Volume 45 Issue 6
Dec.  2025
Turn off MathJax
Article Contents
WANG Jingxing, LIN Jun, KANG Kaifeng, LI Yan, SONG Tengfei, XU Fangyu, LIU Dayang. Design Scheme and Verification of the Thermal Control System for Balloon-borne Coronagraph in Near Space (in Chinese). Chinese Journal of Space Science, 2025, 45(6): 1471-1481 doi: 10.11728/cjss2025.06.2025-0047
Citation: WANG Jingxing, LIN Jun, KANG Kaifeng, LI Yan, SONG Tengfei, XU Fangyu, LIU Dayang. Design Scheme and Verification of the Thermal Control System for Balloon-borne Coronagraph in Near Space (in Chinese). Chinese Journal of Space Science, 2025, 45(6): 1471-1481 doi: 10.11728/cjss2025.06.2025-0047

Design Scheme and Verification of the Thermal Control System for Balloon-borne Coronagraph in Near Space

doi: 10.11728/cjss2025.06.2025-0047 cstr: 32142.14.cjss.2025-0047
  • Received Date: 2025-04-01
  • Rev Recd Date: 2025-08-29
  • Available Online: 2025-09-01
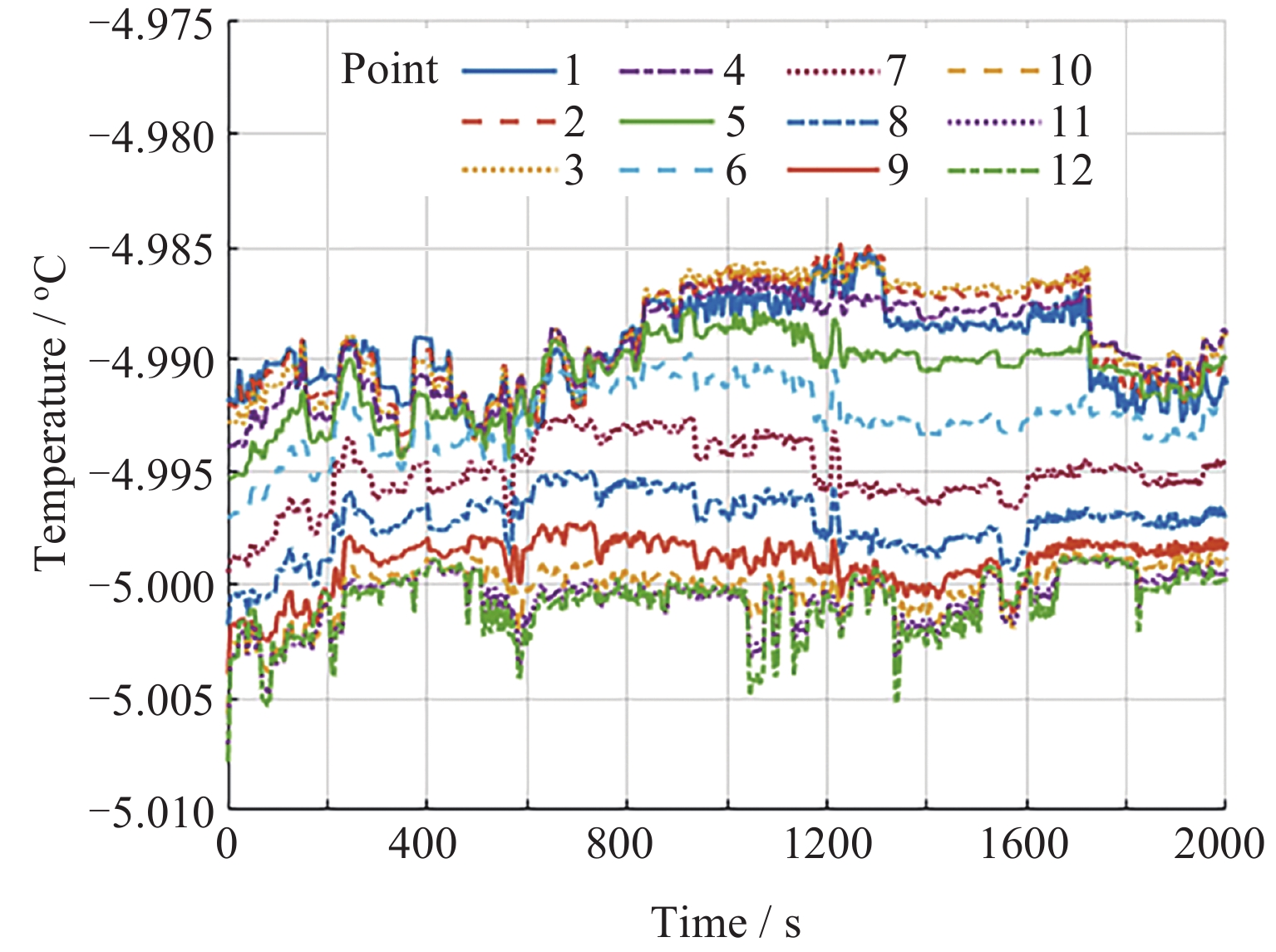
  • The optical system of the balloon-borne coronagraph typically adopts a small focal ratio design, leading to a slender tube structure that is highly sensitive to fluctuations in ambient temperature. To ensure stable operation under the low-temperature and low-pressure conditions of near-space, this study developed a high-precision thermal control system. The system comprises 12 sets of independently regulated temperature control units, utilizing thermistors as sensors, along with thin-film heaters and a PID control algorithm, to accurately maintain the mirror tube temperature within (–5±3)℃. By exploiting the differential thermal contraction properties between aluminum alloy and optical materials, the system effectively eliminates structural gaps and mitigates thermal deformation, while an active focusing mechanism compensates for focal shift caused by temperature variations. Through systematic analysis of the structural characteristics of the coronagraph and its operating environment, a heat transfer model specific to near-space conditions was established, identifying the key factors influencing the system temperature, and then a thermal control scheme combining multi-layer insulation and active heating was proposed. On 4 October 2022, a successful flight experiment was conducted in Da Qaidam, Qinghai Province, where the system operated at an altitude of 30 km, acquiring valuable observational data. The recovered data indicates that the temperature control system operates stably, with the temperature fluctuation of the coronagraph tube controlled within the design range. This effectively ensures the normal of the coronagraph in extreme environments, and provides an important technical reference for future similar missions.

     

  • loading
  • [1]
    LIU Yanxiao, SONG Tengfei, ZHANG Tao, et al. An overview of the European balloon-borne solar telescope SUNRISE and its related research results[J]. Research in Astronomy and Astrophysics, 2021, 18(3): 314-336 (刘艳霄, 宋腾飞, 张涛, 等. 欧洲球载太阳望远镜SUNRISE及其相关研究成果简介[J]. 天文研究与技术, 2021, 18(3): 314-336

    LIU Yanxiao, SONG Tengfei, ZHANG Tao, et al. An overview of the European balloon-borne solar telescope SUNRISE and its related research results[J]. Research in Astronomy and Astrophysics, 2021, 18(3): 314-336
    [2]
    LIN Jun, SONG Tengfei, SUN Mingzhe, et al. 50mm white-light coronagraph: I. Basic structure and ground observation experiments[J]. Science China: Physics, Mechanics & Astronomy, 2023, 53(5): 150-176 (林隽, 宋腾飞, 孙明哲, 等. 50 mm白光球载日冕仪: I. 基本结构与地面观测实验[J]. 中国科学: 物理学、力学、天文学, 2023, 53(5): 150-176

    LIN Jun, SONG Tengfei, SUN Mingzhe, et al. 50mm white-light coronagraph: I. Basic structure and ground observation experiments[J]. Science China: Physics, Mechanics & Astronomy, 2023, 53(5): 150-176
    [3]
    DEVORKIN D H. When to send your telescope aloft[J]. Journal for the History of Astronomy, 2019, 50(3): 265-305 doi: 10.1177/0021828619864723
    [4]
    CHO Y H, HEUNG G, BOBROV Y, et al. SunbYte: an autonomous pointing framework for low-cost robotic solar telescopes on high altitude balloons[J]. Experimental Astronomy, 2024, 57(3): 27 doi: 10.1007/s10686-024-09944-w
    [5]
    GRAHAM L A. Thermal-Mechanical Design of the Balloon-Borne Aerosol Limb Imager[D]. Saskatoon: University of Saskatchewan, 2022
    [6]
    SOLER J D, ADE P R, ANGILE F E, et al. Thermal design and performance of the balloon-borne large aperture submillimeter telescope for polarimetry BLASTPol[C]//Ground-based and Airborne Telescopes V: Vol. 9145. Denver: SPIE, 2014: 1191-1208
    [7]
    SOLER J D, ADE P A R, AMIRI M, et al. Design and construction of a carbon fiber gondola for the SPIDER balloon-borne telescope[C]//Ground-based and Airborne Telescopes V: Vol. 9145. Denver: SPIE, 2014: 281-296
    [8]
    LI Dapeng. Thermal control system designed for stratospheric airship communication system gondola[J]. Cryogenics :Times New Roman;">& Superconductivity, 2011, 39(5): 78-80 (李大鹏. 平流层飞艇通信系统吊舱热控设计[J]. 低温与超导, 2011, 39(5): 78-80

    LI Dapeng. Thermal control system designed for stratospheric airship communication system gondola[J]. Cryogenics & Superconductivity, 2011, 39(5): 78-80
    [9]
    LIU W Y, DING Y L, WU Q W, et al. Thermal analysis and design of the aerial camera’s primary optical system components[J]. Applied Thermal Engineering, 2012, 38: 40-47 doi: 10.1016/j.applthermaleng.2012.01.015
    [10]
    O’CONNOR B. Thermal control of the balloon-borne HEROES telescope[C]//43rd International Conference on Environmental Systems. Vail: AIAA, 2013: M13-2779
    [11]
    SOLANKI S K, RIETHMÜLLER T L, BARTHOL P, et al. The second flight of the SUNRISE balloon-borne solar observatory: overview of instrument updates, the flight, the data, and first results[J]. Astrophysical Journal Supplement, 2017, 229(1): 2 doi: 10.3847/1538-4365/229/1/2
    [12]
    JEONG S, CHOI Y, LIM E K, et al. Toward a next generation solar coronagraph: development of a compact coronagraph on ISS[J]. Journal of the Korean Astronomical Society, 2024, 57(1): 1-10
    [13]
    SHENG Z, LI J W, JIANG Y, et al. Characteristics of stratospheric winds over Jiuquan (41.1 N, 100.2 E) using rocketsonde data in 1967–2004[J]. Journal of Atmospheric and Oceanic Technology, 2017, 34(3): 657-667 doi: 10.1175/JTECH-D-16-0014.1
    [14]
    LE V T, GOO N S, KIM J Y. Experimental investigation on thermal contact resistance of alumina fibrous insulation material with Ti-6Al-4V alloy at high temperature and its effective thermal conductivity[J]. Heat and Mass Transfer, 2019, 55(6): 1705-1721 doi: 10.1007/s00231-018-02551-4
  • 加载中

Catalog

    通讯作者: 陈斌, bchen63@163.com
    • 1. 

      沈阳化工大学材料科学与工程学院 沈阳 110142

    1. 本站搜索
    2. 百度学术搜索
    3. 万方数据库搜索
    4. CNKI搜索

    Figures(11)  / Tables(3)

    Article Metrics

    Article Views(1138) PDF Downloads(25) Cited by()
    Proportional views
    Related

    /

    DownLoad:  Full-Size Img  PowerPoint
    Return
    Return