Current Issue

2025 Vol. 45, No. 6

Space Physics
Comparison of Geomagnetic Models with Different Spatio-temporal Resolutions and Measured Data from Geomagnetic Stations
XU Yue, YANG Yanyan, WANG Jie, ZEREN Zhima
2025, 45(6): 1425-1438. doi: 10.11728/cjss2025.06.2025-0001
Abstract:
This study focuses on four INTERMAGNET geomagnetic stations located in the Arctic region and the South Atlantic Anomaly regions, where rapid geomagnetic changes have been observed in recent years. Utilizing two global geomagnetic field models with different spatial and temporal resolutions, the International Geomagnetic Reference Field (IGRF) model and the Swarm model, a multi-field source model that offers the highest spatiotemporal resolution currently available in China. The influence of model spatial resolution and update cycles on observatory measurements is quantitatively assessed. The findings are as follows. In regions without significant lithospheric magnetic anomalies, the IGRF and Swarm models yield relatively consistent results. However, for regions with more prominent lithospheric magnetic anomalies, the Swarm model with higher spatial resolution provides better agreement with the measurements. While the IGRF model showed significant temporal drift (often exceeding 100 nT) against station measurements during its five-year non-update period (from 2016 to 2020), the Swarm model exhibited no such drift. The magnitude of the IGRF drift varied regionally, reflecting the heterogeneity of global geomagnetic field variations. These results highlight the need to shorten the update interval for core field models during periods of rapid geomagnetic change. Statistical analysis from 120 global INTERMAGNET (International Real-time Magnetic Observatory Network) stations further confirms that, within the IGRF’s five-year update cycle, the Swarm model exhibits smaller mean and median absolute deviation compared to the IGRF model. The higher spatiotemporal resolution of the Swarm model yields results that are more consistent with observations and thus offers a more accurate representation of the geomagnetic field. This study provides a valuable basis and reference for the application of global geomagnetic models.
A Multiplicative Model with Frequency-domain Features Superimposed on Time-domain Mutations for Predicting Ionospheric TEC Methods
WANG Shuai, QUAN Lin, WANG Kunpeng, LI Ling, YUAN Gang, KANG Lihua
2025, 45(6): 1439-1450. doi: 10.11728/cjss2025.06.2024-0123
Abstract:
Total Electronic Content (TEC) is an important characteristic parameter of the ionosphere, which has a great influence on the navigation error correction and other applications, but the current ionospheric TEC prediction accuracy cannot fully meet the demand, and there are deficiencies in the accuracy and lead time. The paper focuses on the needs of regional ionospheric TEC forecasting, comprehensively considers the characteristics of ionospheric TEC in both frequency and time domains, analyzes the ionospheric TEC changes in multiple cycle lengths in the frequency domain according to the characteristics of trend, periodicity, and suddenness of the changes in the ionospheric TEC affected by solar activities, considers the suddenness of the geomagnetic storms and other factors on the ionospheric TEC in the time domain, and considers the Dst index and latitude/longitude as the input parameters for forecasting. Forecast input parameters, and train the specificity of the magnetosphere-ionosphere coupling in each region. The experimental results show that the Root Mean Square Error (RMSE) of the proposed method is better than 1.262 Total Electronic Content Unit (TECU) in the middle latitude region during the geomagnetic lull period. The RMSE of 1-day forecast value is better than 1.094 TECU, and the RMSE of 7-day forecast value is better than 2.771 TECU during high solar activity years. The RMSE of the 7-day forecast value is better than 4.186 TECU and the RMSE of the 1-day forecast value is better than 4.115 TECU during the geomagnetic active period. In this paper, a prediction model with a 7-day lead is established, and the method shows good performance in forecasting accuracy and timeliness.
EIA Latitude Offset Phenomenon in Winter and Its Impact Mechanism around 120°E Longitude during 1998-2020
HUANG Linfeng, WANG Jinsong, SONG Shanhai, YANG Shijin, LIAO Yao
2025, 45(6): 1451-1459. doi: 10.11728/cjss2025.06.2024-0136
Abstract:
Based on the Total Electron Content (TEC), F2 layer critical frequency (f0F2), and peak height (hmF2) data provided by the institute of IZMIRAN of the Russian Academy of Sciences from 1998 to 2020, this study analyzes the morphological features of the hemispheric asymmetry and latitude offset phenomenon of the Equatorial Ionization Anomaly (EIA) over 120°E during geomagnetically quiet periods, especially during low solar activity, and explores the possible influencing mechanisms. The results showed that the hemispherical asymmetry features of EIA structure that vary with solar activity are significantly different during the summer and winter solstice. The asymmetry exhibits a significant correlation with the solar activity during winter solstice. However, there is a weak negative correlation during the summer solstice. The latitude position of EIA structure moves southward in winter months and the latitude deviation of southern anomaly crest is more significant, especially during the low solar activity. During the winter solstice over 120°E, trans-equatorial neutral winds are the main factor affecting the hemispheric asymmetry of EIA peak intensities. Excluding the influences of geomagnetic activity and magnetic declination, the primary factor for the latitude shifts of the EIA double-peak structure in winter may be related to the geographic control effect of the plasma density background field around the subsolar point. At where, photo-ionization can produce more electrons, and the effect may plays an important role in Southward offset phenomenon of EIA structure in winter around 120°E longitude. Meanwhile, the impact of the geographic control influence still requires further research and validation through theoretical models and simulation studies. These findings provide new insights into the complex behaviors of the EIA under varying solar conditions, highlighting the significant role of subsolar point positioning in modulating ionospheric EIA structures.
Calibration of Thermospheric Atmospheric Density Empirical Model Based on SegRNN
CAO Qingpeng, HUANG Liupeng, WEI Chunbo, GU Defeng
2025, 45(6): 1460-1470. doi: 10.11728/cjss2025.06.2024-0179
Abstract:
Atmospheric drag is the largest non-gravitational perturbation experienced by low-orbit satellites, and the main source of error in calculating atmospheric drag stems from inaccuracies in the empirical models of thermospheric density. Currently, these empirical models generally exhibit errors exceeding 30%. To enhance the prediction accuracy of these models, a calibration method for thermospheric density empirical models based on Segment Recurrent Neural Network (SegRNN) is proposed. This method employs the segmentation and parallelism strategies of SegRNN for model training and inference, mitigating the issues of error accumulation and gradient instability that arise from excessive iterations in traditional RNN. By analyzing the relationship between atmospheric density and external environmental parameters such as Ap, F10.7, and F10.7a, an improved neural network architecture named SegRNN with Residual Block is proposed. This architecture introduces external environmental parameters as dynamic covariates and employs a residual block to encode these covariates, thereby extracting density-related information for the prediction period and further enhancing the prediction accuracy of SegRNN. Finally, the density data derived from the onboard accelerometer of the GRACE (Gravity Recovery and Climate Experiment) satellite is used to calibrate the NRLMSIS 2.0 model. The results indicate that the original error of the NRLMSIS 2.0 model is 31.3%. After calibration with SegRNN, the error was reduced to 8.0%. By introducing dynamic covariates, the model error was further reduced to 7.2%. Ultimately, the error of the final calibrated model decreased by 24.1%, demonstrating significant calibration effects.
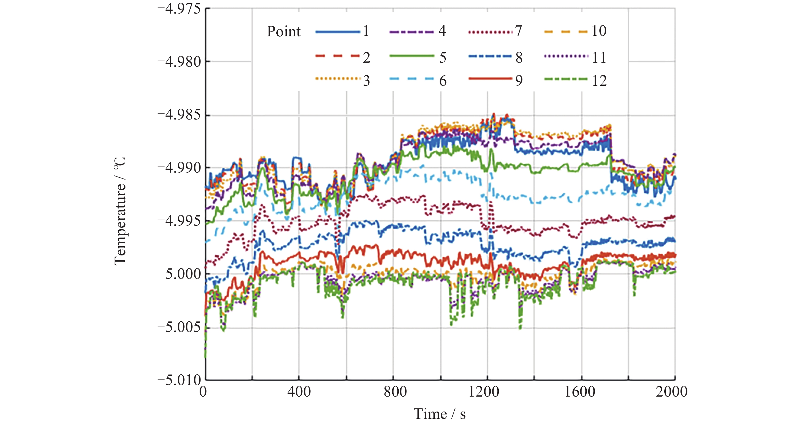
Design Scheme and Verification of the Thermal Control System for Balloon-borne Coronagraph in Near Space
WANG Jingxing, LIN Jun, KANG Kaifeng, LI Yan, SONG Tengfei, XU Fangyu, LIU Dayang
2025, 45(6): 1471-1481. doi: 10.11728/cjss2025.06.2025-0047
Abstract:
The optical system of the balloon-borne coronagraph typically adopts a small focal ratio design, leading to a slender tube structure that is highly sensitive to fluctuations in ambient temperature. To ensure stable operation under the low-temperature and low-pressure conditions of near-space, this study developed a high-precision thermal control system. The system comprises 12 sets of independently regulated temperature control units, utilizing thermistors as sensors, along with thin-film heaters and a PID control algorithm, to accurately maintain the mirror tube temperature within (–5±3)℃. By exploiting the differential thermal contraction properties between aluminum alloy and optical materials, the system effectively eliminates structural gaps and mitigates thermal deformation, while an active focusing mechanism compensates for focal shift caused by temperature variations. Through systematic analysis of the structural characteristics of the coronagraph and its operating environment, a heat transfer model specific to near-space conditions was established, identifying the key factors influencing the system temperature, and then a thermal control scheme combining multi-layer insulation and active heating was proposed. On 4 October 2022, a successful flight experiment was conducted in Da Qaidam, Qinghai Province, where the system operated at an altitude of 30 km, acquiring valuable observational data. The recovered data indicates that the temperature control system operates stably, with the temperature fluctuation of the coronagraph tube controlled within the design range. This effectively ensures the normal of the coronagraph in extreme environments, and provides an important technical reference for future similar missions.
Planetary Science
Principles, Current Status and Prospects of Hydrated Minerals Detection on Mars with Hyperspectral Remote Sensing
WU Xing, ZHOU Xiang, LI Keyi, LIU Yang
2025, 45(6): 1482-1491. doi: 10.11728/cjss2025.06.2024-0173
Abstract:
Mars is the most Earth-like terrestrial planet in the solar system and a primary focus of deep space exploration. Hydrated minerals, formed through water-rock interactions, are crucial for understanding the planet’s ancient aqueous environments, geological changes, and capacity to support life. Their study offers vital insights into Mars’ climatic evolution and surface processes. Hyperspectral remote sensing, which collects detailed spectral data across hundreds of continuous bands, serves as a powerful tool for detecting and analyzing these minerals. Despite its advantages, hyperspectral detection on Mars faces significant challenges. The sparse distribution and low abundance of hydrated minerals, combined with spectral mixing and noise, diminish the clarity of diagnostic spectral features. Consequently, traditional methods primarily rely on spectral parameter mapping and visual interpretation, which are labor-intensive and struggle to process the vast hyperspectral datasets effectively. Recent advances in machine learning for terrestrial hyperspectral remote sensing offer innovative approaches to Martian mineral mapping, yet their application remains at an early stage. This review first introduces Mars orbital spectral datasets such as the Observatoire pour la Minéralogie, l’Eau, les Glaces et l’Activité (OMEGA) and the Compact Reconnaissance Imaging Spectrometer for Mars (CRISM), and diagnostic spectral features of common hydrated minerals. The current state of Martian hydrated mineral detection is then explored, covering both qualitative identification and quantitative abundance retrieval methods. It evaluates the advantages and limitations of existing approaches and highlights key challenges, such as spectral variability and validation constraints. To advance this field, future work should focus on developing adaptable algorithms, integrating multi-source data, and establishing robust validation frameworks. These efforts will enhance the efficiency and reliability of mineral mapping, providing deeper insights into Mars’ aqueous history and its implications for planetary habitability.
Research Progress on Long-lived Survival Technology of Venus Lander
WANG Hujun, CHU Yingzhi, ZHANG Xiao, LIU Yi, XU Hang, ZHONG Yubin, LIU Weixin
2025, 45(6): 1492-1505. doi: 10.11728/cjss2025.06.2024-0178
Abstract:
Venus, as a major component of terrestrial planets, is of great scientific significance for exploration and research. Understanding Venus can enhance our knowledge of the formation and evolution of terrestrial planets, the development of Earth’s habitability, and the strategies for searching habitable exoplanets. Recently, Venus exploration has witnessed a resurgence, with Europe, the US, Russia, and India planning new missions around 2030. However, its infernal surface conditions, a scorching 462°C, crushing 9.3 MPa pressure (equivalent to 900 m underwater on Earth), and corrosive CO2 atmosphere laden with sulfuric acid aerosols, which have limited prior missions to mere hours of operation, exemplified by the Soviet Venera 13’s 127-minute survival record. To address the need for long-duration Venus surface missions, this paper analyzes the challenges of lander long-life survival based on Venus’s environment, i.e., energy acquisition and environmental adaptation. It reviews the research progress in four areas: lightweight pressure-resistant structures, high-temperature electronics, power systems, and thermal control technology, while offering design recommendations. Lightweight pressure-resistant structures, represented by honeycomb structures, lattice structures, and composite materials, show promise in effectively reducing the lander’s weight while maintaining structural integrity. High-temperature electronics, based on materials like Silicon Carbide (SiC), can significantly enhance the performance and service life of electronic devices in extreme heat. Efficient energy systems, including radioisotope Stirling generators and high-temperature batteries, are expected to supply stable power to the lander and lessen the energy system’s demand on thermal control resources. In terms of thermal control technology, building on high-performance heat storage and insulation materials, employing high-temperature Stirling cooling or compression cooling techniques can effectively tackle the heat dissipation issues for landers in high-temperature settings. The design recommendations outlined in this paper aim to provide valuable references for potential future Venus lander exploration missions, aiding in the development of more advanced and durable lander systems capable of withstanding Venus’s challenging environment for extended periods.
Microgravity and Space Materials Science
Experimental Research Progress on Fuel Cells and Electrolytic Cells under Unconventional Gravity
LI Zihang, YU Ruijiao, YE Fang, DU Wangfang, CHEN Hao, GUO Hang
2025, 45(6): 1506-1517. doi: 10.11728/cjss2025.06.2024-0157
Abstract:
Fuel cells and electrolytic cells can provide energy support for long-term missions and bases in space, but different gravitational levels in space affect their performance, so experimental studies in unconventional gravity environments are necessary for the development and improvement of fuel cells and electrolytic cells for spaceflight. The experimental studies of fuel cells and electrolytic cells in unconventional gravity conditions are reviewed. The analyses and discussions show that the change of gravity level leads to the change of gas-liquid two-phase flow characteristics inside the fuel cell and electrolytic cell, which affects the performance differently. There is still a lack of experimental data on fuel cells in hypergravity and long-term microgravity, as well as unconventional gravity experiments on regenerative fuel cells. Fuel cell and electrolysis cell experiments under unconventional gravity conditions will not only help to promote the intersection of fluid physics and thermophysics with electrochemistry, but will also provide a data basis for the development of regenerative fuel cell systems in space.
Local Temperature Gradient Laser Pulse Triggered Nucleation Experimental Technology under Electrostatic Levitation
WANG Yanqiu, SUN Zhibin, LU Xiaoxiao, ZHENG Fu
2025, 45(6): 1518-1531. doi: 10.11728/cjss2025.06.2024-0095
Abstract:
The containerless and solidification method of electrostatically suspended deep subcooled samples is of great significance for materials science research and materials preparation, and this paper proposes to realize the experimental study of triggered nucleation and solidification and measurement of materials under deep subcooling based on the local temperature gradient field of the laser pulse. By triggering the laser pulse to generate a local temperature, a temperature gradient is formed around the sample, and the temperature gradient triggers convection to increase the probability of structural and energy undulation inside the experimental sample and deepen the degree, so that the crystals change from a molten liquid phase to a solid phase, realizing high-quality and controllable deep-subcooling laser pulse-triggered nucleation under electrostatic levitation. By means of finite element simulation methods, the effect of laser heating with different spot diameters and a power of 9 W, a power density of $ 2.86\times {10}^{8}\;\mathrm{W} \cdot {\mathrm{m}}^{-2} $ and $ 1.146\times {10}^{7}\;\mathrm{W} \cdot {\mathrm{m}}^{-2} $ on the temperature gradient field was investigated. The distribution results of the local temperature gradient field in the molten sample under different laser spot diameters were obtained. A zirconium sample with a diameter of 2 mm was used in the experiment to study the time scale of triggered nucleation of molten samples with different laser pulse widths and subcooling degrees under smaller laser beam spot diameters. Based on the classical nucleation theory, the time required for the zirconium samples to move from the substable state of the mother phase melt to the solid phase under different supercooling degrees was obtained by statistically analyzing the data from 16 groups of 20 spontaneous nucleations at different supercooling degrees. On this basis, the experimental study of laser pulse triggered nucleation was carried out at a wavelength of 936 nm with a laser pulse spot diameter of 0.2 mm and a sample of zirconium material. The experimental results show that the time required for nucleation and solidification of zirconium material at a low subcooling of 195 K ± 3 K is 3/4 times lower than that required for spontaneous nucleation, and that high quality and controllable nucleation can be triggered for molten samples at different subcooling levels.
Segmentation Algorithm of X-ray Microstructure Image of Na6Mo11O36 Material
LI Xinze, CAI Yujia, YU Qiang
2025, 45(6): 1532-1541. doi: 10.11728/cjss2025.06.2024-0185
Abstract:
Conducting materials science experiments in a microgravity environment mitigates the influence of gravity, enabling the study of intrinsic material growth mechanisms and the fabrication of materials with enhanced properties. The high-temperature materials research rack aboard the Chinese Space Station is equipped with an X-ray transmission imaging module, facilitating real-time imaging and observation of material solidification processes under microgravity. However, due to the constraints of the space station’s experimental conditions, the X-ray images acquired by this module often exhibit blurriness, making direct observation of microstructures challenging. To address this issue, the GFF-UNet++ image segmentation algorithm is proposed, specifically tailored for analyzing the microstructures formed during the solidification of Na6Mo11O36 material. The algorithm’s effectiveness is rigorously evaluated in terms of both image segmentation performance and its relevance to materials science applications. The experimental results demonstrate that in the image segmentation task, GFF-UNet++ outperforms established algorithms such as UNet, UNet++, DC-UNet, UNet3+ and Pretrained-Microscopy-Models, achieving notable improvements across various image segmentation metrics. Furthermore, the microstructures formed during the growth of the Na6Mo11O36 can be segmented more accurately. This provides new ideas and methods for the study of the microstructure segmentation of materials, and has important application value.
Space Exploration Technology
Calibration Techniques for Asymmetric Spatial Heterodyne Interferometers
ZHU Guangyi, ZHU Yajun, WANG Tiancai, YUAN Wei, LIU Weijun, XU Jiyao
2025, 45(6): 1542-1551. doi: 10.11728/cjss2025.06.2024-0143
Abstract:
The detection of wind in the middle and upper atmosphere has important scientific and practical value for the construction of atmospheric models, satellite orbit prediction, communication and navigation support, and space weather disaster prediction. The Doppler shift of airglow radiation obtained by optical interferometer is one of the most important methods for remote sensing of atmosphere wind. Ensuring the accuracy of these measurements necessitates the calibration of the wind measurement performance of optical interferometers. In this paper, we propose the concept of wind measurement sensitivity coefficient through studying the wind measurement principle of asymmetric spatial heterodyne interferometer, providing a solid theoretical foundation for instrument calibration. Two typical calibration systems are designed and implemented to calibrate an asymmetric spatial heterodyne interferometer. By examining both the calibration process and results, we conduct a comprehensive evaluation of the uncertainty and applicability of these two systems. The acousto-optic frequency shift calibration system boasts an uncertainty of less than ±1 m·s–1, coupled with its compact design and ease of integration, making it an ideal transfer standard for internal calibration within ground wind measurement networks. On the other hand, the reflective wheel calibration system demonstrates wide applicability across various light sources. The findings presented in this paper can serve as a valuable reference for both laboratory and routine field calibration of wind-measuring optical interferometers.
Task-driven Satellite Cluster Self-organization Method Based on Linear Groups in Finite Fields
LI Yingyu, YANG Yuxuan, LIU Honglin, JIN Jin, ZHAO Tong, WANG Guangyu, YANG Zhen, MENG Xin
2025, 45(6): 1552-1569. doi: 10.11728/cjss2025.06.2024-0120
Abstract:
This paper proposes a method for constructing the capability and cognitive model of satellite constellations based on the linear group over a finite field. Based on this model, the capability view, autonomous mission assignment algorithm, and publish-subscribe mechanism are studied, and an on-orbit verification is conducted. Firstly, by introducing the algebraic theory of the finite field and the linear group, the capability model of satellite agents is constructed. The capabilities of satellites are mapped into matrices over the finite field, and the cognitive state vector is established to accurately describe the capability structure and cognitive state of satellite agents, providing a modeling method and logical basis for subsequent mission assignment. Secondly, based on the capability and cognitive model, the capability view of the satellite constellation is constructed. By organizing and processing the capability data, the capability view is designed to provide users with an intuitive display and interaction means of capabilities, facilitating resource subscription and management. Then, an autonomous mission assignment algorithm for satellite constellations based on the capability and cognitive model is designed. By comprehensively considering the agents' own capabilities, neighbor influences, and mission-driven factors, the autonomous matching and decision-making of mission requirements are realized, ensuring that satellite agents can allocate satellite resources reasonably. Next, the publish-subscribe mechanism of satellite constellations is constructed to achieve the precise docking of satellite resources and user requirements. Finally, an on-orbit verification experiment of the publish-subscribe service process of satellite constellations is carried out. The construction of satellite resource capabilities, the autonomous mission assignment algorithm, and the publish-subscribe service process of the capability view are realized. The instantaneous capacity subscription response time between the satellite and the ground (including the communication time of the space-to-ground link) is 31 seconds, verifying the feasibility and effectiveness of the capability and cognitive model and providing a basis for its practical application.
Optimization of Fixed Honeycomb Panel Radiator Based on NSGA-II Algorithm
WANG Jianpeng, GUO Tong, CHEN Liang
2025, 45(6): 1570-1579. doi: 10.11728/cjss2025.06.2024-0177
Abstract:
Space radiator is an important part of aerospace thermal control system. In order to meet the heat dissipation and weight reduction requirements of a low-orbit satellite, an optimization strategy of fixed honeycomb plate space radiator has been proposed with the help of inverse design concept, and the root cause of space radiator performance improvement has been expounded from the perspective of macro and micro heat transfer. Taking the layout parameters of heat pipes and fluid loop as the design variables, Kriging was used to construct the surrogate model, and schemes α and β were obtained by iterative optimization based on NSGA-II algorithm. The simulation results show that the optimization schemes improve the surface temperature uniformity by 3.09 K and 4.98 K respectively, and improve the heat dissipation capacity by 18.7% and 28.8% on the basis of reducing the mass ratio by about 1/4. The on-orbit temperature levels of satellite were compared and analyzed. The verification results show that the optimal design of the radiator makes the spacecraft thermal control system have greater temperature control margin and significant weight reduction advantages, which is more conducive to the development and expansion of spacecraft on-orbit tasks.
550 GHz Band GaAs Thin-film Integrated Mixer Technology for Space Exploration Applications
DING Jiangqiao, CHEN Sijia, ZHU Haotian
2025, 45(6): 1580-1587. doi: 10.11728/cjss2025.06.2024-0162
Abstract:
The Terahertz (THz) frequency band offers unique application prospects in cutting-edge fields such as space exploration, planetary atmospheres, radio astronomy, and inter-satellite communications. THz solid-state Schottky harmonic mixing technology is a crucial technique that can down-convert THz signals to the microwave band for high-speed signal processing. It is evident that research on THz monolithic integrated harmonic mixers holds significant importance, as it effectively overcomes the inherent limitations of conventional hybrid integration approaches (e.g., epoxy-bonded discrete Schottky diodes with quartz matching circuits), including assembly complexity, thermal imbalance effects, and compromised reliability. Alternatively, the 550 GHz spectral band, as a molecular fingerprint region for water, plays an indispensable role in space-based detection applications. In this paper, the development and verification of a 550 GHz-band monolithic integrated harmonic mixer has been successfully completed based on a fully domestic GaAs foundry process line. The main technical contributions include: For diode design, building upon planar Schottky diode architectures developed by Jet Propulsion Laboratory (JPL) and France’s LERMA laboratory, the accurate nonlinear and 3D models of Schottky varactor diodes tailored to domestic fabrication processes are established. For matching circuit, it employs a canonical reduced-height waveguide coupled with high-low impedance suspended microstrip lines (for RF-LO isolation) and rectangular probe structures, achieving an optimized matching network through field-circuit co-simulation methodology. For monolithic integration, the complete frequency multiplier circuit, comprising diode pairs, matching networks, and probe structures, is monolithically integrated on a 3-μm-thick GaAs membrane with beam-lead interconnects on both sides, enabling robust cavity mounting. Test results demonstrate that the mixer module achieves a Single-Sideband (SSB) conversion loss of 11.7~13 dB across the 548~572 GHz RF frequency range, with a LO drive power of approximately 5 mW. Based on experimental characterization, this work systematically investigates the influence of series resistance Rs and zero-bias junction capacitance Cj0 variations on mixer performance, establishing a design feedback loop through correlated simulation-experimental analysis.
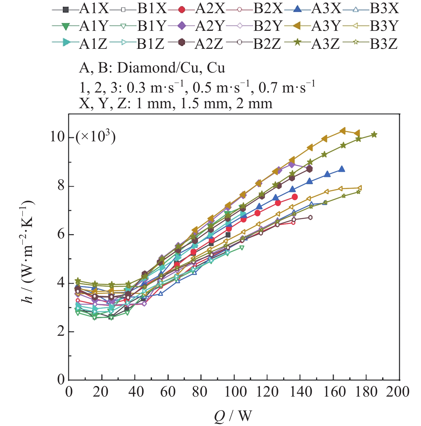
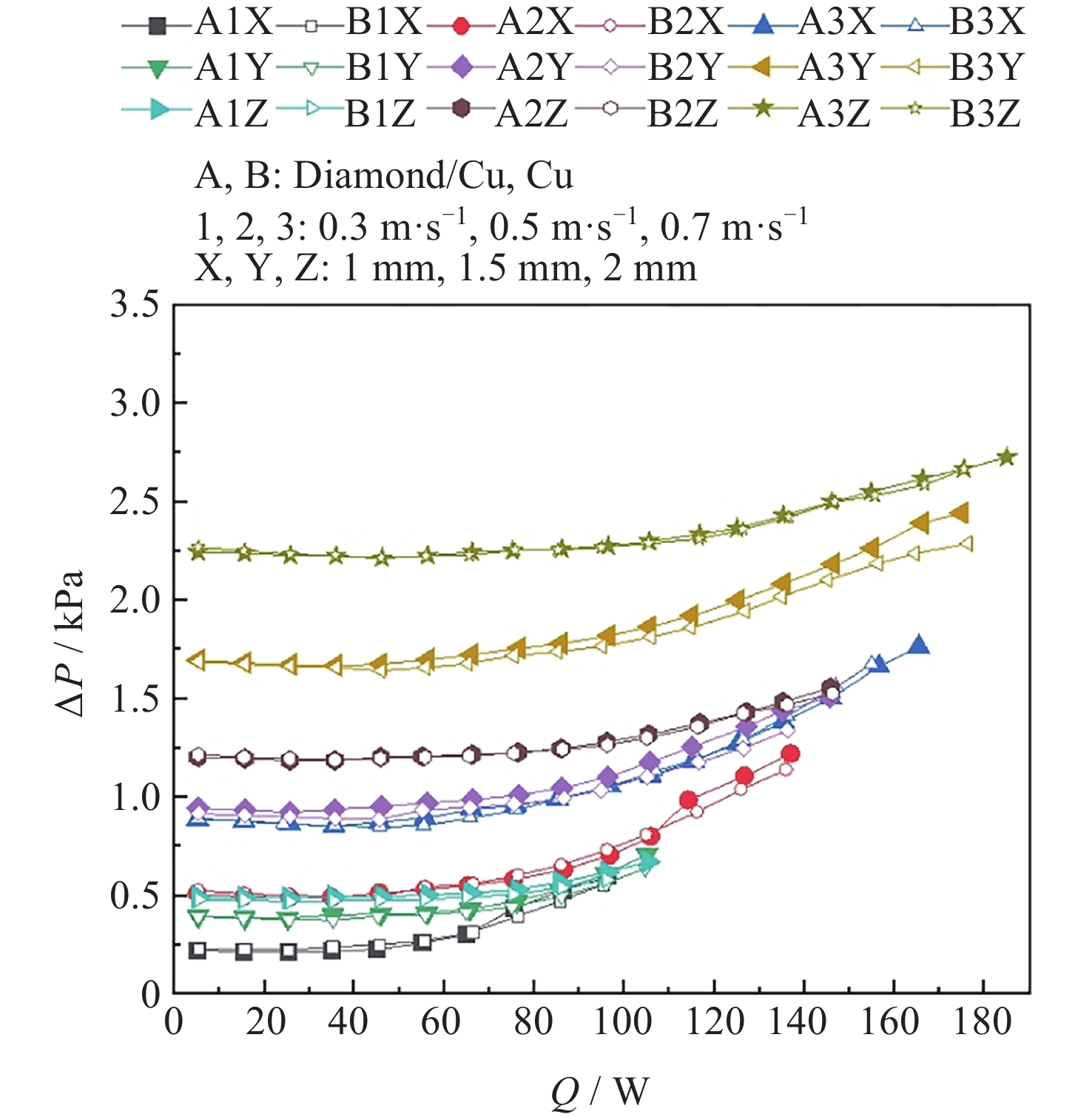
Research on Heat Dissipation of Split Diamond/Copper Microchannels
FENG Xiaoming, MA Xiang, ZHANG Yonghai, WANG Shuai, LI Bin
2025, 45(6): 1588-1596. doi: 10.11728/cjss2025.06.2024-0184
Abstract:
With the development of aerospace technology, the intelligence level of spacecraft is increasing day by day. The increasing demand for chip computing power leads to a significant increase in its heat flux density, and the life and reliability of related electronic devices are facing severe heat dissipation challenges. The combination of microchannel heat dissipation technology and high thermal conductivity diamond/copper composites provides an effective way to solve the heat dissipation challenges of spacecraft. In view of the poor machinability of diamond/copper composites, a split diamond/copper composite microchannel heat dissipation system is designed in this paper and compared with a pure copper microchannel system. The heat transfer characteristics of the two microchannel systems at different flow rates (0.3, 0.5, 0.7 m·s–1) and rib heights (1, 1.5, 2 mm) were investigated using HFE-7100 as the heat transfer medium. When the flow rate is 0.7 m·s–1, the chip surface temperatures of diamond/copper microchannels at the critical power are lower than those of pure copper microchannels by 12℃, 19℃, and 19.6℃, respectively, with the increase of rib height. The heat transfer coefficients were maximally enhanced by 27.8%, 30.1%, and 28.1% at the three rib heights, respectively, showing the heat dissipation advantages of the diamond/copper composite microchannels. The better heat transfer performance of the diamond/copper composite microchannel system is mainly due to its higher thermal conductivity and surface roughness. The pressure drop between the inlet and outlet of the two microchannel systems is basically the same in the single-phase flow section, and the difference gradually becomes apparent when entering nucleate boiling. At critical power, the pressure drop of the diamond/copper microchannel system is slightly higher than that of the pure copper microchannel system, with a maximum increase of 11.8%. The reason for the higher pressure drop in the diamond/copper microchannel system is that the turbulence level of the working fluid is higher in the diamond/copper microchannel system.
Imaging Method of Synthetic Aperture Radio Telescope Based on Minimax Concave Penalty
FAN Xiaoyi, YANG Xiaocheng, WU Lin, YAN Jingye, XU Lu
2025, 45(6): 1597-1606. doi: 10.11728/cjss2025.06.2024-0186
Abstract:
In the synthetic aperture radio telescope, the reconstruction of an image from the measured visibility function is an ill-posed inverse problem on account of limitations in the visibility sampling scheme. Although compressed sensing technology has been successfully applied in interferometric imaging of a synthetic aperture radio telescope, the traditional compressed sensing algorithms make use of L1 norm minimization to approximately replace L0 norm minimization, which brings a certain deviation. To address this issue, a new imaging method of a synthetic aperture radio telescope based on a minimax concave penalty is proposed in this paper. This method approximates the L0 norm by the minimax concave penalty, and efficiently solves the non-convex minimization model by the proximal gradient algorithm. Compared with the L1 norm, the minimax concave penalty is a closer approximation of the L0 norm. In the iterative process, the maximum likelihood estimation is employed to adaptively select the regularization parameter, thereby enhancing the accuracy of the reconstruction results. In addition, the restart and adaptive strategies are adopted to avoid the oscillations during the iteration process and improve the convergence speed of the algorithm. Based on a simulated general array using a random sampling pattern of variable density and the Square Kilometer Array, numerical simulation experiments have been conducted to compare the performance of the proposed method in terms of reconstruction quality and computation speed with respect to classical imaging methods such as the Sparsity Averaging Reweighted Analysis (SARA) and Artificial Intelligence for Regularization in radio-interferometric Imaging (AIRI). The numerical experiment results indicate that compared with the SARA and AIRI approaches, the proposed approach can effectively reduce the reconstruction error and improve the reconstruction quality. The computation speed of the proposed approach is markedly faster than the SARA and slightly slower than the AIRI. Furthermore, the proposed approach exhibits superior robustness to noise interference than the SARA and AIRI approaches.
Payload Application and Resource Management for GEO Satellite-based Electromagnetic Spectrum Monitoring
SUN Zhengbo, ZHOU Xiaoguang, YI Yujiang
2025, 45(6): 1607-1616. doi: 10.11728/cjss2025.06.2024-0096
Abstract:
The electromagnetic spectrum is a vital strategic resource. Electromagnetic spectrum monitoring is a crucial aspect of the allocation, utilization, and management of this resource, serving as a key responsibility of government radio regulatory authorities. Although multiple methods are employed for electromagnetic spectrum monitoring, the predominant reliance on ground-based systems introduces significant limitations.The satellite-based Electromagnetic Spectrum Monitoring (ESM) systems is an effective approach and a research hotspot for wide area surveillance. The satellite-based electromagnetic spectrum monitoring industry has gradually scaled up with the development of aerospace, electronic, and information technologies. Compared to Low Earth Orbiting (LEO) ESM, Geostationary Earth Orbiting (GEO) ESM has the advantages of fast task response speed, high timeliness of data reception and processing, and ability for long-time continuous surveillance. There is scarce pubilic reporting on GEO satellite-based ESM. Starting from the features of GEO satellite-based ESM, in this paper, operation modes of payload resources, payload resource management and control technology, and application systems are studied. Besides, some key technologies deserving deep research are briefly described. It is hoped that this paper will provide some guidance for the design and application of such satellites.
Optimization Strategy for Single-satellite to Multi-station Data Transmission
LU Zhaoyan, FAN Senquan, FU Bihong, BAO Liping, WANG Hao
2025, 45(6): 1617-1628. doi: 10.11728/cjss2025.06.2024-0083
Abstract:
In order to solve the problems of link handover time selection and complex relay scenarios in the multi-station data relay problem, a multi-station data relay method based on link handover time optimization was proposed, which simplified the multi-station relay scene and selected the optimal relay time, so as to improve the transmission time of data relay transmission. In this method, the mathematical description of multi-station relay is established based on the satellite-ground model and the motion constraints of the mechanical antenna, and the expression method of the link switching time between the satellite and the ground station is constructed. Based on the characteristics of mainstream low-orbit remote sensing satellites and ground stations, the relay scenarios of satellite-to-ground data transmission are established, the characteristics of their visible time arcs are summarized, and a two-station optimization strategy for complex multi-station relay scenarios is constructed. Finally, the typical satellite-to-ground data transmission model simulation is used to verify the data transmission relay method with optimization strategy constructed in this paper. The simulation results show that there are 32.0% relayable data transmission arcs in the data transmission links between satellite and the three typical ground station located in China, of which the three-station relay scenario accounts for 17.9%, and the three-station relay scenario can be simplified into a two-station relay scenario through the optimization strategy. In the link handover interval of multiple stations with visible arcs, there is a relay time with the shortest relay time, and the shortest link switching time can be shortened by up to 25% compared with the worst relay time after using the relay time optimization strategy. Using the optimized data relay method for relay data transmission, the average time available for each time was increased from 7.61 minutes to 11.12 minutes.
Research Progress on Estimating Space Objects Characteristics Using Ground-based Observation Data
LI Rongwang, LI Hui, SHU Peng, LI Yuqiang
2025, 45(6): 1629-1643. doi: 10.11728/cjss2025.06.2024-0181
Abstract:
With the rapid increase in space activities, the proliferation of space debris from space objects’ breakup and collisions poses catastrophic risks to orbital operations. Consequently, the monitoring and characterization of space objects, including their attitude, shape, and material properties, have become critical for target identification, collision avoidance, and active debris removal. This study systematically reviews relevant technical papers from recent proceedings of the AMOS Conference, a key academic forum in space situational awareness. The analysis encompasses ground-based observational data applications in space object characterization, attitude estimation, shape reconstruction, attitude evolution, and machine learning-assisted decision-making. These methodologies provide a comprehensive toolkit for the integrated analysis of space objects, offering valuable insights for future advancements in characterization technologies. Against the current situation and trend of increasingly abundant data related to characteristic estimation and increasingly mature propagation algorithms, this paper proposes a new idea that China should establish a systematic space target characteristic estimation mechanism.
Science Data Papers
Dataset of Solar Prominences from 2011 to 2022
WANG Yitao, ZHANG Quanhao, LIU Jiajia
2025, 45(6): 1644-1649. doi: 10.11728/cjss2025.06.2025-0089
Abstract:
Solar prominences are magnetic structures suspended in the corona, characterized by relatively low temperatures (typically below 10000K) and higher electron densities (109~1011 cm–3). Research indicates a clear correlation between prominences and solar eruptive activities, such as solar flares and coronal mass ejections that may trigger hazardous space weather. Studying the spatiotemporal distribution of solar prominences can aid in forecasting space weather efforts and help mitigate potential catastrophic impacts. This dataset is based on the 30.4 nm wavelength images captured by the Atmospheric Imaging Assembly (AIA) instrument aboard the Solar Dynamics Observatory (SDO) satellite, with a temporal resolution of 10 minutes. By employing background reconstruction to enhance the contrast of off-limb images, the automated algorithms, such as the skeleton extraction and the region-growing techniques, were used to identify prominence regions in the reconstructed images and extract relevant parameters. For those evolving in the same region during continuous frames, misidentification caused by duplicate naming is avoided by K-Nearest Neighbor (KNN) classification. Before tracking a procedure called non-prominence feature removal is used to discriminate real prominences from non-prominence features: Through Linear Discriminant Analysis (LDA), the eigenvalue of any target region can be calculated, and compare it with the derived distribution which is fitted with Gaussian distribution functions, to determine the likeliness of a real prominence, by which SLIPCAT can exclude active regions without involving other observation methods. Persisting prominences were tracked and stored in data files. At last, the processed images and prominence data files are organized in a year-month-day three-level directory structure. The dataset encompasses a total of 101741 prominence files, covering the period from 00:00 UT on 1 January 2011 to 23:50 UT on 31 December 2022. Rigorous validation was conducted in accordance with relevant protocols and classification standards to ensure high reliability. This dataset provides scientific support for research on the spatiotemporal distribution of solar prominences over their activity cycles and for the prediction of hazardous space weather events.
Dataset of Solar Active Regions in the Solar Full-disk Magnetograms
PAN Jinhui, LIU Jiajia, LIU Rui
2025, 45(6): 1650-1655. doi: 10.11728/cjss2025.06.2025-0086
Abstract:
Solar active regions are key source regions of intense solar phenomena such as solar flares and Coronal Mass Ejections (CMEs). Accurate identification of these regions can help forecast the impact of solar activities on the geospace environment. This dataset utilizes solar full-disk line-of-sight magnetograms observed by the Helioseismic and Magnetic Imager onboard the Solar Dynamic Observatory (2010-2019), combined with NOAA AR numbers provided by the Solar Monitor website (https://solarmonitor.org/). The active regions are annotated using an image processing-based recognition method along with manual labeling in accordance with the NOAA catalog. The dataset consists of 6975 solar full-disk magnetograms, taken every 12 hours, with a total number of 26531 annotations consisting of the active-region information for each magnetogram. This dataset serves as a benchmark resource for developing deep learning solar active region detection models, and aims to enhance predictive capabilities for severe space weather phenomena through physics-informed training samples.
Standard Dataset for Machine Detection of Small-scale Swirls in the Solar Photosphere
XIE Quan, LIU Jiajia
2025, 45(6): 1656-1664. doi: 10.11728/cjss2025.06.2025-0087
Abstract:
Small-scale photospheric swirls in the photospheric quiet region are widely believed to form as a natural consequence to granular flows, and they may play a key role in transporting energy to the solar upper atmosphere. However, there are significant limitations and biases associated with the manual detection of these small-scale swirls, which may lead to an underestimation of their total number. The Swedish 1-meter Solar Telescope (SST) and Solar Optical Telescope (SOT) onboard Hinode spacecraft provide high-resolution and high-quality observations of the solar photosphere, offering sufficient data support for the study of small-scale swirls. The machine recognition of small-scale solar vortices and the extraction algorithm of key parameters has been improved, and the corresponding tool was formed. This dataset includes observations from the SOT telescope of a quiet region in the photosphere in 2007, with a pixel scale of 39.2 km and a cadence of approximately 6.4 s, as well as observations from the SST telescope of a quiet region in the photosphere in 2012, with a pixel scale of 43.6 km and a cadence of 8.25 s. This dataset plays an important role in research on the distribution of photospheric swirls in different solar regions and at different phrases of the solar cycle, as well as their formation mechanisms.
Dataset of Geomagnetic Ultra-low Frequency Waves Based on Meridian Project Observation Data
FANG Shaofeng, REN Jie, ZOU Ziming
2025, 45(6): 1665-1672. doi: 10.11728/cjss2025.06.2025-0084
Abstract:
The Meridian Project, as an important space environment monitoring infrastructure in China, is of great significance in space physics research, especially providing key support for the observation of Ultra-Low-Frequency (ULF) waves. Based on the second-sampled data of the horizontal component (H) and declination component (D) of the geomagnetic field collected by multi-station fluxgate magnetometers of the Meridian Project from 2011 to 2021, this paper constructs a high-quality and long-time-series dataset of geomagnetic ULF waves through data cleaning, noise reduction preprocessing, and combined with time-frequency analysis (Morlet wavelet transform) and statistical methods. The dataset covers 5 stations at high, middle and low latitudes, includes event annotations and original sequences of Pc3~Pc5 regular pulsations, and is stored in jsonl format, supporting reading by mainstream scientific research software. This dataset fills the gap in regional ULF wave observations, provides basic data for research such as magnetospheric fluctuations and space weather modeling, helps improve China’s space environment monitoring capabilities, and can be used for automatic ULF wave identification and coupling mechanism research.