2023 Vol. 43, No. 5

Space Physics
Analysis of the Energy Flux Density near Electron Diffusion Region of Asymmetric Magnetic Field Reconnection
WANG Jun, ZHOU Meng, PANG Ye, DENG Xiaohua
2023, 43(5): 795-806. doi: 10.11728/cjss2023.05.2023-0014
Abstract:
Magnetic reconnection is a crucial energy conversion process in plasmas, and it is important to study the forms of energy conversion and their distribution in this process. Previous research has focused mainly on the energy fluxes in symmetric reconnection, while the study of asymmetric reconnection at the Earth’s magnetopause, especially in terms of statistical analysis of multiple events, has been limited. Therefore, 10 magnetic reconnection events at the magnetopause observed by MMS satellite that passed through the electron diffusion region were used for analysis . Found that the energy flux distribution varies among different events. However, in most of the events, the ion enthalpy flux is the dominant, followed by the Poynting flux. The ion heat flux is slightly smaller than the Poynting flux, and the ion kinetic energy flux, electron enthalpy flux and electron heat flux account for less than 10% of the total energy flux. By normalizing the events, obtained the relationship diagram of different energy fluxes in the L and M directions with the magnetic field and ion velocity in the L direction, and analyze the characteristic distribution of each energy flux.
Variation in the Longitude-latitude Distribution and Latitude-altitude Distribution of OI 135.6 nm Airglow during Magnetic Storms
LI Chunlai, LU Jianyong, LI Jingyuan
2023, 43(5): 807-820. doi: 10.11728/cjss2023.05.2023-0022
Abstract:
Variation in the latitude-longitude distribution and latitude-height distribution of airglow emission intensity during two intense magnetic storms in October and November 2003 were investigated using OI 135.6 nm airglow emission data observed by the GUVI detector. The results show that the intensity of OI 135.6 nm airglow emission in most regions of the world increases with a decrease in the Dst index during the magnetic storms and shows a quasi-positive correlation with the intensity of magnetic storms. Horizontally, the enhancement of airglow emission extends from both sides of the magnetic equator during the magnetic quiescence to the high latitudes to near 50° in the northern and southern hemispheres, and the increase is basically more than 80%, and the maximum can exceed 200%, and the variation of latitude and longitude distribution during the magnetic storms show north-south and latitudinal asymmetry. Vertically, the enhancement of the airglow emission spreads from 300 km to 400 km (i.e., F2 layer height) to other heights, especially at some latitudes between 100 km to 200 km (i.e., low thermosphere height), which is more significant than other heights, with an increase of more than 300%; the time of the enhancement of the airglow emission is basically synchronized with the magnetic storm phase.
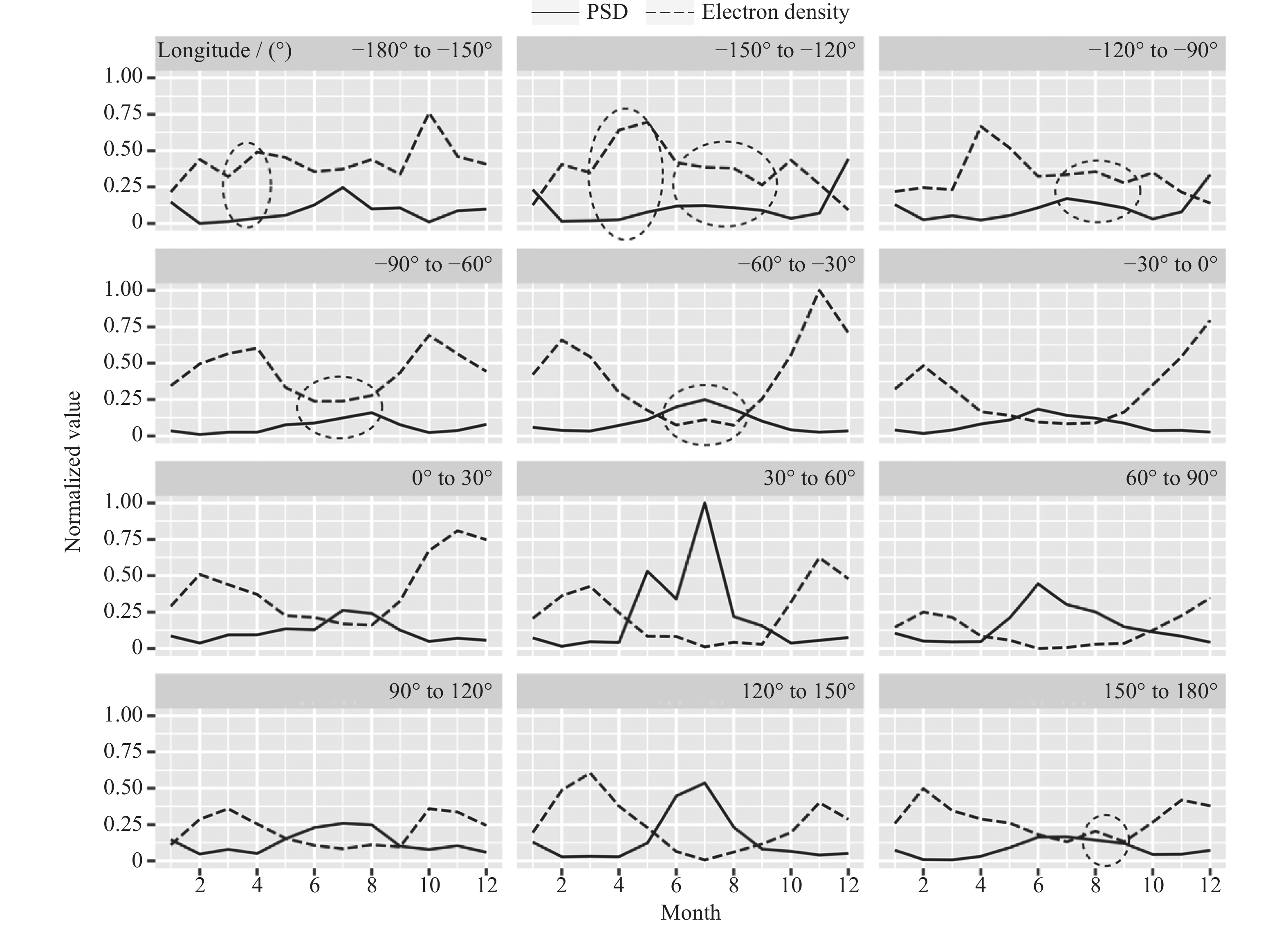
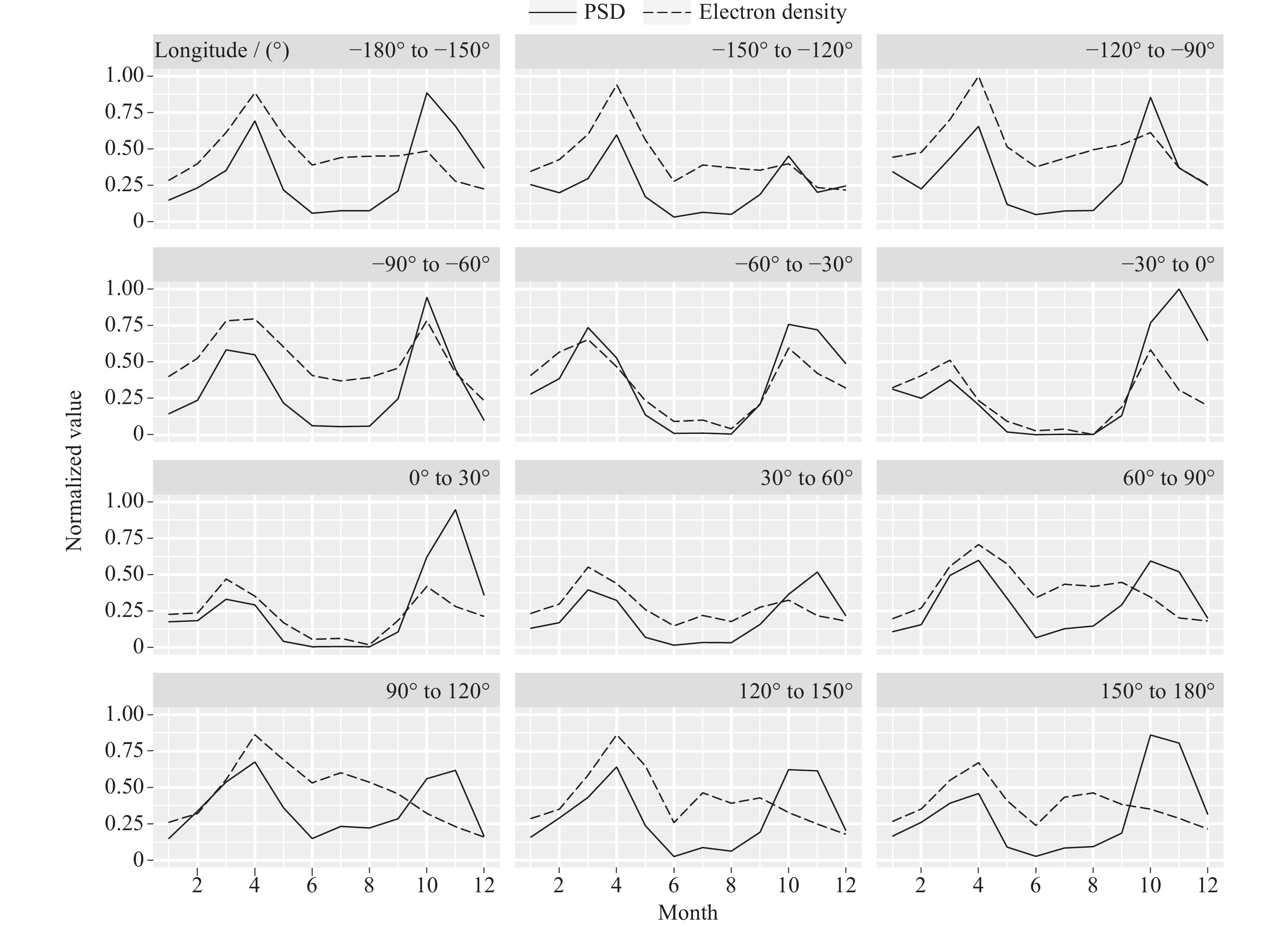
Distribution of Equatorial Electric Field and Its Relation with Ionosphere Distribution Detected by the ZH-1 Satellite
HE Hongwei, WANG Xiuying, ZHAO Guocun, YANG Dehe, WANG Qiao, HUANG Jianping
2023, 43(5): 821-832. doi: 10.11728/cjss2023.05.2023-0020
Abstract:
The nearly east-west power spectral density data of VLF band in 2019, obtained by the Zhangheng-1 satellite, are used to carry out studies on the background distribution of the equatorial electric field, its seasonal variations, as well as its relation with the background ionosphere. The results are as follows: variations of waveform distributions with the season are shown for the daytime equatorial electric field background in the equator and its adjacent regions, with wave number 3 and wave number 4 being the dominant structure; the longitude waveform distribution and its variation with the season can be seen from the spatial distribution of nighttime field background though its regularity is weaker than that of the daytime data; the daytime electric field background has a highly positive correlation with the ionospheric background, with a seasonal variation patter of spring-autumn peaks; Seasonal variation of equatorial nighttime electric field background is characterized by summer and winter peaks, and the correlation between the two is generally negative. Therefore, the spatiotemporal distribution of the electric field background and its correlation with the ionosphere background suggests that the electric field observations are consistent with the ionospheric observations in terms of statistical features obtained both from large as well as relatively small spatial scales. The EFD payload, as one of the payloads that produces the most data, provides a usable dataset for the study of ionosphere-related scientific problems.
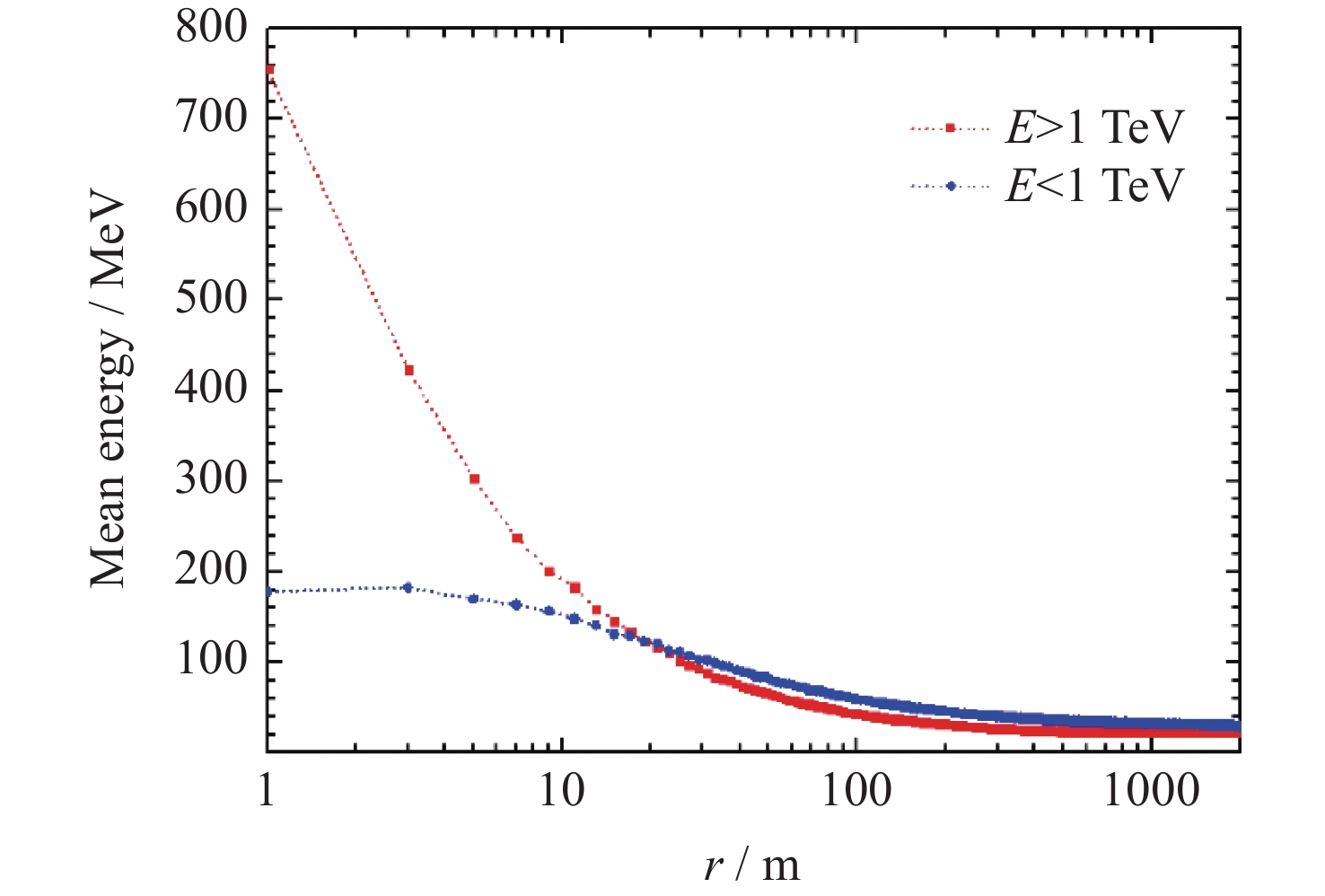
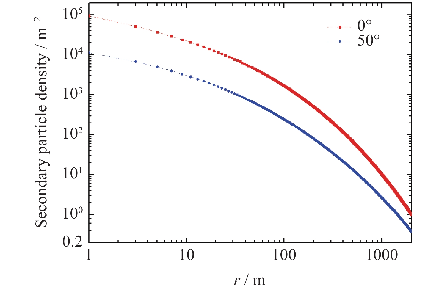
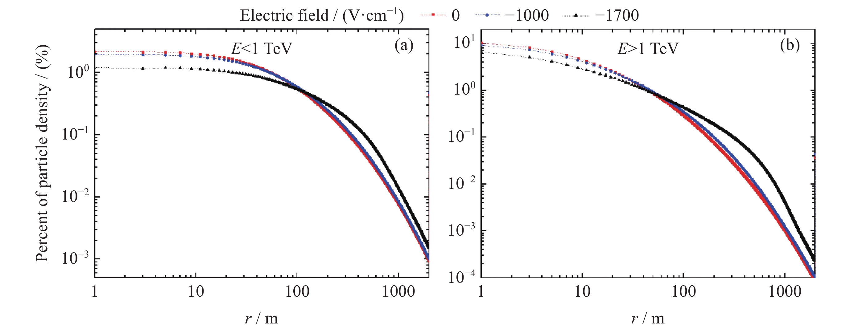
Effects of Thunderstorms Electric Field on the Lateral Distribution of Cosmic Ray Secondary Particles at LHAASO
CHEN Lin, ZHOU Xunxiu, Axikegu, HUANG Daihui, WANG Peihan, CHEN Xuejian
2023, 43(5): 833-839. doi: 10.11728/cjss2023.05.2023-0027
Abstract:
The charged components of cosmic ray secondary particles are deflected by thunderstorm electric fields as they pass through kilometer-scale thunderclouds. As a result, the information on location of secondary particles reaching the observation level will be affected, and the lateral distribution will also be changed. In this paper, the Monte Carlo method is used to simulate the effects of near-earth thunderstorms electric field on the lateral distribution of secondary particles at LHAASO. A vertical and uniform atmospheric electric field model is used in our simulations. The results show that during thunderstorm the lateral distribution of secondary particles widens, and the variation amplitude is not only associated with the strength of electric field, but also dependent upon the primary energy and zenith angle of cosmic rays. In an electric field of –1000 V·cm–1(below the threshold of the Relatively Runaway Electrons Avalanche, RREA), the variation amplitude of the lateral distribution of secondary particles is about 0.7% for θ=0° and the variation amplitude reaches 4.7% for θ=50°. The primary energy of cosmic rays is about 180 GeV, the increasing amplitude is about 0.6%. When the primary energy is about 560 TeV, the variation can be up to 20.1%. In an electric field of –1700 V·cm–1 (above the threshold of the RREA process), the increasing amplitude of the lateral distribution is greater than that in an electric field of –1000 V·cm–1. And the amplitude is 3.8% for θ=0° and 34% for θ=50°, respectively. For the primary energy of about 180 GeV, the increasing amplitude of secondary particles is 9.9%. For the primary energy of about 560 TeV, the variation can be as high as 119%. Our simulation results are helpful to understand the deflection mechanisms of cosmic ray secondary particles generated by the near-earth thunderstorms electric field, as well as the variation of LHAASO data during thunderstorms.
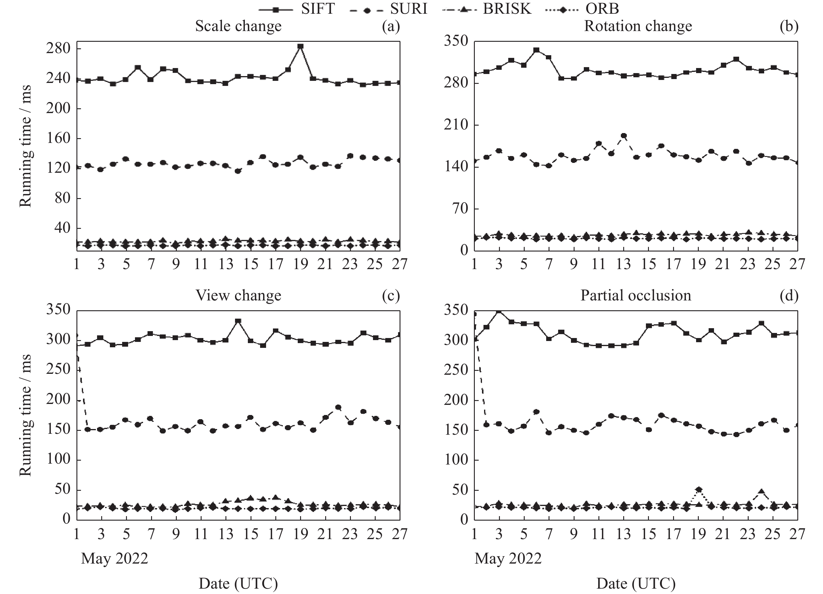
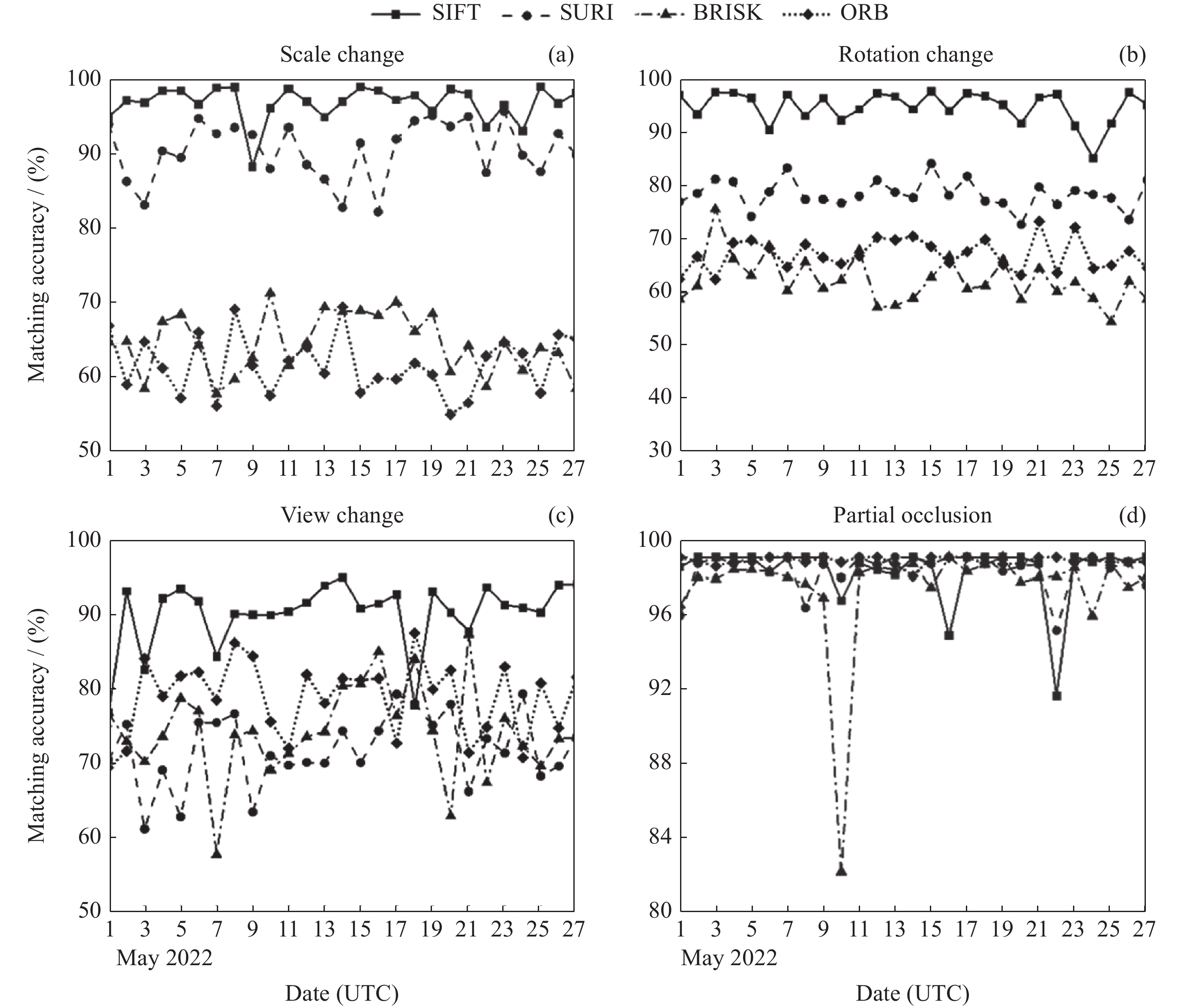
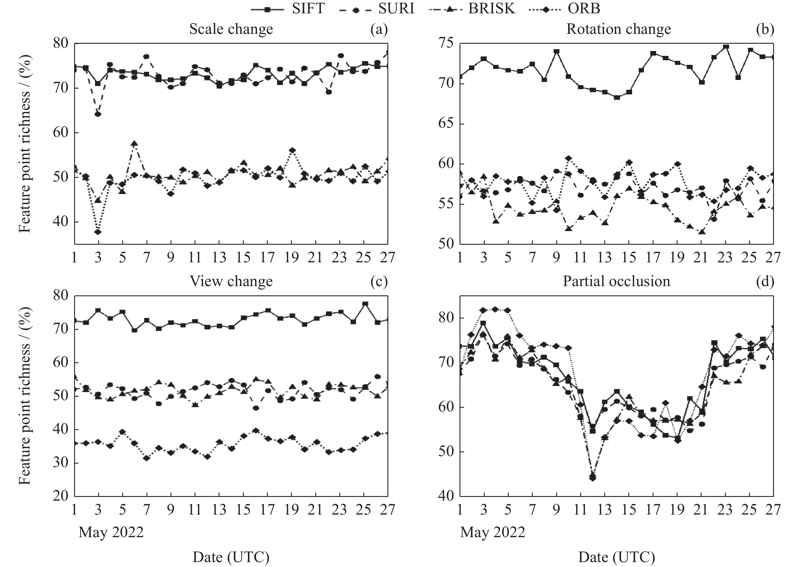
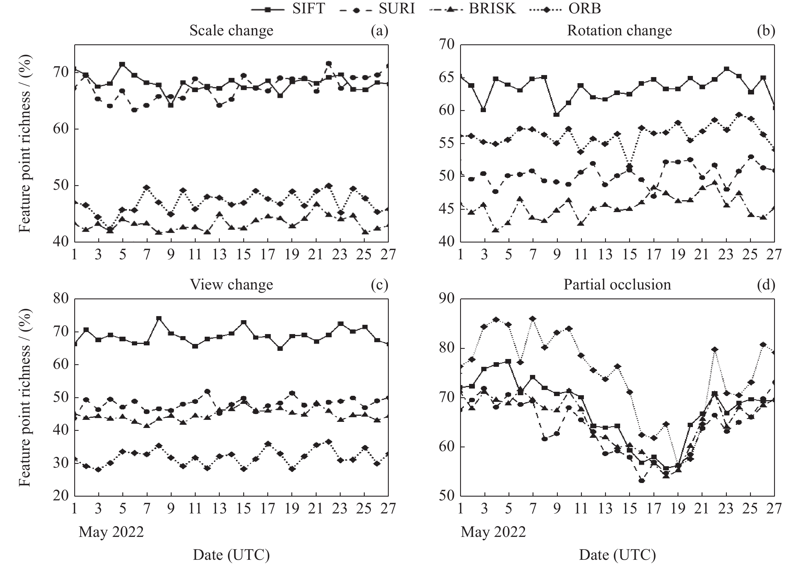
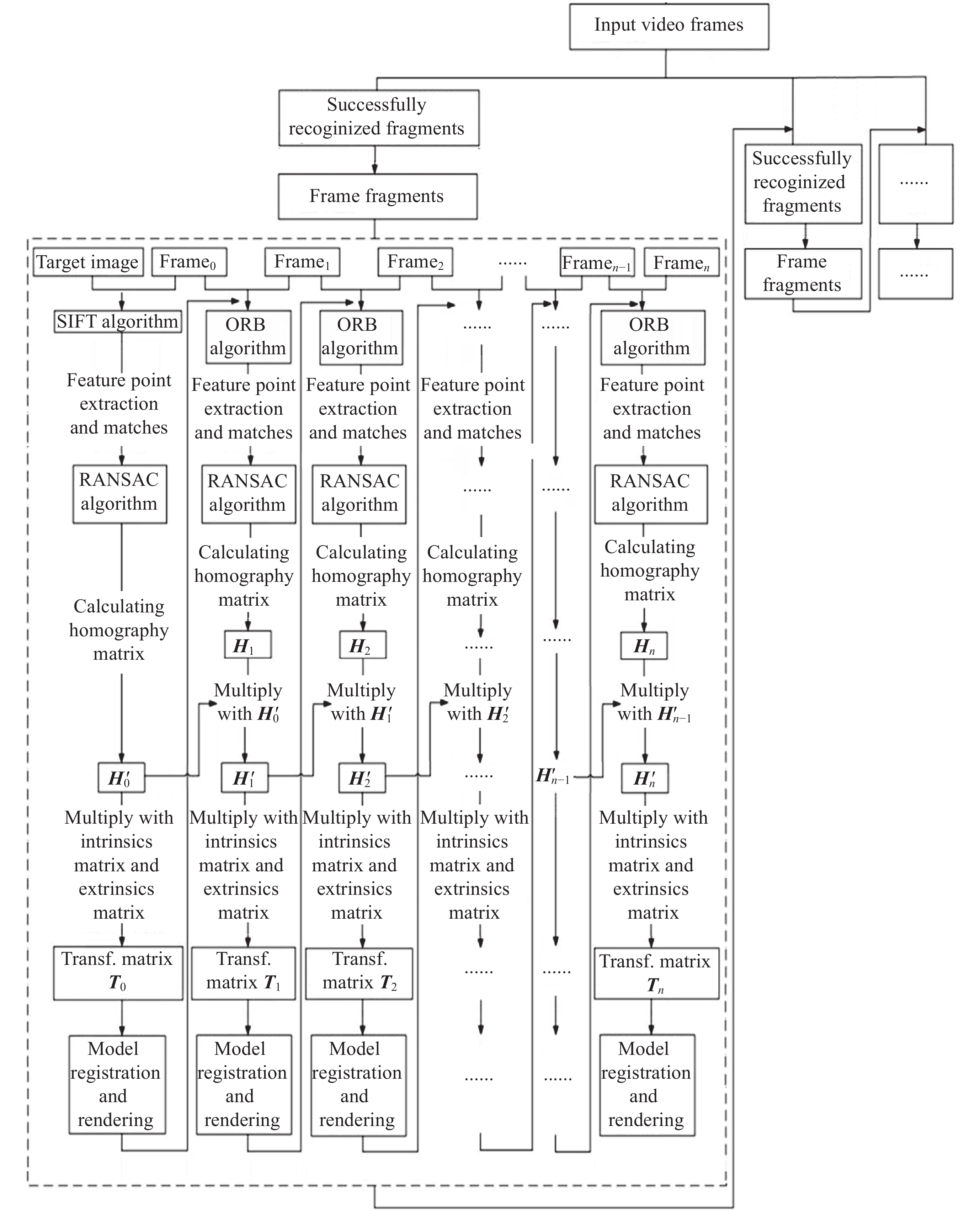
Image Feature Extraction and Matching of Augmented Solar Images in Space Weather
WANG Rui, BAO Lili, CAI Yanxia
2023, 43(5): 840-852. doi: 10.11728/cjss2023.05.2022-0064
Abstract:
Augmented solar images were used to research the adaptability of four representative image extraction and matching algorithms in space weather domain. These include the scale-invariant feature transform algorithm, speeded-up robust features algorithm, binary robust invariant scalable keypoints algorithm, and oriented fast and rotated brief algorithm. The performance of these algorithms was estimated in terms of matching accuracy, feature point richness, and running time. The experiment result showed that no algorithm achieved high accuracy while keeping low running time, and all algorithms are not suitable for image feature extraction and matching of augmented solar images. To solve this problem, an improved method was proposed by using two-frame matching to utilize the accuracy advantage of the scale-invariant feature transform algorithm and the speed advantage of the oriented fast and rotated brief algorithm. Furthermore, our method and the four representative algorithms were applied to augmented solar images. Our application experiments proved that our method achieved a similar high recognition rate to the scale-invariant feature transform algorithm which is significantly higher than other algorithms. Our method also obtained a similar low running time to the oriented fast and rotated brief algorithm, which is significantly lower than other algorithms.
Planetary Science
Simulation of Surface Clutter Recognition Method in Lunar Lava Tube Exploration
MA Shixuan, DONG Xiaolong, ZHU Di, MA Jianying, BAI Dongjin
2023, 43(5): 853-863. doi: 10.11728/cjss2023.05.2023-0017
Abstract:
Lunar lava tubes represent a high-value target in lunar exploration, and a crucial challenge in their detection lies in distinguishing between lunar surface clutter and echoes from the lava tubes. This paper introduces a method for determining the source of echoes based on the power ratio of high-frequency and low-frequency electromagnetic waves. Leveraging the differential path attenuation rates of high and low-frequency electromagnetic waves in the lunar regolith, distinct characteristics emerge in the power ratios between lava tube echoes and surface clutter. The paper focuses on radar systems designed for lava tube detection, deriving formulas for key detection metrics such as resolution, echo power, signal-to-noise ratio, and signal-to-clutter ratio. Furthermore, through simulation results, radar system parameters are designed. Lastly, employing a pseudospectral time-domain approach and establishing a simulation system, the paper conducts simulated research on lunar lava tube echoes with different orientations. Simulation results demonstrate that utilizing the power ratio of high and low-frequency echoes is an effective means of distinguishing between lunar surface clutter and lava tube echoes. The power ratio of high and low-frequency echoes from lava tubes and surface clutter exhibits a positive correlation with lava tube depth and frequency ratio. This validates the effectiveness of using power ratios to discriminate between lunar surface clutter and lava tube echoes.
Orbit Design Optimization Method for an Asteroid Flyby Mission from DRO
DONG Bowen, YU Xizheng, LI Mingtao, WANG Kaiduo, WANG Youliang
2023, 43(5): 864-874. doi: 10.11728/cjss2023.05.2023-0011
Abstract:
Distant Retrograde Orbit (DRO) is a kind of stable periodic orbit in Earth-Moon system. In this paper, a design method of distant retrograde orbit for spacecraft to fly by and explore near-Earth asteroids by means of the moon and Earth’s gravity assistance starting from DRO orbital station is studied. By means of earth-moon gravity assistance and mid-course lever maneuver, the velocity increment required for adjusting the inclination angle is reduced, and the reachable range of the asteroid flying by exploration under the same velocity increment constraint is expanded. At the same time, the calculation complexity of the problem is reduced by introducing DRO phasing, with reducing the phase constraints of escape and capture in DRO, and decoupling the phase of the transfer track from the DRO orbital station. The simulation results show that under the velocity increment of 2 km·s–1, the method can realize the orbit design of flyby exploration of near-Earth asteroids from DRO orbital station and return.
Microgravity and Space Life Science
Wave Propagation Law at the Gas-liquid Interface in a Storage Tank Due to Gravity Jumps
WEI Lie, DU Wangfang, XUE Ziyang, HE Falong, LI Kai, ZHAO Jianfu
2023, 43(5): 875-882. doi: 10.11728/cjss2023.05.2023-yg12
Abstract:
With the advancement of aerospace technology and the increasing complexity of space exploration missions, it is increasingly common to require multiple shutdowns and restarts of liquid rocket engines, and correspondingly, the requirements for propellant management systems are becoming increasingly rigorous. During shutdown coasting, the level of gravity in the reservoir decreases and capillary forces begin to dominate. The liquid propellant may break away from the discharge port under the capillary force, which allows the propellant supplied to the engine to entrap gas, resulting in ignition failure. To ensure that the engine can be restarted after experiencing free flight, it is necessary to consider how the gas-liquid interface inside the propellant tank responds to gravity and acceleration jumps. In this paper, the propagation of gas-liquid interfacial wave under different values of the Bond number is numerically simulated for commonly used configurations and sizes of space propellant tanks, and the mechanism of the propagation of interfacial wave under different values of the Bond number is investigated. Finally, It is found that the propagation velocity of interfacial waves in a storage tank increases with the Bond number, and the scaling law between the Froude number and the Bond number in the range of the Bo numbers from 1 to 5000 is obtained to characterize the propagation of interfacial wave.
Research on Response Regulation of Pressure-driven Multi-droplet Wetting State
CHEN Cong, LAN Ding, WANG Jin
2023, 43(5): 883-889. doi: 10.11728/cjss2023.05.2023-yg10
Abstract:
The liquid-liquid interface spreading engineering has a wide range of applications. Surfaces with controllable wettability can be stimulated to realize the modulation of the wettability state, which is of great importance in nanofluidics, medical field, and materials science. The motion of the three-phase contact line has self-similarity, and the spreading radius and the spreading time are proportional to the power exponential relationship of R~tn and the dynamic mechanism of spreading during infiltration can be reflected through the power index n. In this paper, the liquid-liquid interface wetting problem with surfactant solution as the substrate is investigated on a macroscopic scale, and the intrinsic mechanism of the interfacial monolayer of active agent molecules in the process of changing the dynamic wettability of the liquid is analyzed. The wetting experimental system composed of n-hexadecane as the driven droplet and sodium dodecyl sulfate solution as the base solution was established by changing the droplet spreading state by pulling pressure to drive the liquid surface, and the dynamic response of the wetting state was realized. On the basis of single droplet, the synergistic wetting state of double droplet and triple droplet was realized. The work of this paper gives new ideas and means for liquid interface manipulation, which is expected to be applied in interface assembly technology.
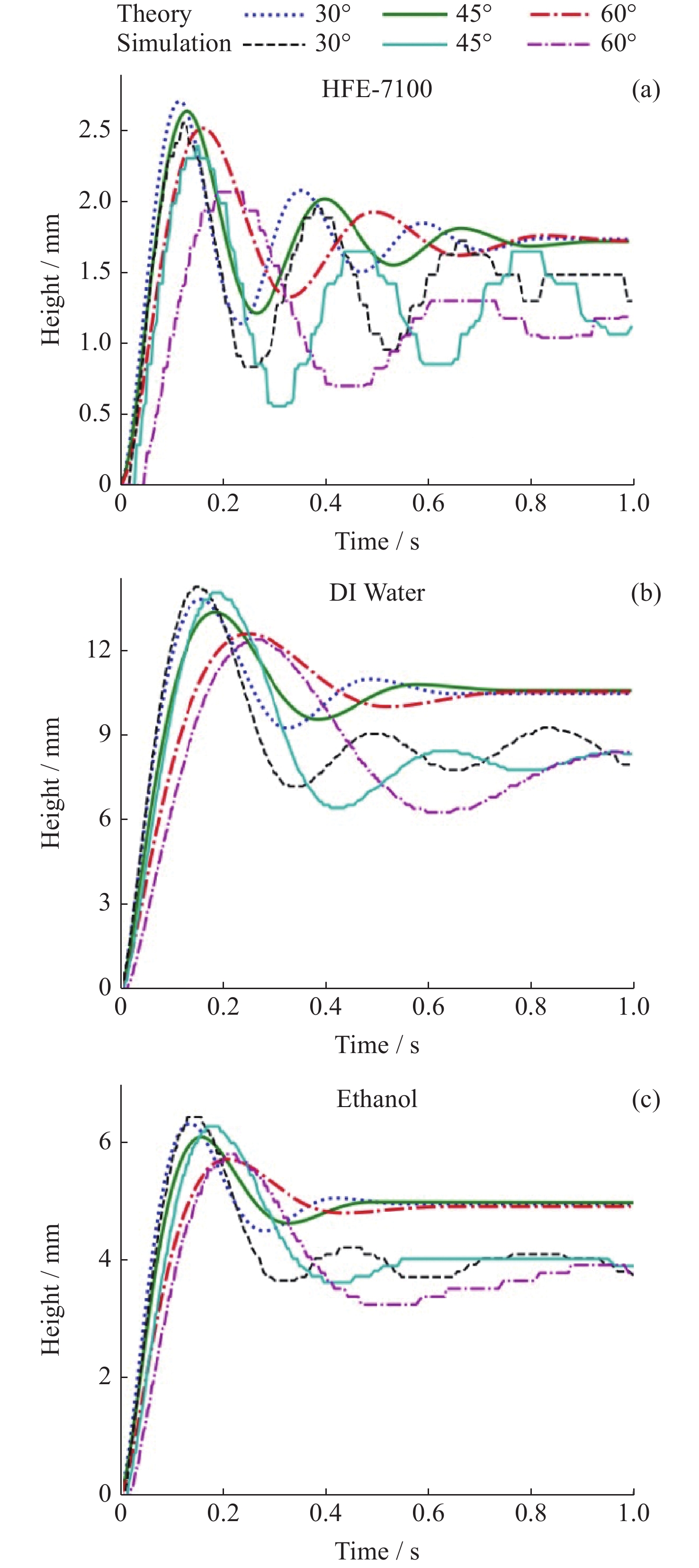
Effects of Gravity Level and Tilt Angle on Oscillation of Capillary Rise
HUO Xiaozhi, WANG Qing, GU Junping, WANG Zhantao, YU Qiang, WANG Qinggong
2023, 43(5): 890-898. doi: 10.11728/cjss2023.05.2023-05-yg09
Abstract:
The dynamic evolution of interface in capillary plays an important role in spacecraft engineering and space fluid management. The process of interfacial oscillation in capillary has been well observed on the ground, which is related to factors such as capillary size, fluid properties and the wall’s wettability. However, in practical applications in space, the capillary rise and oscillation of the interface will be affected by the tilt angle of the capillary tube and gravity level. For this reason, the process of the interface oscillation in a capillary tube is investigated in this work considering the effects of gravity level and the tilt angle of the tube. A mathematical model is built and numerical simulation is performed to obtain adequate details of the interface oscillation. It is shown that the oscillation feature of the capillary interface is determined by the ratio of Ohnesorge number (Oh) to Bond number (Bo). The Oh/Bo value decreases with gravitational acceleration level, which enhances the oscillation strength. When the capillary tube is tilted, the interface’s oscillation is affected by the component of gravity force along the capillary direction. As the tilt angle increases, the capillary oscillation phenomenon is weakened.
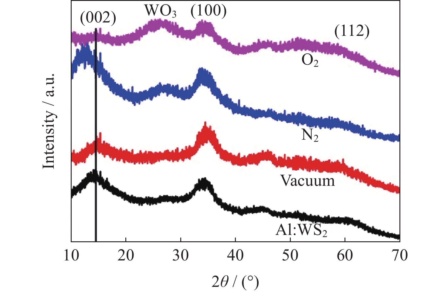
Response Mechanism of Tribological Properties of Al:WS2 Film under Different Ambient Thermal Shock
LIU Jian, YAN Zhen, HAO Junying, LIU Weimin
2023, 43(5): 899-906. doi: 10.11728/cjss2023.05.2022-0037
Abstract:
Al:WS2 films were prepared by magnetron sputtering technology. In order to investigate the response mechanism of the tribological properties of Al:WS2 film under different ambient thermal shock, the thermal shock tests of –100~+250℃ in vacuum, nitrogen and oxygen were carried out using the temperature altering vacuum tribometer developed, and the structure, composition and tribological properties of Al:WS2 films after thermal shock were mainly studied. It was found that the columnar crystal of Al:WS2 film grows, S content decreases, part of WS2 is oxidized to WO3, and the hardness of film increases after thermal shock. After thermal shock under nitrogen atmosphere, the intensity of (002) diffraction peak of Al:WS2 film is obviously enhanced, and the friction coefficient decreased. After thermal shock with vacuum, WO3 appears on the surface of Al:WS2 film plays the role of abrasive wear, which reduces the life of film. After oxygen thermal shock, a large number of WS2 is oxidized to WO3, and the wear life of the film is significantly shortened due to the serious abrasive wear.
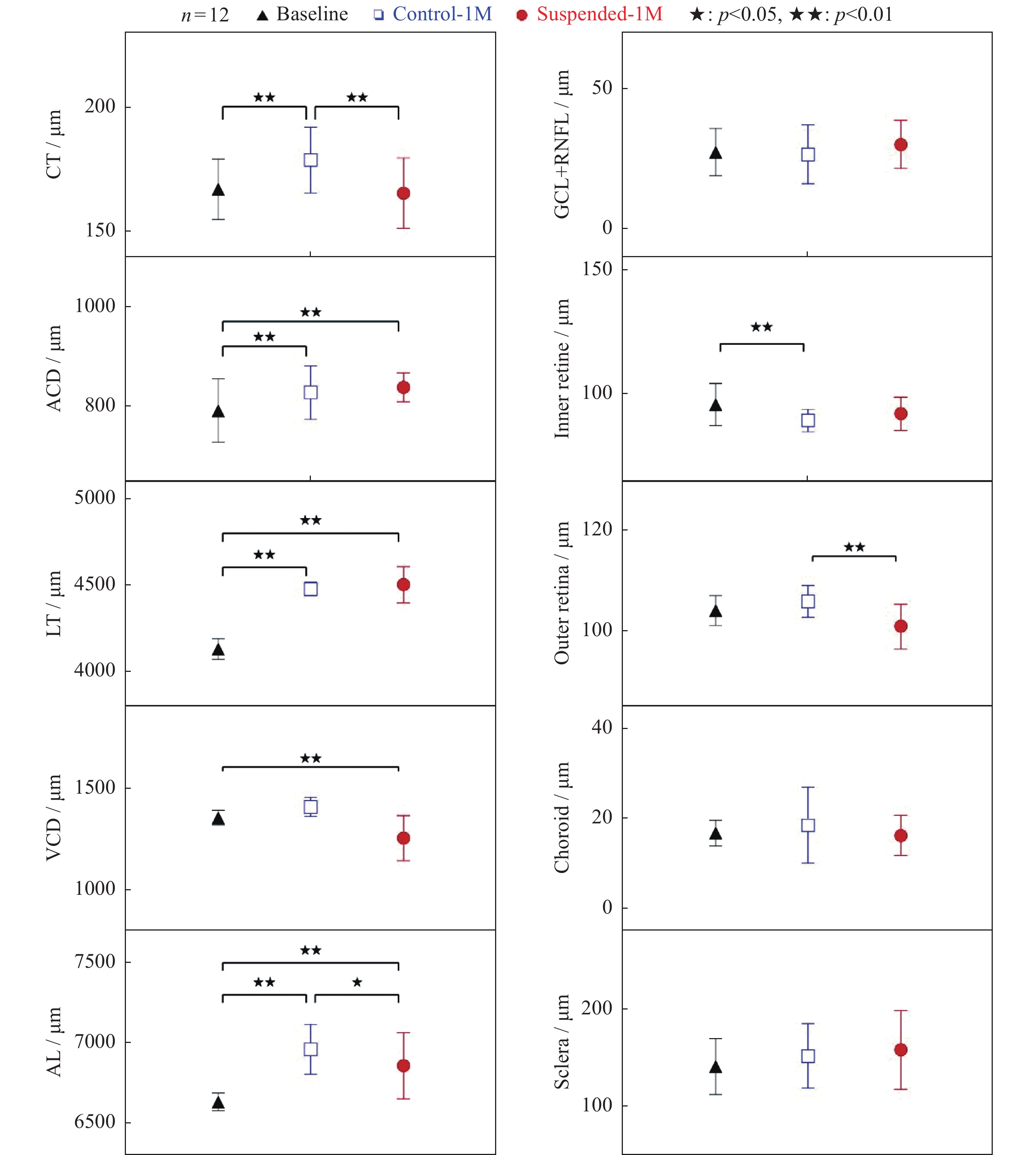
Study on Spaceflight-associated Neuro-ocular Syndrome with the Rat Tail Suspension by ULOCT and UHROCT
CHEN Sisi, ZHANG Xi, ZHENG Gu, WANG Qingying, DING Xuewen, CHEN Yulei, SHU Yaogen
2023, 43(5): 907-915. doi: 10.11728/cjss2023.05.2023-05-yg11
Abstract:
To investigate the correlation between the relevant characteristic parameters of Spaceflight-Associated Neuro-ocular Syndrome (SANS) and microgravity, Sprague-Dawley (SD) rats with a tail-suspended animal model were utilized. Ultra-Long Scan Depth Optical Coherence Tomography (ULOCT) system was set up to measure the characteristic parameters of the rat eyes (corneal thickness, anterior chamber depth, lens thickness, vitreous chamber depth, and axial length), and an Ultra-High-Resolution Optical Coherence Tomography (UHROCT) system to measure the sublayer structural parameters of the rat fundus (retinal nerve layer, inner retinal layer, outer retinal layer, choroid, and sclera thickness). The results came from the fundus photographs showed that there were no obvious symptoms of optic disc edema. However, the results came from ULOCT and UHROCT showed the significant changes in the rat eye structure: corneal thinning (p<0.01), axial shortening (p<0.05), and outer retinal thinning (p<0.01). These changes of characteristic parameters, especially the significant axial shortening, exhibited subclinical symptoms of SANS. This study provides a macroscopic animal model and a novel in vivo ocular measurement method for investigating the molecular mechanisms of SANS at the microscopic level in future researches.
Space Exploration Technology
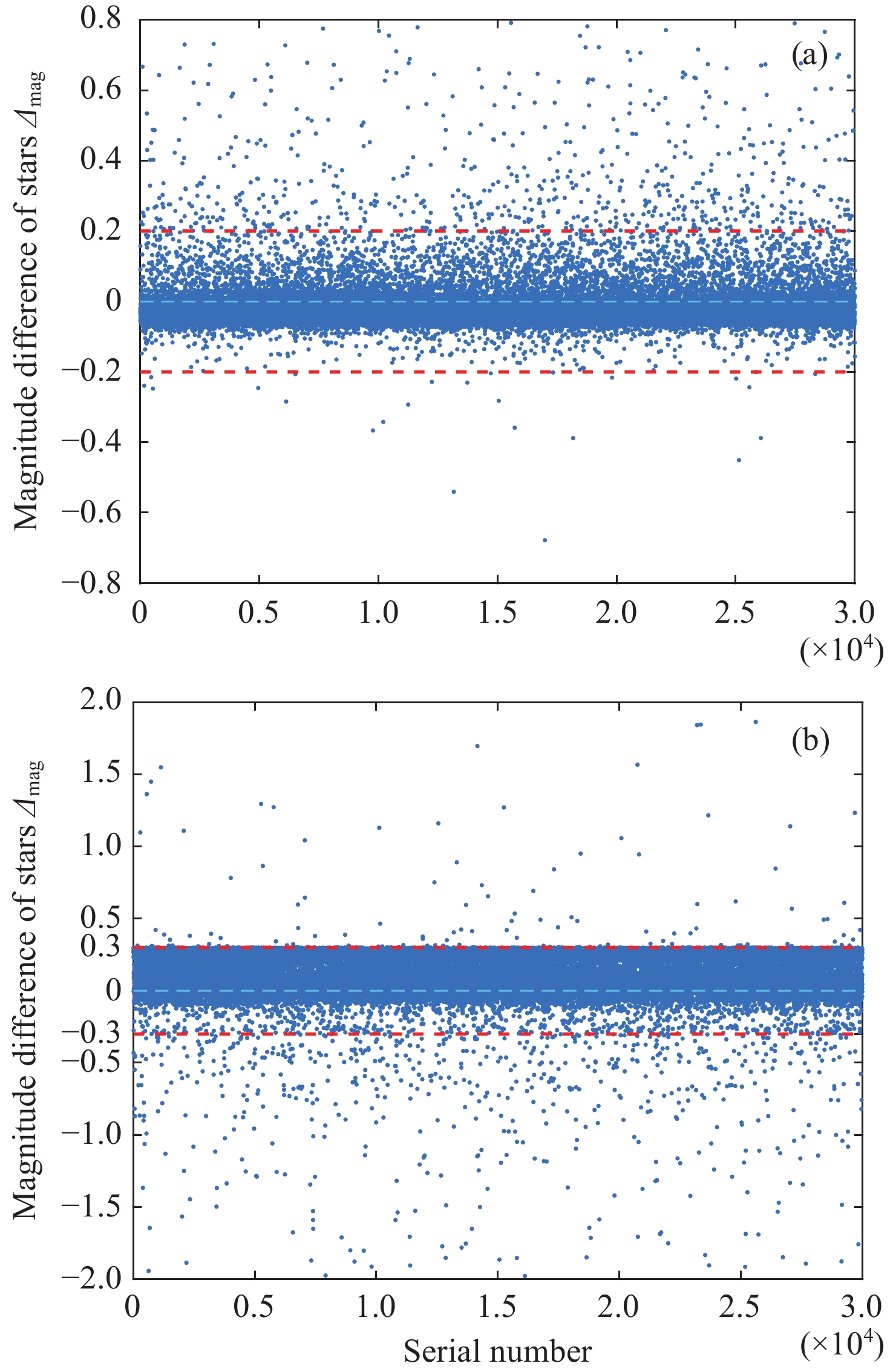
Calculation Method for Response Band Magnitude of Aerospace Sensors
GOU Wanxiang, JIA Jingyu, CHEN Shaojie, LI Chonghui, ZHENG Yong
2023, 43(5): 916-926. doi: 10.11728/cjss2023.05.2023-0046
Abstract:
Accurate stellar magnitude information is the foundation for conducting navigation star catalog establishment, spacecraft attitude determination, infrared camera calibration, and other work. The existing public star catalogs do not cover all the photometry bands and the bandwidth is generally narrow, making it difficult to find magnitude information that matches the response bands of the mission sensors. A method for calculating the magnitude of sensor response bands based on stellar radiation spectra is proposed. This method utilizes publicly available catalog data information to establish a model for the magnitude difference between the photometry band of the catalog and the sensor response band, and estimates the magnitude difference between the catalog magnitude and the sensor response band. Using the approximate surface temperature of the star calculated by the color index as prior information, the Planck equation is solved in the sensor response band range to calculate the magnitude of the star in the sensor response band. The verification of star catalog data calculation shows that the method has good robustness and adaptability, and the star magnitude derivation accuracy of sensor response band is 0.066 magnitude (1δ), 93.3% of the star estimation error is better than 0.2 magnitude, which can meet the needs of navigation star catalog establishment, spacecraft attitude determination, infrared camera calibration, and other applications.
Satellite Anomaly Detection Method Based on Parameter Adaptive Optimization Clustering
ZHAO Yuwei, SU Ju
2023, 43(5): 927-937. doi: 10.11728/cjss2023.05.2022-0054
Abstract:
Real-time monitoring and anomaly detection of satellites in orbit are conducive to ensuring the safe and stable operation of satellites. In order to solve the problems of poor fineness, low efficiency and limited grid points when selecting the optimal clustering hyper-parameters through grid search in the process of detecting satellite anomalies using cluster analysis, the selection of clustering hyper-parameters is transformed into a single-objective optimization problem. And based on the heuristic search ability of intelligent optimization algorithm, a hyper-parameter adaptive optimization clustering algorithm UMOEAsII_BIRCH is proposed. To verify the effectiveness of adaptive search, tests are conducted on a satellite telemetry data set and a public data set. Using grid search as the benchmark, the clustering algorithms based on partition, density and hierarchy are selected respectively to compare the F1-score of anomaly detection and the algorithm execution time in adaptive search and grid search. The experimental results show that the proposed adaptive search overcomes the contradiction between fineness and efficiency in grid search, and is not limited by grid points. Besides, adaptive search outperforms grid search in the F1-score of anomaly detection, and has a significant advantage in execution efficiency.
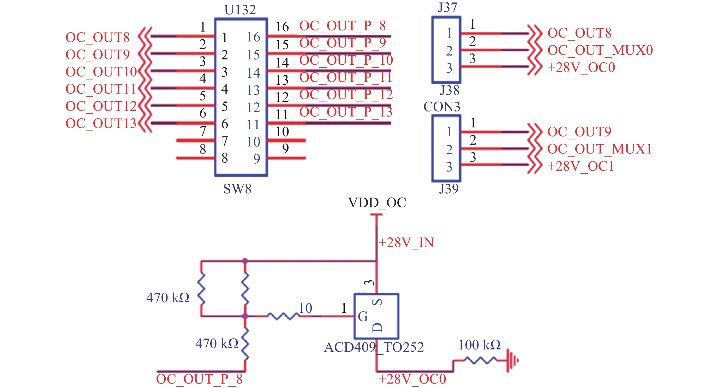
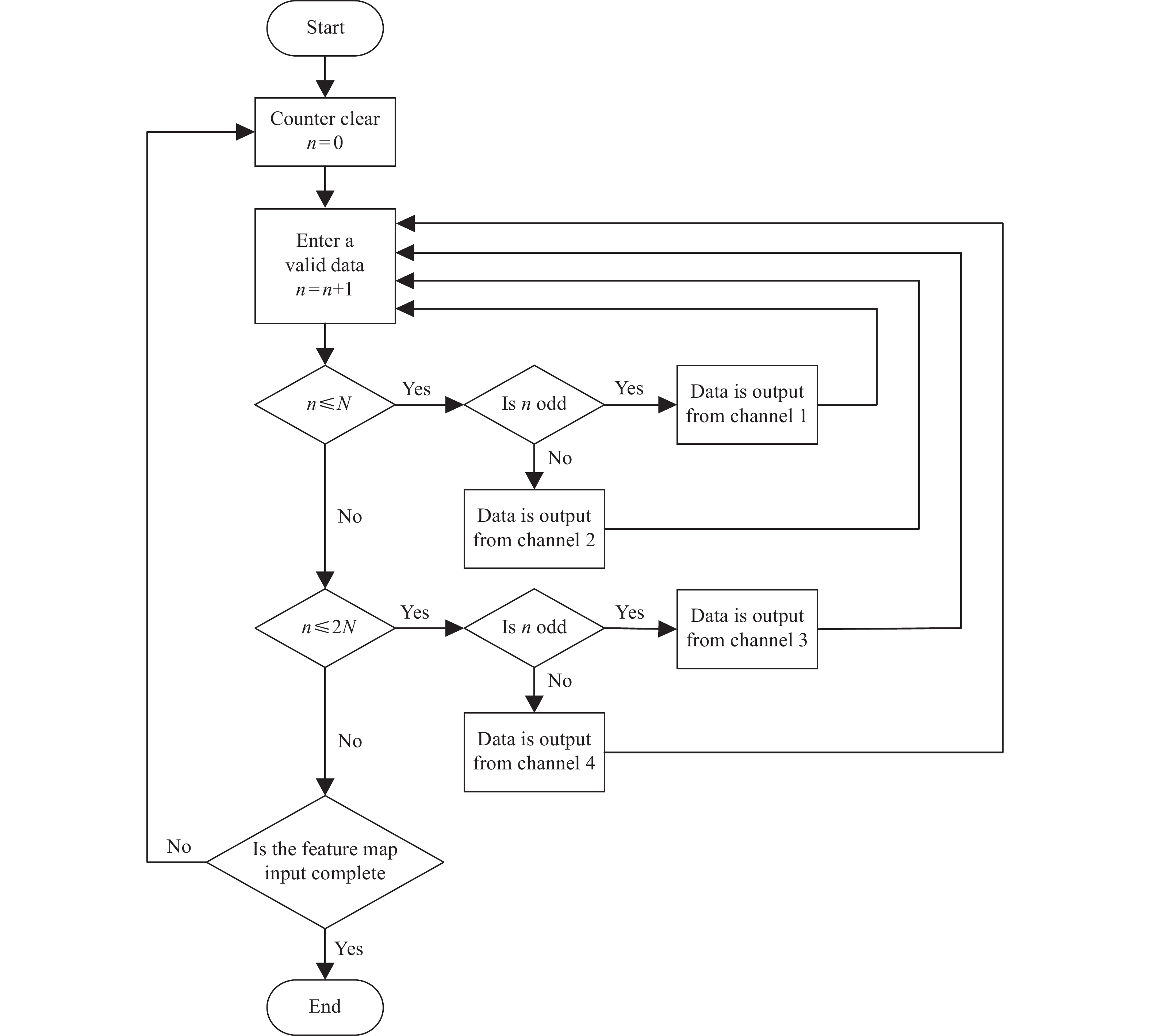
System Design of a Common Circuit Board of Ground Test Instrument for Payload Data Handling System
LI Xufeng, ZHOU Li, ZHU Yan, ZHAO Wenjie, HAO Cheng
2023, 43(5): 938-949. doi: 10.11728/cjss2023.05.2023-0009
Abstract:
Ground Test Instrument (hereinafter referred to as GTI) tests the function and performance of a payload data handling system, and is an important support equipment in the design of a satellite’s payload data handling system (hereinafter referred to as PHDS). Due to the great differences in the payloads’ hardware interfaces and software protocols among different satellites, versatility has always been a problem for the design of a ground test instrument for PHDS. A common GTI circuit board design based on configuration files is proposed for on-board products, especially PHDS. To solve the problem of the difference in physical layer interfaces, communication mechanisms among different PHDS’s electrical interfaces of different tasks, methods of software configuration and hardware reconfiguration are adopted in the hardware design of common test board. In view of the difference in the formats of scientific data and data bus protocol in different tasks, the GTI’s software protocol and data format can be configurable by using the packet generation method based on sequence parsing and timeout reception method. Finally, the feasibility and versatility of the design of the common test board proposed in this paper are verified through the test.
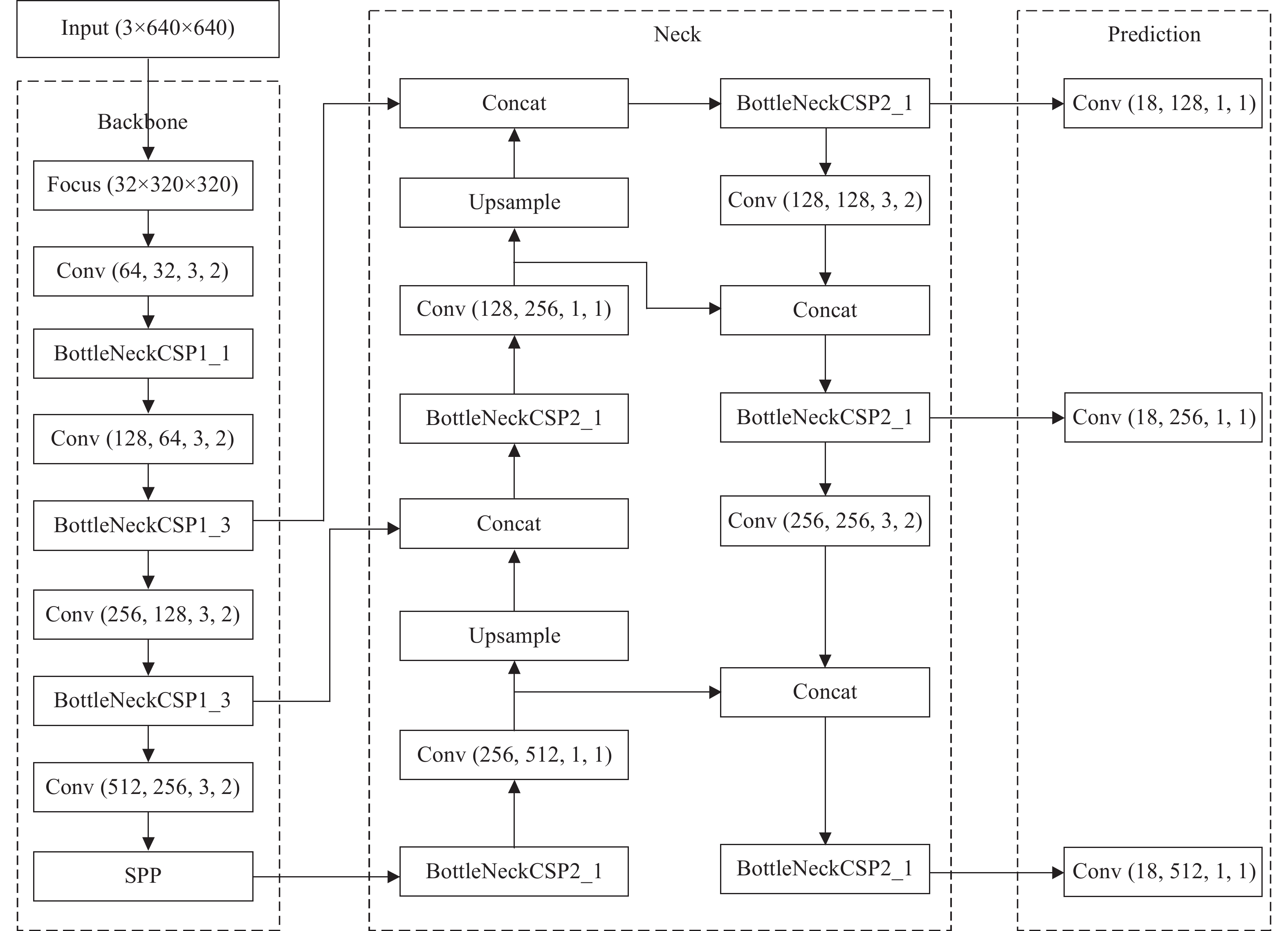
Hardware Acceleration of YOLOv5s Network Model Based on Aerospace-grade FPGA
JIANG Kangning, ZHOU Hai, BIAN Chunjiang, WANG Ling
2023, 43(5): 950-962. doi: 10.11728/cjss2023.05.2022-0044
Abstract:
With the rapid development of my country’s remote sensing engineering technology, the resolution of remote sensing images that can be obtained is getting higher and higher, and the image background information is also more complex, which brings great challenges to the accuracy and robustness of traditional target detection methods. With the development of deep learning, the convolutional neural network algorithm has better performance in terms of detection accuracy and robustness than traditional methods. In order to improve the accuracy and robustness of remote sensing image target detection with high resolution and complex background, the remote sensing image target detection algorithm based on convolutional neural network is applied in this field. However, such algorithms usually have complex models and a large amount of calculation, making it difficult to run efficiently on space and resource-constrained on-board platforms. Aiming at this problem, a convolutional neural network forward inference hardware acceleration architecture based on aerospace-grade FPGA (Field Programmable Gate Array) is proposed, and the YOLOv5s network model is selected as the target algorithm for architecture design. Since the main body of the YOLOv5s network is composed of a large number of convolutional layers, the center of gravity of the accelerator architecture design lies in the convolutional layer. In the design of the architecture, the parallel expansion of input channels and output channels and the optimization strategy of data pipeline control are adopted to effectively improve the real-time processing performance of the inference stage is improved. The experimental results show that when using this processing architecture to accelerate the inference stage of YOLOv5s, the operating frequency of the convolution module can reach 200 MHz, and its computing performance can reach 394.4GOPS (Giga Operations Per Second). The power consumption is 14.662 W, and the average calculation efficiency of the DSP (Digital Signal Processing) calculation matrix is as high as 96.29%. It shows that the use of FPGA for hardware acceleration of convolutional neural networks in resource and power constrained on-board platforms has significant advantages.
Simulation of Large-scale Magnetic Shielding Room for High-precision Vector Magnetometer Ground Test and Calibration System
LI Zhihong, WANG Jingdong, LÜ Shang, WAN Renxin
2023, 43(5): 963-972. doi: 10.11728/cjss2023.05.2022-0067
Abstract:
In this paper, the simulation analysis of a large-scale magnetic shielding room is carried out by using the finite element analysis method, and the modeling and performance simulation calculation of a large-scale magnetic shielding room for ground calibration of a high-precision vector magnetometer are completed, and the simulation calculation and measured results of the magnetic shielding room are compared and analyzed from the aspects of shielding effectiveness, opening influence, internal magnetic field uniformity and other aspects. The results show that the measured value of the remnant magnetism in the central area of the magnetic shielding space is in good agreement with the simulated results, and the remnant magnetism distribution trend is basically the same, which proves the feasibility of the finite element analysis method in the quantitative analysis of the shielding performance of the magnetic shielding room. The finite element analysis method can realize the quantitative calculation of the remnant magnetic influence of the shielding room opening, which provides a basis for the design of shielding room doors and ventilation holes, At the same time, the size of the uniform area of the internal magnetic field and the residual gradient can be verified, which effectively avoids the risk of finding the performance does not meet the requirements after the implementation of the project. Aiming at the design and research of large-space magnetic shielding room, the method based on finite element and ANSYS Maxwell software simulation adopted in this paper is conducive to guarantee the performance and construction efficiency of the large-space magnetic shielding room.