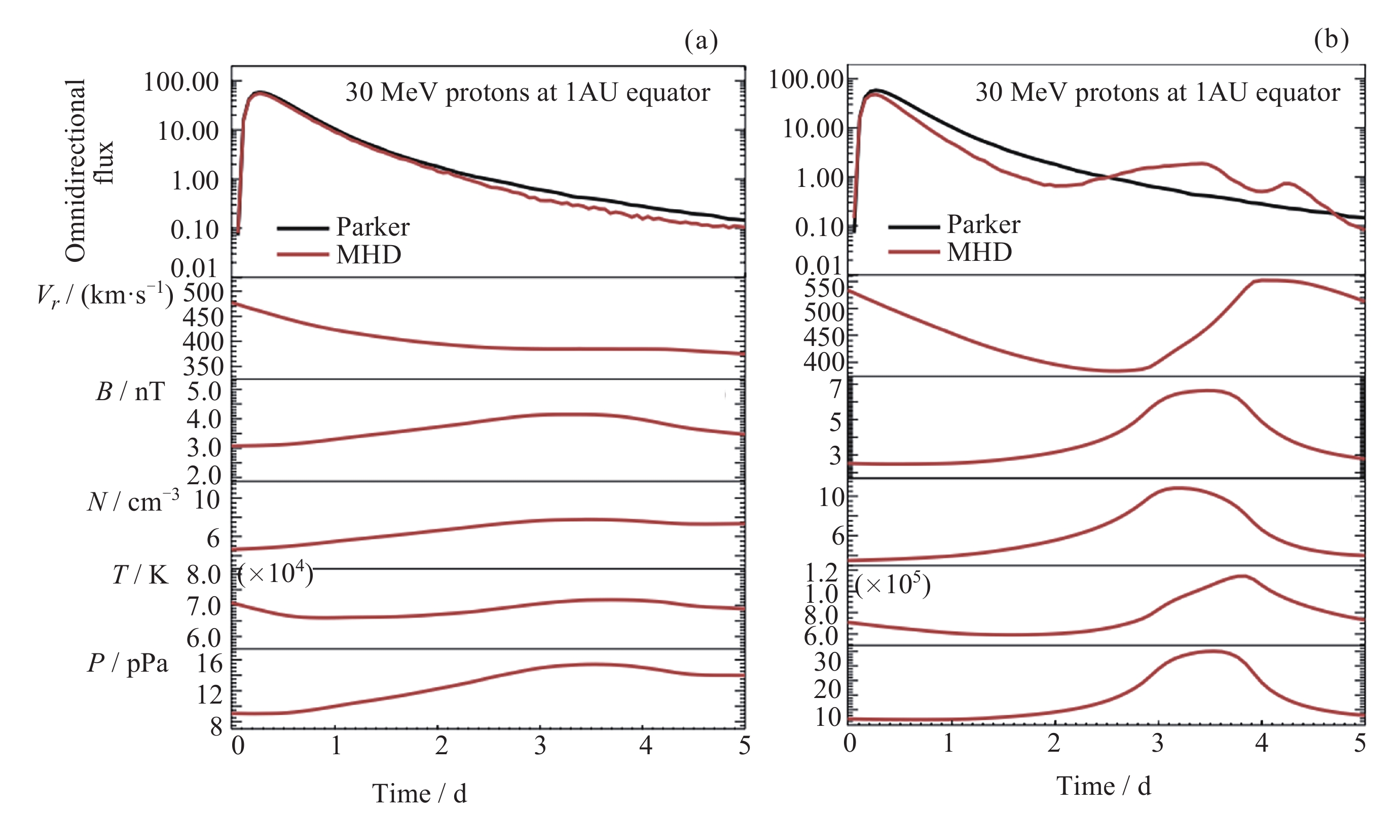
  • This comprehensive review synthesizes pivotal advances in simulating Solar Energetic Particle (SEP) propagation through large-scale solar wind structures, integrating three complementary methodologies: analytical Parker-like magnetic fields for steady-state backgrounds, data-driven frameworks assimilating multi-satellite observations (STEREO, WIND) to reconstruct 2D Stream Interaction Regions (SIRs), and 3D Magnetohydrodynamic (MHD) simulations resolving tilted-dipole Corotating Interaction Regions (CIRs) with about 35° inclinations. The work quantifies how solar wind topology governs SEP dynamics, revealing that magnetic focusing dominates flux enhancements in compression zones by trapping particles in mirror-like structures, enabling multi-reflection acceleration without shocks and amplifying peak fluxes by up to 200% in simulated CIRs, while adiabatic cooling primarily drives flux decay in fast solar wind streams, with pitch-angle diffusion modulating intensity levels without altering temporal profiles. Critically, vertical diffusion reconciles multi-satellite discrepancies through cross-field transport, smoothing flux evolution as validated in the 2016 STA event (simulations matched observations within 10% error when α = 0.018~0.025), and CIR geometry — controlled by solar wind speed contrasts (ΔV>500 km·s–1 widening compression regions), dipole tilt angles optimizing latitudinal spread, and fast-stream widths modulating longitudinal confinement — dictates acceleration efficiency, where reverse compressions accelerate 0.5~5 MeV protons twice as effectively as forward zones due to steeper magnetic gradients. Event validations confirm these mechanisms: STEREO-A’s August 2016 CIR showed magnetic trapping explained 95% of flux rise, and STEREO-B’s September 2007 anomalous proton enhancement arose from shorter magnetic pathlengths to compression sources. Computationally, the framework synergizes focused transport equations with Stochastic Differential Equations (SDEs), where backward SDEs efficiently map observational points to source distributions and forward SDEs visualize system-wide transport, achieving a 100-fold acceleration over finite-difference methods. Future work targets transient structures (e.g., embedding CME-driven shocks via EUHFORIA/iPATH coupling) and kinetic-scale turbulence, with next-phase efforts developing unified acceleration-transport models incorporating stochastic re-acceleration, leveraging Parker Solar Probe and Solar Orbiter data to resolve magnetic islands/current sheets, and deploying machine learning to optimize background parameterization for real-time space weather forecasting.

     

  • loading
  • [1]
    FORBUSH S E. Three unusual cosmic-ray increases possibly due to charged particles from the sun[J]. Physical Review, 1946, 70(9-10): 771-772 doi: 10.1103/PhysRev.70.771
    [2]
    NEWKIRK G , WENTZEL D G. Rigidity-independent propagation of cosmic rays in the solar corona[J]. Journal of Geophysical Research Atmospheres, 1978, 83(A5): 2009-2015
    [3]
    KAHLER S W, SHEELEY N R, HOWARD R A, et al. Associations between coronal mass ejections and solar energetic proton events[J]. Journal of Geophysical Research. Biogeosciences, 1984, 89(A11): 9683-9693 doi: 10.1029/JA089iA11p09683
    [4]
    MASON G M, GLOECKLER G, HOVESTADT D. Temporal variations of nucleonic abundances in solar flare energetic particle events. II-Evidence for large-scale shock acceleration[J]. The Astrophysical Journal, 1984, 280: 902-916 doi: 10.1086/162066
    [5]
    WIJSEN N, ARAN A, SCOLINI C, et al. Observation-based modelling of the energetic storm particle event of 14 July 2012[J]. Astronomy :Times New Roman;">& Astrophysics, 2022, 659: A187
    [6]
    WIJSEN N, ANGELS A, POMOELL J, et al. Modelling three-dimensional transport of solar energetic protons in a corotating interaction region generated with EUHFORIA[J]. Astronomy :Times New Roman;">& Astrophysics, 2019, 622: A28
    [7]
    DING Z , LI G, MASON G, et al. Modelling two energetic storm particle events observed by Solar Orbiter using the combined EUHFORIA and iPATH models[J]. Astronomy :Times New Roman;">& Astrophysics, 2024, 681: A92
    [8]
    PARKER E N. Dynamics of the interplanetary gas and magnetic fields[J]. The Astrophysical Journal, 1958, 128: 664-676 doi: 10.1086/146579
    [9]
    WEI Wenwen, SHEN Fang, ZUO Pingbing, et al. Effects of the solar wind background field on the numerical simulation of the Solar Energetic Particle (SEP) transportation[J]. Chinese Journal of Geophysics, 2016, 59(3): 767-777 (魏稳稳, 沈芳, 左平兵, 等. 太阳高能粒子(SEP)传播数值模拟中的太阳风背景场研究[J]. 地球物理学报, 2016, 59(3): 767-777

    WEI Wenwen, SHEN Fang, ZUO Pingbing, et al. Effects of the solar wind background field on the numerical simulation of the Solar Energetic Particle (SEP) transportation[J]. Chinese Journal of Geophysics, 2016, 59(3): 767-777
    [10]
    ZHANG M, QIN G, RASSOUL H. Propagation of solar energetic particles in three-dimensional interplanetary magnetic fields[J]. The Astrophysical Journal, 2009, 692(1): 109-132 doi: 10.1088/0004-637X/692/1/109
    [11]
    FLORENS M S L, CAIRNS I H, KNOCK S A, et al. Data-driven solar wind model and prediction of type II bursts[J]. Geophysical Research Letters, 2007, 34(4): 545-559
    [12]
    TAO X Y, SHEN F, WEI W W, et al. Modeling energetic proton transport in a corotating interaction region: an energetic particle event observed by STEREO-A from 21 to 24 August 2016[J]. Astronomy :Times New Roman;">& Astrophysics, 2024, 682: A82
    [13]
    TAO X Y, SHEN F, LUO X. Modeling energetic proton transport from a stream interaction region to compound streams[J]. The Astrophysical Journal, 2025, 978(2): 143 doi: 10.3847/1538-4357/ad96ae
    [14]
    CRANMER S R. New views of the solar wind with the Lambert W function[J]. American Journal of Physics, 2004, 72(11): 1397-1403 doi: 10.1119/1.1775242
    [15]
    YANG Zicai, SHEN Fang, YANG Yi, et al. Three-dimensional MHD simulation of interplanetary solar wind[J]. Chinese Journal of Geophysics, 2018, 61(11): 4337-4347 (杨子才, 沈芳, 杨易, 等. 行星际背景太阳风的三维MHD数值模拟[J]. 地球物理学报, 2018, 61(11): 4337-4347

    YANG Zicai, SHEN Fang, YANG Yi, et al. Three-dimensional MHD simulation of interplanetary solar wind[J]. Chinese Journal of Geophysics, 2018, 61(11): 4337-4347
    [16]
    WEI W W, SHEN F, YANG Z C, et al. Modeling solar energetic particle transport in 3D background solar wind: influences of the compression regions[J]. Journal of Atmospheric and Solar-Terrestrial Physics, 2019, 182: 155-164 doi: 10.1016/j.jastp.2018.11.012
    [17]
    SHEN F, FENG X S, WANG Y M, et al. Three-dimensional MHD simulation of two coronal mass ejections’ propagation and interaction using a successive magnetized plasma blobs model[J]. Journal of Geophysical Research: Space Physics, 2011, 116(A9): A09103
    [18]
    SHEN F, FENG X S, WU S T, et al. Three-dimensional MHD simulation of CMEs in three-dimensional background solar wind with the self-consistent structure on the source surface as input: numerical simulation of the January 1997 Sun-Earth connection event[J]. Journal of Geophysical Research: Space Physics, 2007, 112(A6): A06109
    [19]
    FENG X S, ZHANG M, ZHOU Y F. A new three-dimensional solar wind model in spherical coordinates with a six-component grid[J]. The Astrophysical Journal Supplement Series, 2014, 214(1): 6 doi: 10.1088/0067-0049/214/1/6
    [20]
    ZHU Y J, SHEN F, LUO X, et al. Solar energetic particles intensity variations associated with a tilted-dipole 3D corotating interaction region[J]. Earth and Planetary Physics, 2024, 8(5): 797-810 doi: 10.26464/epp2024049
    [21]
    Zhu Yuji. Numerical Simulations of Interplanetary Propagation of Solar Energetic Particles with Large-Scale Background Structures[D]. Beijing: University of Chinese Academy of Sciences, 2024 (朱雨及. 行星际大尺度背景结构下太阳高能粒子传播过程的数值模拟研究[D]. 北京: 中国科学院大学, 2024

    Zhu Yuji. Numerical Simulations of Interplanetary Propagation of Solar Energetic Particles with Large-Scale Background Structures[D]. Beijing: University of Chinese Academy of Sciences, 2024
    [22]
    ZHU Y J, SHEN F. Solar energetic particles propagation under 3D corotating interaction regions with different characteristic parameters[J]. Universe, 2024, 10(8): 315 doi: 10.3390/universe10080315
    [23]
    GIACALONE J, JOKIPII J R, KÓTA J. Particle acceleration in solar wind compression regions[J]. The Astrophysical Journal, 2002, 573(2): 845-850 doi: 10.1086/340660
    [24]
    KOCHAROV L, KOVALTSOV G A, TORSTI J, et al. Modeling the propagation of solar energetic particles in corotating compression regions of solar wind[J]. Journal of Geophysical Research: Space Physics, 2003, 108(A11): 1404
    [25]
    JIAN L, RUSSELL C T, LUHMANN J G, et al. Properties of interplanetary coronal mass ejections at one AU during 1995-2004[J]. Solar Physics, 2006, 239(1/2): 393-436
    [26]
    JIAN L K, RUSSELL C T, LUHMANN J G, et al. Stream interactions and interplanetary coronal mass ejections at 0.72 AU[J]. Solar Physics, 2008, 249(1): 85-101 doi: 10.1007/s11207-008-9161-4
    [27]
    JIAN L K, LUHMANN J G, RUSSELL C T, et al. Solar TErrestrial RElations Observatory (STEREO) observations of stream interaction regions in 2007-2016: relationship with heliospheric current sheets, solar cycle variations, and dual observations[J]. Solar Physics, 2019, 294(3): 31 doi: 10.1007/s11207-019-1416-8
    [28]
    LI G, ZANK G P, RICE W K M. Acceleration and transport of heavy ions at coronal mass ejection-driven shocks[J]. Journal of Geophysical Research: Space Physics, 2005, 110(A6): A010600
    [29]
    ZHAO L L, ZHANG M, LARIO D. Modeling the transport processes of a pair of solar energetic particle events observed by parker solar probe near perihelion[J]. The Astrophysical Journal, 2020, 898(1): 16 doi: 10.3847/1538-4357/ab97b3
    [30]
    NIEMELA A, WIJSEN N, ARAN A, et al. Advancing interplanetary magnetohydrodynamic models through solar energetic particle modelling[J]. Astronomy :Times New Roman;">& Astrophysics, 2023, 679(000): 21
    [31]
    SCHWADRON N A, JOYCE C J, ALY A, et al. A new view of energetic particles from stream interaction regions observed by Parker Solar Probe[J]. Astronomy :Times New Roman;">& Astrophysics, 2021, 650(000): 14
    [32]
    WEI Wenwen. Effects of the Solar Wind Background on the Numerical Simulation of the Solar Energetic Particle (SEP) Transportation[D]. Beijing: University of Chinese Academy of Sciences (National Space Science Center, Chinese Academy of Sciences), 2018 (魏稳稳. 太阳高能粒子(SEP)传播数值模拟中的太阳风背景场研究[D]. 北京: 中国科学院大学(中国科学院国家空间科学中心), 2018

    WEI Wenwen. Effects of the Solar Wind Background on the Numerical Simulation of the Solar Energetic Particle (SEP) Transportation[D]. Beijing: University of Chinese Academy of Sciences (National Space Science Center, Chinese Academy of Sciences), 2018
    [33]
    REID G C. A diffusive model for the initial phase of a solar proton event[J]. Journal of Geophysical Research Atmospheres, 1964, 69(13): 2659-2667 doi: 10.1029/JZ069i013p02659
    [34]
    KLASSEN A, DRESING N, GÓMEZ-HERRERO R, et al. Unexpected spatial intensity distributions and onset timing of solar electron events observed by closely spaced STEREO spacecraft[J]. Astronomy :Times New Roman;">& Astrophysics, 2016, 593: A31
  • 加载中

Catalog

    通讯作者: 陈斌, bchen63@163.com
    • 1. 

      沈阳化工大学材料科学与工程学院 沈阳 110142

    1. 本站搜索
    2. 百度学术搜索
    3. 万方数据库搜索
    4. CNKI搜索

    Figures(16)

    Article Metrics

    Article Views(951) PDF Downloads(68) Cited by()
    Proportional views
    Related

    /

    DownLoad:  Full-Size Img  PowerPoint
    Return
    Return